Dissipative Phase Transition in Systems with Two-Photon Drive and Nonlinear Dissipation near the Critical Point
Abstract
1. Introduction
2. Nonlinear Cavity Including Two-Photon Processes
3. Mean-Field Theory
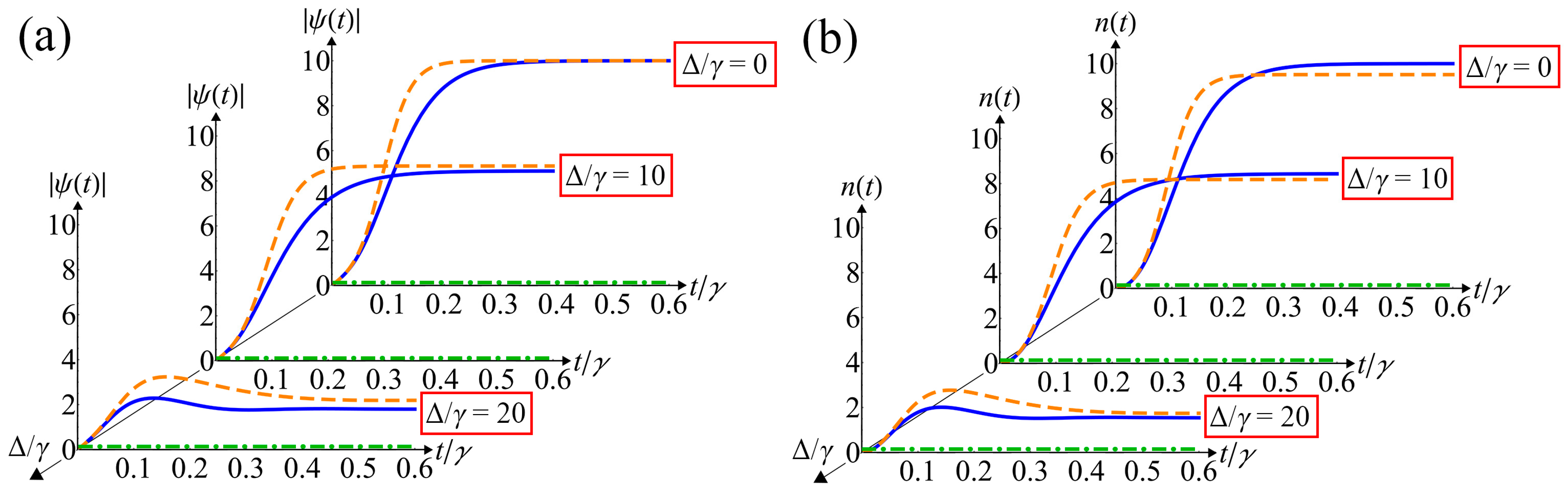
4. Properties of the Steady State
5. Conclusions and Outlook
Author Contributions
Funding
Institutional Review Board Statement
Informed Consent Statement
Data Availability Statement
Acknowledgments
Conflicts of Interest
References
- Noh, C.; Angelakis, D.G. Quantum Simulations and Many-Body Physics with Light. Rep. Prog. Phys. 2017, 80, 016401. [Google Scholar] [CrossRef] [PubMed]
- Minganti, F.; Biella, A.; Bartolo, N.; Ciuti, C. Spectral Theory of Liouvillians for Dissipative Phase Transitions. Phys. Rev. A 2018, 98, 042118. [Google Scholar] [CrossRef]
- Kessler, E.M.; Giedke, G.; Imamoglu, A.; Yelin, S.F.; Lukin, M.D.; Cirac, J.I. Dissipative Phase Transition in a Central Spin System. Phys. Rev. A 2012, 86, 012116. [Google Scholar] [CrossRef]
- Murch, K.W.; Vool, U.; Zhou, D.; Weber, S.J.; Girvin, S.M.; Siddiqi, I. Cavity-Assisted Quantum Bath Engineering. Phys. Rev. Lett. 2012, 109, 183602. [Google Scholar] [CrossRef]
- Kounalakis, M.; Dickel, C.; Bruno, A.; Langford, N.K.; Steele, G.A. Tuneable Hopping and Nonlinear Cross-Kerr Interactions in a High-Coherence Superconducting Circuit. npj Quantum Inf. 2018, 4, 38. [Google Scholar] [CrossRef]
- Underwood, D.L.; Shanks, W.E.; Koch, J.; Houck, A.A. Low-Disorder Microwave Cavity Lattices for Quantum Simulation with Photons. Phys. Rev. A 2012, 86, 023837. [Google Scholar] [CrossRef]
- Fitzpatrick, M.; Sundaresan, N.M.; Li, A.C.Y.; Koch, J.; Houck, A.A. Observation of a Dissipative Phase Transition in a One-Dimensional Circuit QED Lattice. Phys. Rev. X 2017, 7, 011016. [Google Scholar] [CrossRef]
- Fink, J.M.; Dombi, A.; Vukics, A.; Wallraff, A.; Domokos, P. Observation of the Photon-Blockade Breakdown Phase Transition. Phys. Rev. X 2017, 7, 011012. [Google Scholar] [CrossRef]
- Gil-Santos, E.; Labousse, M.; Baker, C.; Goetschy, A.; Hease, W.; Gomez, C.; Lemaître, A.; Leo, G.; Ciuti, C.; Favero, I. Light-Mediated Cascaded Locking of Multiple Nano-Optomechanical Oscillators. Phys. Rev. Lett. 2017, 118, 063605. [Google Scholar] [CrossRef]
- Rodriguez, S.R.K.; Casteels, W.; Storme, F.; Carlon Zambon, N.; Sagnes, I.; Le Gratiet, L.; Galopin, E.; Lemaître, A.; Amo, A.; Ciuti, C.; et al. Probing a Dissipative Phase Transition via Dynamical Optical Hysteresis. Phys. Rev. Lett. 2017, 118, 247402. [Google Scholar] [CrossRef]
- Baumann, K.; Mottl, R.; Brennecke, F.; Esslinger, T. Exploring Symmetry Breaking at the Dicke Quantum Phase Transition. Phys. Rev. Lett. 2011, 107, 140402. [Google Scholar] [CrossRef] [PubMed]
- Klinder, J.; Keßler, H.; Wolke, M.; Mathey, L.; Hemmerich, A. Dynamical Phase Transition in the Open Dicke Model. Proc. Natl. Acad. Sci. USA 2015, 112, 3290. [Google Scholar] [CrossRef] [PubMed]
- Zhiqiang, Z.; Lee, C.H.; Kumar, R.; Arnold, K.J.; Masson, S.J.; Parkins, A.S.; Barrett, M.D. Nonequilibrium Phase Transition in a Spin-1 Dicke Model. Optica 2017, 4, 424. [Google Scholar] [CrossRef]
- Baden, M.P.; Arnold, K.J.; Grimsmo, A.L.; Parkins, S.; Barrett, M.D. Realization of the Dicke Model Using Cavity-Assisted Raman Transitions. Phys. Rev. Lett. 2014, 113, 020408. [Google Scholar] [CrossRef]
- Rota, R.; Minganti, F.; Ciuti, C.; Savona, V. Quantum Critical Regime in a Quadratically Driven Nonlinear Photonic Lattice. Phys. Rev. Lett. 2019, 122, 110405. [Google Scholar] [CrossRef]
- Heugel, T.L.; Biondi, M.; Zilberberg, O.; Chitra, R. Quantum Transducer Using a Parametric Driven-Dissipative Phase Transition. Phys. Rev. Lett. 2019, 123, 173601. [Google Scholar] [CrossRef]
- Savona, V. Spontaneous Symmetry Breaking in a Quadratically Driven Nonlinear Photonic Lattice. Phys. Rev. A 2017, 96, 033826. [Google Scholar] [CrossRef]
- Lebreuilly, J.; Aron, C.; Mora, C. Stabilizing Arrays of Photonic Cat States via Spontaneous Symmetry Breaking. Phys. Rev. Lett. 2019, 122, 120402. [Google Scholar] [CrossRef]
- Teh, R.Y.; Sun, F.X.; Polkinghorne, R.E.S.; He, Q.Y.; Gong, Q.; Drummond, P.D.; Reid, M.D. Dynamics of Transient Cat States in Degenerate Parametric Oscillation with and without Nonlinear Kerr Interactions. Phys. Rev. A 2020, 101, 043807. [Google Scholar] [CrossRef]
- Roy, A.; Leghtas, Z.; Stone, A.D.; Devoret, M.; Mirrahimi, M. Continuous Generation and Stabilization of Mesoscopic Field Superposition States in a Quantum Circuit. Phys. Rev. A 2015, 91, 13810. [Google Scholar] [CrossRef]
- Wang, C.; Gao, Y.Y.; Reinhold, P.; Heeres, R.W.; Ofek, N.; Chou, K.; Axline, C.; Reagor, M.; Blumoff, J.; Sliwa, K.M.; et al. A Schrödinger Cat Living in Two Boxes. Science 2016, 352, 1087–1091. [Google Scholar] [CrossRef] [PubMed]
- Minganti, F.; Bartolo, N.; Lolli, J.; Casteels, W.; Ciuti, C. Exact Results for Schrödinger Cats in Driven-Dissipative Systems and Their Feedback Control. Sci. Rep. 2016, 6, 26987. [Google Scholar] [CrossRef] [PubMed]
- Vlastakis, B.; Kirchmair, G.; Leghtas, Z.; Nigg, S.E.; Frunzio, L.; Girvin, S.M.; Mirrahimi, M.; Devoret, M.H.; Schoelkopf, R.J. Deterministically Encoding Quantum Information Using 100-Photon Schrödinger Cat States. Science 2013, 342, 607. [Google Scholar] [CrossRef] [PubMed]
- Mirrahimi, M.; Leghtas, Z.; Albert, V.V.; Touzard, S.; Schoelkopf, R.J.; Jiang, L.; Devoret, M.H. Dynamically Protected Cat-Qubits: A New Paradigm for Universal Quantum Computation. New J. Phys. 2014, 16, 45014. [Google Scholar] [CrossRef]
- Gilchrist, A.; Nemoto, K.; Munro, W.J.; Ralph, T.C.; Glancy, S.; Braunstein, S.L.; Milburn, G.J. Schrödinger Cats and Their Power for Quantum Information Processing. J. Opt. B 2004, 6, S828. [Google Scholar] [CrossRef]
- Puri, S.; Boutin, S.; Blais, A. Engineering the Quantum States of Light in a Kerr-Nonlinear Resonator by Two-Photon Driving. npj Quantum Inf. 2017, 3, 18. [Google Scholar] [CrossRef]
- Sun, L.; Petrenko, A.; Leghtas, Z.; Vlastakis, B.; Kirchmair, G.; Sliwa, K.M.; Narla, A.; Hatridge, M.; Shankar, S.; Blumoff, J.; et al. Tracking Photon Jumps with Repeated Quantum Non-Demolition Parity Measurements. Nature 2014, 511, 444–448. [Google Scholar] [CrossRef]
- Puri, S.; St-Jean, L.; Gross, J.A.; Grimm, A.; Frattini, N.E.; Iyer, P.S.; Krishna, A.; Touzard, S.; Jiang, L.; Blais, A.; et al. Bias-Preserving Gates with Stabilized Cat Qubits. Sci. Adv. 2020, 6, eaay5901. [Google Scholar] [CrossRef]
- Gertler, J.M.; Baker, B.; Li, J.; Shirol, S.; Koch, J.; Wang, C. Protecting a Bosonic Qubit with Autonomous Quantum Error Correction. Nature 2021, 590, 243–248. [Google Scholar] [CrossRef]
- Ofek, N.; Petrenko, A.; Heeres, R.; Reinhold, P.; Leghtas, Z.; Vlastakis, B.; Liu, Y.; Frunzio, L.; Girvin, S.M.; Jiang, L.; et al. Extending the Lifetime of a Quantum Bit with Error Correction in Superconducting Circuits. Nature 2016, 536, 441–445. [Google Scholar] [CrossRef]
- Lieu, S.; Belyansky, R.; Young, J.T.; Lundgren, R.; Albert, V.V.; Gorshkov, A.V. Symmetry Breaking and Error Correction in Open Quantum Systems. Phys. Rev. Lett. 2020, 125, 240405. [Google Scholar] [CrossRef] [PubMed]
- Casteels, W.; Storme, F.; Le Boité, A.; Ciuti, C. Power Laws in the Dynamic Hysteresis of Quantum Nonlinear Photonic Resonators. Phys. Rev. A 2016, 93, 033824. [Google Scholar] [CrossRef]
- Bartolo, N.; Minganti, F.; Casteels, W.; Ciuti, C. Exact Steady State of a Kerr Resonator with One- and Two-Photon Driving and Dissipation: Controllable Wigner-Function Multimodality and Dissipative Phase Transitions. Phys. Rev. A 2016, 94, 033841. [Google Scholar] [CrossRef]
- Nagy, A.; Savona, V. Variational Quantum Monte Carlo Method with a Neural-Network Ansatz for Open Quantum Systems. Phys. Rev. Lett. 2019, 122, 250501. [Google Scholar] [CrossRef]
- Bartolo, N.; Minganti, F.; Lolli, J.; Ciuti, C. Homodyne versus Photon-Counting Quantum Trajectories for Dissipative Kerr Resonators with Two-Photon Driving. Eur. Phys. J. Spec. Top. 2017, 226, 2705. [Google Scholar] [CrossRef]
- Roberts, D.; Clerk, A.A. Driven-Dissipative Quantum Kerr Resonators: New Exact Solutions, Photon Blockade and Quantum Bistability. Phys. Rev. X 2020. [Google Scholar] [CrossRef]
- Meaney, C.H.; Nha, H.; Duty, T.; Milburn, G.J. Quantum and Classical Nonlinear Dynamics in a Microwave Cavity. EPJ Quantum Technol. 2014, 1, 7. [Google Scholar] [CrossRef][Green Version]
- Elliott, M.; Ginossar, E. Applications of the Fokker-Planck Equation in Circuit Quantum Electrodynamics. Phys. Rev. A 2016, 94, 043840. [Google Scholar] [CrossRef]
- Keldysh, L. Diagram Technique for Nonequilibrium Processes. Sov. Phys. JETP 1965, 20, 1018. [Google Scholar]
- Arseev, P.I. On the Nonequilibrium Diagram Technique: Derivation, Some Features and Applications. Phys. Usp. 2015, 58, 1159. [Google Scholar] [CrossRef]
- Sieberer, L.M.; Buchhold, M.; Diehl, S. Keldysh Field Theory for Driven Open Quantum Systems. Rep. Prog. Phys. 2016, 79, 096001. [Google Scholar] [CrossRef] [PubMed]
- Foss-Feig, M.; Niroula, P.; Young, J.T.; Hafezi, M.; Gorshkov, A.V.; Wilson, R.M.; Maghrebi, M.F. Emergent Equilibrium in Many-Body Optical Bistability. Phys. Rev. A 2017, 95, 043826. [Google Scholar] [CrossRef] [PubMed]
- Cottet, A.; Leghtas, Z.; Kontos, T. Theory of Interactions between Cavity Photons Induced by a Mesoscopic Circuit. Phys. Rev. B 2020, 102, 155105. [Google Scholar] [CrossRef]
- Hwang, M.J.; Rabl, P.; Plenio, M.B. Dissipative Phase Transition in the Open Quantum Rabi Model. Phys. Rev. A 2018, 97, 013825. [Google Scholar] [CrossRef]
- Zhang, X.H.H.; Baranger, H.U. Driven-Dissipative Phase Transition in a Kerr Oscillator: From Semiclassical PT Symmetry to Quantum Fluctuations. Phys. Rev. A 2021, 103, 33711. [Google Scholar] [CrossRef]
- Leghtas, Z.; Touzard, S.; Pop, I.M.; Kou, A.; Vlastakis, B.; Petrenko, A.; Sliwa, K.M.; Narla, A.; Shankar, S.; Hatridge, M.J.; et al. Confining the State of Light to a Quantum Manifold by Engineered Two-Photon Loss. Science 2015, 347, 853–857. [Google Scholar] [CrossRef]
- Nigg, S.E.; Paik, H.; Vlastakis, B.; Kirchmair, G.; Shankar, S.; Frunzio, L.; Devoret, M.H.; Schoelkopf, R.J.; Girvin, S.M. Black-Box Superconducting Circuit Quantization. Phys. Rev. Lett. 2012, 108, 240502. [Google Scholar] [CrossRef]
- Breuer, H.-P.; Petruccione, F. The Theory of Open Quantum Systems; Oxford University: Oxford, UK, 2007. [Google Scholar]
- Fradkin, E. Field Theories of Condensed Matter Physics; Cambridge University: Cambridge, MA, USA, 2013. [Google Scholar]
- Cooper, F.; Mihaila, B.; Dawson, J.F.; Chien, C.-C.; Timmermans, E. Auxiliary-Field Approach to Dilute Bose Gases with Tunable Interactions. Phys. Rev. A 2011, 83, 53622. [Google Scholar] [CrossRef]
- Altland, A.; Simons, B.D. Condensed Matter Field Theory; Cambridge University Press: Cambridge, MA, USA, 2010. [Google Scholar]
- Mandel, L.; Wolf, E. Optical Coherence and Quantum Optics; Cambridge University Press: Cambridge, MA, USA, 1995. [Google Scholar]
- Gerry, C.C.; Hach, E.E. Generation of Even and Odd Coherent States in a Competitive Two-Photon Process. Phys. Lett. A 1993, 174, 185–189. [Google Scholar] [CrossRef]
- Gilles, L.; Garraway, B.M.; Knight, P.L. Generation of Nonclassical Light by Dissipative Two-Photon Processes. Phys. Rev. A 1994, 49, 2785–2799. [Google Scholar] [CrossRef]
- Gerry, C.C. Non-Classical Properties of Even and Odd Coherent States. J. Mod. Opt. 1993, 40, 1053–1071. [Google Scholar] [CrossRef]
- Casteels, W.; Ciuti, C. Quantum Entanglement in the Spatial-Symmetry-Breaking Phase Transition of a Driven-Dissipative Bose-Hubbard Dimer. Phys. Rev. A 2017, 95, 013812. [Google Scholar] [CrossRef]
- Carmichael, H.J. Breakdown of Photon Blockade: A Dissipative Quantum Phase Transition in Zero Dimensions. Phys. Rev. X 2015, 5, 031028. [Google Scholar] [CrossRef]
- Landau, L.D.; Lifshitz, E.M.; Pitaevskii, L.P. Statistical Physics, Part I; Pergamon: Oxford, UK, 1980. [Google Scholar]
- Berges, J. Introduction to Nonequilibrium Quantum Field Theory. AIP Conf. Proc. 2004, 739, 3. [Google Scholar] [CrossRef]
- Boettcher, I.; Pawlowski, J.M.; Diehl, S. Ultracold Atoms and the Functional Renormalization Group. Nucl. Phys. B Proc. Suppl. 2012, 228, 63. [Google Scholar] [CrossRef]
- Berges, J.; Tetradis, N.; Wetterich, C. Non-Perturbative Renormalization Flow in Quantum Field Theory and Statistical Physics. Phys. Rep. 2002, 363, 223. [Google Scholar] [CrossRef]
- Brunelli, M.; Houhou, O.; Moore, D.W.; Nunnenkamp, A.; Paternostro, M.; Ferraro, A. Unconditional Preparation of Nonclassical States via Linear-and-Quadratic Optomechanics. Phys. Rev. A 2018, 98, 063801. [Google Scholar] [CrossRef]
- Lin, Y.; Gaebler, J.P.; Reiter, F.; Tan, T.R.; Bowler, R.; Sørensen, A.S.; Leibfried, D.; Wineland, D.J. Dissipative Production of a Maximally Entangled Steady State of Two Quantum Bits. Nature 2013, 504, 415. [Google Scholar] [CrossRef]
- Verstraete, F.; Wolf, M.M.; Ignacio Cirac, J. Quantum Computation and Quantum-State Engineering Driven by Dissipation. Nat. Phys. 2009, 5, 633. [Google Scholar] [CrossRef]
- Garbe, L.; Bina, M.; Keller, A.; Paris, M.G.A.; Felicetti, S. Critical Quantum Metrology with a Finite-Component Quantum Phase Transition. Phys. Rev. Lett. 2020, 124, 120504. [Google Scholar] [CrossRef]
- Andrews, R.W.; Peterson, R.W.; Purdy, T.P.; Cicak, K.; Simmonds, R.W.; Regal, C.A.; Lehnert, K.W. Bidirectional and Efficient Conversion between Microwave and Optical Light. Nat. Phys. 2014, 10, 321–326. [Google Scholar] [CrossRef]
- Curwen, C.A.; Reno, J.L.; Williams, B.S. Broadband Continuous Single-Mode Tuning of a Short-Cavity Quantum-Cascade VECSEL. Nat. Photonics 2019, 13, 855–859. [Google Scholar] [CrossRef]




Publisher’s Note: MDPI stays neutral with regard to jurisdictional claims in published maps and institutional affiliations. |
© 2022 by the authors. Licensee MDPI, Basel, Switzerland. This article is an open access article distributed under the terms and conditions of the Creative Commons Attribution (CC BY) license (https://creativecommons.org/licenses/by/4.0/).
Share and Cite
Mylnikov, V.Y.; Potashin, S.O.; Sokolovskii, G.S.; Averkiev, N.S. Dissipative Phase Transition in Systems with Two-Photon Drive and Nonlinear Dissipation near the Critical Point. Nanomaterials 2022, 12, 2543. https://doi.org/10.3390/nano12152543
Mylnikov VY, Potashin SO, Sokolovskii GS, Averkiev NS. Dissipative Phase Transition in Systems with Two-Photon Drive and Nonlinear Dissipation near the Critical Point. Nanomaterials. 2022; 12(15):2543. https://doi.org/10.3390/nano12152543
Chicago/Turabian StyleMylnikov, Valentin Yu., Sergey O. Potashin, Grigorii S. Sokolovskii, and Nikita S. Averkiev. 2022. "Dissipative Phase Transition in Systems with Two-Photon Drive and Nonlinear Dissipation near the Critical Point" Nanomaterials 12, no. 15: 2543. https://doi.org/10.3390/nano12152543
APA StyleMylnikov, V. Y., Potashin, S. O., Sokolovskii, G. S., & Averkiev, N. S. (2022). Dissipative Phase Transition in Systems with Two-Photon Drive and Nonlinear Dissipation near the Critical Point. Nanomaterials, 12(15), 2543. https://doi.org/10.3390/nano12152543

