Boosting the Humidity Performances of Na0.5BixTiO3 by Tuning Bi Content
Abstract
:1. Introduction
2. Experimental Section
2.1. Material Preparation
2.2. Material Characterizations
2.3. Sensor Fabrication and Performance Measurements
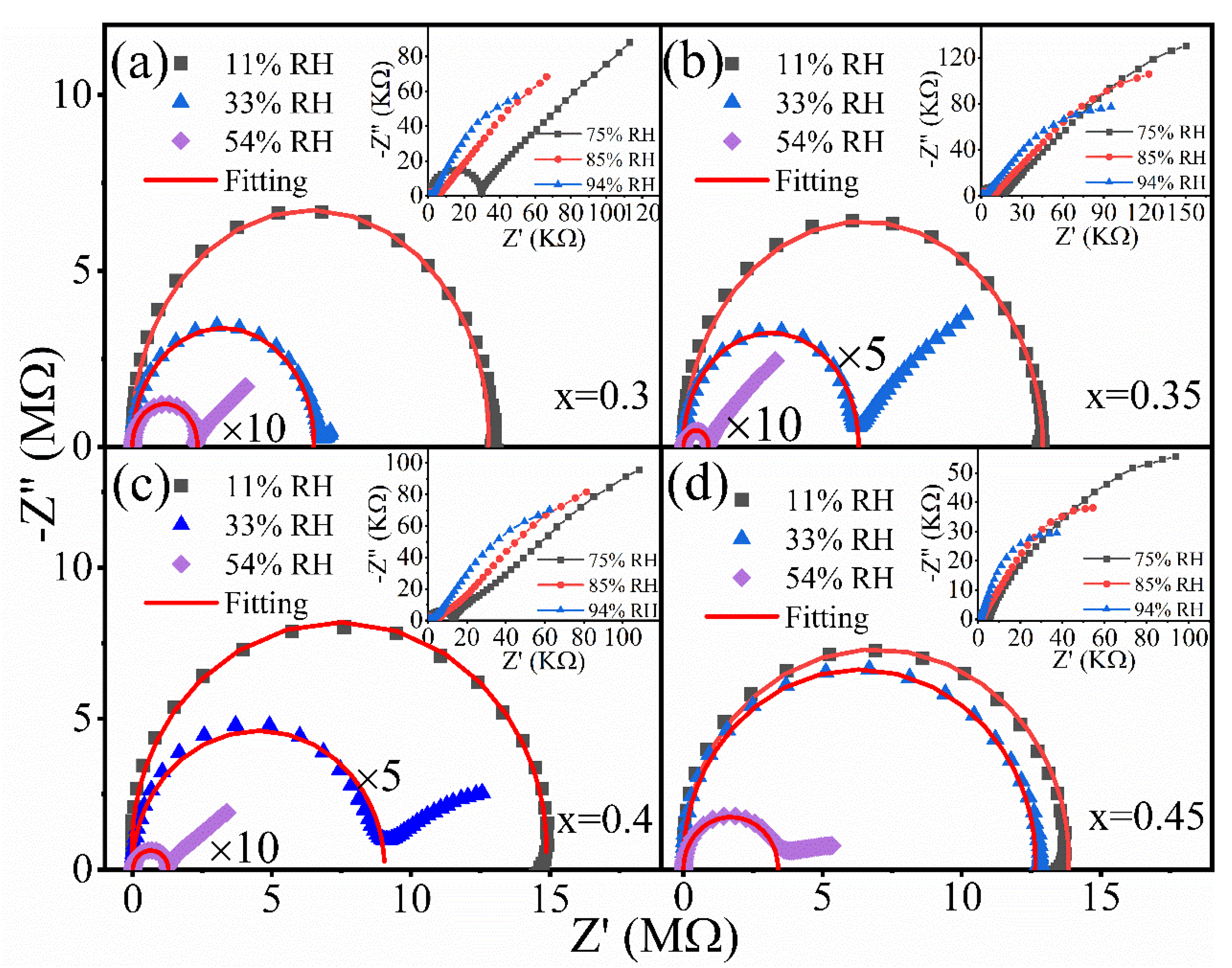
3. Results and Discussion
3.1. Material Characterizations
3.2. Humidity Sensitive Properties
3.3. Mechanism of Sensing Performance Enhancement
4. Conclusions
Supplementary Materials
Author Contributions
Funding
Institutional Review Board Statement
Informed Consent Statement
Data Availability Statement
Acknowledgments
Conflicts of Interest
References
- Wang, X.; Ding, B.; Yu, J.; Wang, M. Highly sensitive humidity sensors based on electro-spinning/netting a polyamide 6 nano-fiber/net modified by polyethyleneimine. J. Mater. Chem. 2011, 21, 16231–16238. [Google Scholar] [CrossRef]
- He, X.; Li, D.; Zhou, J.; Wang, W.; Xuan, W.; Dong, S.; Jin, H.; Luo, J. High sensitivity humidity sensors using flexible surface acoustic wave devices made on nanocrystalline ZnO/polyimide substrates. J. Mater. Chem. C 2013, 1, 6210–6215. [Google Scholar] [CrossRef]
- Choudhari, U.; Jagtap, S. Hydrothermally synthesized ZnSe nanoparticles for relative humidity sensing application. J. Electron. Mater. 2020, 49, 5903–5916. [Google Scholar] [CrossRef]
- Cao, Q.; Yu, C.; Cheng, X.; Sun, W.; He, J.; Li, N.; Li, H.; Chen, D.; Xu, Q.; Liu, J. Polysquaramides: Rapid and stable humidity sensing for breath monitoring and morse code communication. Sens. Actuators B Chem. 2020, 320, 128390. [Google Scholar] [CrossRef]
- Duan, Z.; Jiang, Y.; Zhao, Q.; Huang, Q.; Wang, S.; Zhang, Y.; Wu, Y.; Liu, B.; Zhen, Y.; Tai, H. Daily writing carbon ink: Novel application on humidity sensor with wide detection range, low detection limit and high detection resolution. Sens. Actuators B Chem. 2021, 339, 129884. [Google Scholar] [CrossRef]
- Ahmadipour, M.; Ain, M.F.; Ahmad, Z.A. Effect of thickness on humidity sensing properties of RF magnetron sputtered CaCu3Ti4O12 thin films on alumina substrate. IEEE Sens. J. 2017, 17, 3224–3230. [Google Scholar] [CrossRef]
- Ahmadipour, M.; Ain, M.F.; Ahmad, Z.A. Effect of thickness on surface morphology, optical and humidity sensing properties of RF magnetron sputtered CCTO thin films. Appl. Surf. Sci. 2016, 385, 182–190. [Google Scholar] [CrossRef]
- Kavasoğlu, N.; Kavasoğlu, A.S.; Bayhan, M. Comparative study of ZnCr2O4–K2CrO4 ceramic humidity sensor using computer controlled humidity measurement set-up. Sens. Actuators A Phys. 2006, 126, 355–361. [Google Scholar] [CrossRef]
- Zhang, Y.; Zheng, X.; Zhang, T. Characterization and humidity sensing properties of Bi0.5Na0.5TiO3–Bi0.5K0.5TiO3 powder synthesized by metal-organic decomposition. Sens. Actuators B Chem. 2011, 156, 887–892. [Google Scholar] [CrossRef]
- Blank, T.A.; Eksperiandova, L.P.; Belikov, K.N. Recent trends of ceramic humidity sensors development: A review. Sens. Actuators B Chem. 2016, 228, 416–442. [Google Scholar] [CrossRef]
- Duan, Z.; Zhao, Q.; Wang, S.; Huang, Q.; Yuan, Z.; Zhang, Y.; Jiang, Y.; Tai, H. Halloysite nanotubes: Natural, environmental-friendly and low-cost nanomaterials for high-performance humidity sensor. Sens. Actuators B Chem. 2020, 317, 128204. [Google Scholar] [CrossRef]
- Li, T.; Chen, P.; Li, F.; Wang, C. Energy storage performance of Na0.5Bi0.5TiO3-SrTiO3 lead-free relaxors modified by AgNb0.85Ta0.15O3. Chem. Eng. J. 2021, 406, 127151. [Google Scholar] [CrossRef]
- Kang, R.; Wang, Z.; Lou, X.; Liu, W.; Shi, P.; Zhu, X.; Guo, X.; Li, S.; Sun, H.; Zhang, L.; et al. Energy storage performance of Bi0.5Na0.5TiO3-based relaxor ferroelectric ceramics with superior temperature stability under low electric fields. Chem. Eng. J. 2021, 410, 128376. [Google Scholar] [CrossRef]
- Li, L.; Xuan, Q.; Chen, G.; Ma, Y.; Chen, C.; Wang, C. Hydrothermal preparation of Na0.5Bi0.5TiO3 nanospheres towards high humidity sensing response. Sens. Actuators B Chem. 2021, 347, 130584. [Google Scholar] [CrossRef]
- Si, R.; Li, T.; Sun, J.; Wang, S.; Zhu, G.; Wang, C. Humidity sensing behavior and its influence on the dielectric properties of (In + Nb) co-doped TiO2 ceramics. J. Mater. Sci. 2019, 54, 14645–14653. [Google Scholar] [CrossRef]
- Wang, R.; Wang, D.; Zhang, Y.; Zheng, X. Humidity sensing properties of Bi0.5(Na0.85K0.15)0.5Ti0.97Zr0.03O3 microspheres: Effect of A and B sites co-substitution. Sens. Actuators B Chem. 2014, 190, 305–310. [Google Scholar] [CrossRef]
- Lin, W.; Liao, C.; Chang, T.; Chen, S.; Wu, R. Humidity sensing properties of novel graphene/TiO2 composites by sol–gel process. Sens. Actuators B Chem. 2015, 209, 555–561. [Google Scholar] [CrossRef]
- Li, H.; Fan, H.; Liu, Z.; Zhang, J.; Wen, Y.; Lu, J.; Jiang, X.; Chen, G. Highly sensitive humidity sensor based on lithium stabilized Na-β″-alumina: dc and ac analysis. Sens. Actuators B Chem. 2018, 255, 1445–1454. [Google Scholar] [CrossRef]
- Agarwal, S.; Sharma, G.L. Humidity sensing properties of (Ba, Sr)TiO3 thin films grown by hydrothermai-electrochemical method. Sens. Actuators B Chem. 2002, 85, 205–211. [Google Scholar] [CrossRef]
- Wang, J.; Guo, Y.; Wang, S.; Tong, L.; Sun, J.; Zhu, G.; Wang, C. The effect of humidity on the dielectric properties of (In + Nb) co-doped SnO2 ceramics. J. Eur. Ceram. Soc. 2019, 39, 323–329. [Google Scholar] [CrossRef]
- Yuan, M.; Zhang, Y.; Zheng, X.; Jiang, B.; Li, P.; Deng, S. Humidity sensing properties of K0.5Na0.5NbO3 powder synthesized by metal organic decomposition. Sens. Actuators B Chem. 2015, 209, 252–257. [Google Scholar] [CrossRef]
- Wang, R.; Liu, X.; He, Y.; Yuan, Q.; Li, X.; Lu, G.; Zhang, T. The humidity-sensitive property of MgO-SBA-15 composites in one-pot synthesis. Sens. Actuators B Chem. 2010, 145, 386–393. [Google Scholar] [CrossRef]
- Coey, J.M.; Venkatesan, M.; Fitzgerald, C.B. Donor impurity band exchange in dilute ferromagnetic oxides. Nat. Mater. 2005, 4, 173–179. [Google Scholar] [CrossRef] [PubMed]
- Thurber, W.R.; Mante, A.J.H. Thermal Conductivity and Thermoelectric Power of Rutile (TiO2). Phys. Rev. 1965, 139, A1655–A1665. [Google Scholar] [CrossRef]





| x | R2 | RHp | fO (%) |
|---|---|---|---|
| 0.30 | 0.9484 | 54% | 74.05% |
| 0.35 | 0.9991 | 33% | 19.25% |
| 0.40 | 0.9891 | 33% | 29.34% |
| 0.45 | 0.8484 | 54% | 55.59% |
| 0.50 | 0.8147 | 54% | 62.29% |
Publisher’s Note: MDPI stays neutral with regard to jurisdictional claims in published maps and institutional affiliations. |
© 2022 by the authors. Licensee MDPI, Basel, Switzerland. This article is an open access article distributed under the terms and conditions of the Creative Commons Attribution (CC BY) license (https://creativecommons.org/licenses/by/4.0/).
Share and Cite
Xuan, X.; Li, L.; Li, T.; Wang, J.; Yu, Y.; Wang, C. Boosting the Humidity Performances of Na0.5BixTiO3 by Tuning Bi Content. Nanomaterials 2022, 12, 2498. https://doi.org/10.3390/nano12142498
Xuan X, Li L, Li T, Wang J, Yu Y, Wang C. Boosting the Humidity Performances of Na0.5BixTiO3 by Tuning Bi Content. Nanomaterials. 2022; 12(14):2498. https://doi.org/10.3390/nano12142498
Chicago/Turabian StyleXuan, Xiaoqi, Li Li, Tiantian Li, Jingsong Wang, Yi Yu, and Chunchang Wang. 2022. "Boosting the Humidity Performances of Na0.5BixTiO3 by Tuning Bi Content" Nanomaterials 12, no. 14: 2498. https://doi.org/10.3390/nano12142498
APA StyleXuan, X., Li, L., Li, T., Wang, J., Yu, Y., & Wang, C. (2022). Boosting the Humidity Performances of Na0.5BixTiO3 by Tuning Bi Content. Nanomaterials, 12(14), 2498. https://doi.org/10.3390/nano12142498

