Design of Waveguide Polarization Convertor Based on Asymmetric 1D Photonic Crystals
Abstract
1. Introduction
2. Materials and Methods
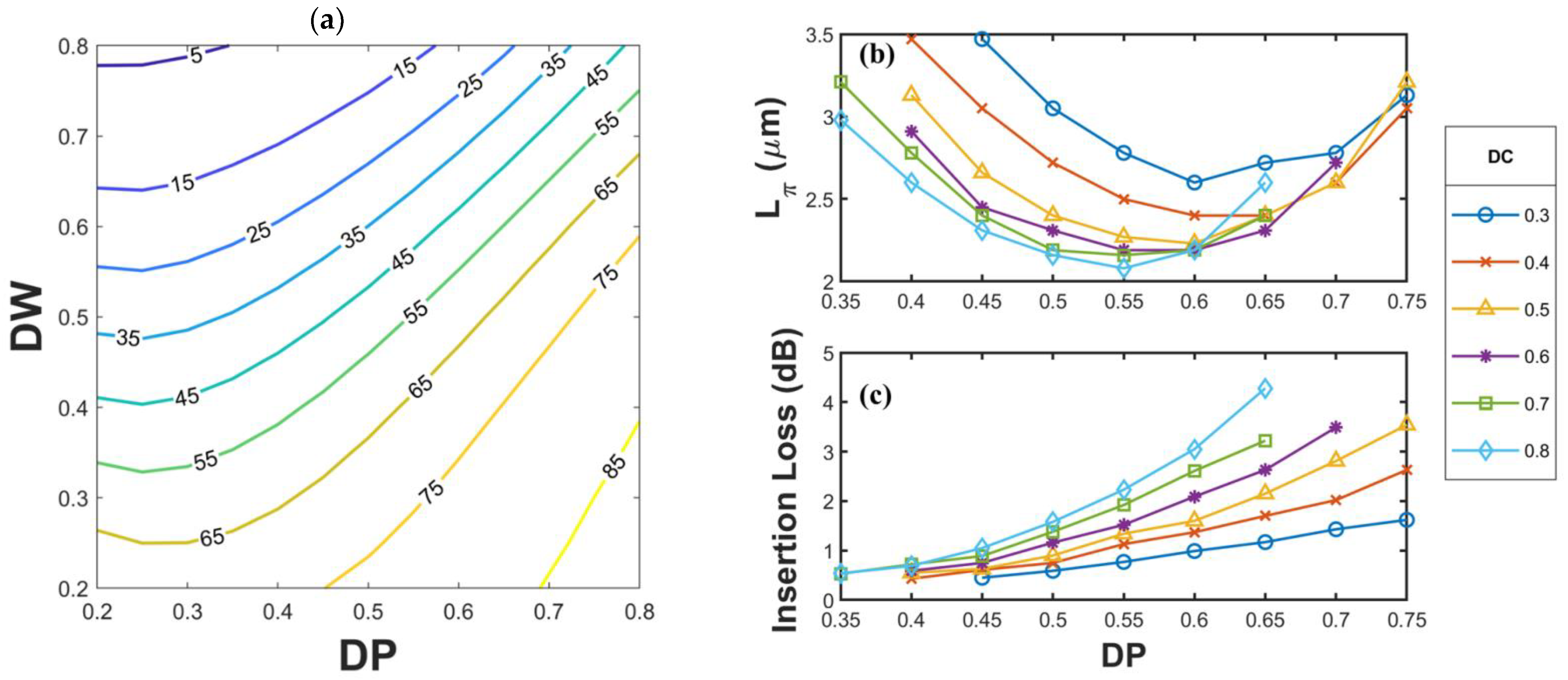
3. Results
4. Conclusions
Author Contributions
Funding
Data Availability Statement
Conflicts of Interest
References
- Headland, D.; Withayachumnankul, W.; Yamada, R.; Fujita, M.; Nagatsuma, T. Terahertz multi-beam antenna using photonic crystal waveguide and Luneburg lens. APL Photonics 2018, 3, 126105. [Google Scholar] [CrossRef]
- Martínez, A.; Míguez, H.; Griol, A.; Martí, J. Experimental and theoretical analysis of the self-focusing of light by a photonic crystal lens. Phys. Rev. B 2004, 69, 165119. [Google Scholar] [CrossRef]
- Roux, F.S.; De Leon, I. Planar photonic crystal gradient index lens, simulated with a finite difference time domain method. Phys. Rev. B 2006, 74, 113103. [Google Scholar] [CrossRef]
- Xie, J.; Wang, J.; Ge, R.; Yan, B.; Liu, E.; Tan, W.; Liu, J. Multiband super-resolution imaging of graded-index photonic crystal flat lens. J. Phys. D Appl. Phys. 2018, 51, 205103. [Google Scholar] [CrossRef]
- Chen, C.C.; Tsai, Y.L.; Hsu, C.L.; Chang, J.Y. Propagation loss reduction of photonic crystal slab waveguides by microspheres. Opt. Express 2004, 12, 3934–3939. [Google Scholar] [CrossRef] [PubMed]
- Chiu, W.Y.; Wu, Y.S.; Chan, Y.J.; Wang, T.D.; Hou, C.H.; Chien, H.T.; Chen, C.-C. Monolithically integrated photonic-crystal devices with photodiodes. Opt. Commun. 2011, 284, 4749–4751. [Google Scholar] [CrossRef]
- Dai, Q.F.; Li, Y.W.; Wang, H.Z. Broadband two-dimensional photonic crystal wave plate. Appl. Phys. Lett. 2006, 89, 061121. [Google Scholar] [CrossRef]
- Osinski, M.; Bayat, K.; Henneberger, F.; Chaudhuri, S.K.; Safavi-Naeini, S.; Arakawa, Y. Design and simulation of an ultra compact integrated wave plate using photonic crystal slab waveguide. In Proceedings of the Physics and Simulation of Optoelectronic Devices XV; SPIE: Bellingham, WA, USA, 2007. [Google Scholar]
- Sun, K.; Li, J.; Sun, J.; Ge, L.; Xu, D.; Zhong, K.; Yao, J. A high-performance terahertz back-reflections blocker based on wire grid and metasurface quarter-wave plate. Results Phys. 2022, 33, 105183. [Google Scholar] [CrossRef]
- Mennea, P.L.; Clements, W.R.; Smith, D.H.; Gates, J.C.; Metcalf, B.J.; Bannerman, R.H.S.; Burgwal, R.; Renema, J.J.; Kolthammer, W.S.; Walmsley, I.A.; et al. Modular linear optical circuits. Optica 2018, 5, 1087–1090. [Google Scholar] [CrossRef]
- Sanchis, L.; Håkansson, A.; López-Zanón, D.; Bravo-Abad, J.; Sánchez-Dehesa, J. Integrated optical devices design by genetic algorithm. Appl. Phys. Lett. 2004, 84, 4460–4462. [Google Scholar] [CrossRef]
- Matsuda, N.; Le Jeannic, H.; Fukuda, H.; Tsuchizawa, T.; Munro, W.J.; Shimizu, K.; Yamada, K.; Tokura, Y.; Takesue, H. A monolithically integrated polarization entangled photon pair source on a silicon chip. Sci. Rep. 2012, 2, 817. [Google Scholar] [CrossRef] [PubMed]
- O’Brien, J.L.; Furusawa, A.; Vučković, J. Photonic quantum technologies. Nat. Photonics 2009, 3, 687–695. [Google Scholar] [CrossRef]
- Politi, A.; Cryan, M.J.; Rarity, J.G.; Yu, S.; O’Brien, J.L. Silica-on-Silicon Waveguide Quantum Circuits. Science 2008, 320, 646–649. [Google Scholar] [CrossRef] [PubMed]
- Xiong, X.; Zou, C.L.; Ren, X.F.; Guo, G.C. Integrated polarization rotator/converter by stimulated Raman adiabatic passage. Opt. Express 2013, 21, 17097–17107. [Google Scholar] [CrossRef]
- Frey, B.J.; Leviton, D.B.; Madison, T.J. Temperature-dependent refractive index of silicon and germanium. In Optomechanical Technologies for Astronomy; SPIE: Bellingham, WA, USA, 2006; Volume 6273. [Google Scholar] [CrossRef]
- Fukuda, H.; Yamada, K.; Tsuchizawa, T.; Watanabe, T.; Shinojima, H.; Itabashi, S.-I. Polarization rotator based on silicon wire waveguides. Opt. Express 2008, 16, 2628–2635. [Google Scholar] [CrossRef]
- Holmes, B.M.; Hutchin, D.C. Realization of novel low-loss monolithically integrated passive waveguide mode converters. IEEE Photonics Technol. Lett. 2006, 18, 43–45. [Google Scholar] [CrossRef]
- Kim, S.-H.; Takei, R.; Shoji, Y.; Mizumoto, T. Single-trench waveguide TE-TM mode converter. Opt. Express 2009, 17, 11267. [Google Scholar] [CrossRef]
- Rahman, B.M.A.; Obayya, S.; Somasiri, N.; Rajarajan, M.; Grattan, K.T.V.; El-Mikathi, H.A. Design and Characterization of Compact Single-Section Passive Polarization Rotator. IEEE/OSA J. Lightw. Technol. 2001, 19, 512–519. [Google Scholar] [CrossRef]
- Jing, Z.; Mingbin, Y.; Guo-Qiang, L.; Dim-Lee, K. Silicon-Waveguide-Based Mode Evolution Polarization Rotator. IEEE J. Sel. Top. Quantum Electron. 2010, 16, 53–60. [Google Scholar] [CrossRef]
- Watts, M.R.; Haus, H.A. Haus. Integrated mode-evolution-based polarization rotators. Opt. Lett. 2005, 30, 138–140. [Google Scholar] [CrossRef]
- Yamauchi, J.; Yamanoue, M.; Nakano, H. A Short Polarization Converter Using a Triangular Waveguide. J. Lightwave Technol. 2008, 26, 1708–1714. [Google Scholar] [CrossRef][Green Version]
- Wakabayashi, Y.; Hashimoto, T.; Yamauchi, J.; Nakano, H. Short Waveguide Polarization Converter Operating Over a Wide Wavelength Range. J. Lightwave Technol. 2013, 31, 1544–1550. [Google Scholar] [CrossRef]
- Wang, Z.; Dai, D. Ultrasmall Si-nanowire-based polarization rotator. J. Opt. Soc. Am. 2008, 25, 747–753. [Google Scholar] [CrossRef]
- Xie, A.; Zhou, L.; Chen, J.; Li, X. Efficient silicon polarization rotator based on mode-hybridization in a double-stair waveguide. Opt. Express 2015, 23, 3960–3970. [Google Scholar] [CrossRef] [PubMed]
- Chen, C.-C. Design of ultra-short polarization convertor with enhanced birefringence by photonic crystals. Results Phys. 2021, 24, 104138. [Google Scholar] [CrossRef]




| DP | 0.35 | 0.40 | 0.45 | 0.50 | 0.55 | 0.60 | 0.65 | 0.70 | 0.75 | ||
| DW | |||||||||||
| DC | |||||||||||
| 0.3 | 0.50 | 0.55 | 0.60 | 0.63 | 0.67 | 0.73 | 0.77 | ||||
| 0.4 | 0.46 | 0.50 | 0.55 | 0.58 | 0.63 | 0.67 | 0.72 | 0.76 | |||
| 0.5 | 0.45 | 0.50 | 0.54 | 0.57 | 0.61 | 0.66 | 0.70 | 0.75 | |||
| 0.6 | 0.45 | 0.50 | 0.53 | 0.56 | 0.61 | 0.65 | 0.70 | ||||
| 0.7 | 0.43 | 0.45 | 0.49 | 0.53 | 0.57 | 0.61 | 0.65 | ||||
| 0.8 | 0.43 | 0.45 | 0.48 | 0.52 | 0.55 | 0.60 | 0.65 | ||||
Publisher’s Note: MDPI stays neutral with regard to jurisdictional claims in published maps and institutional affiliations. |
© 2022 by the authors. Licensee MDPI, Basel, Switzerland. This article is an open access article distributed under the terms and conditions of the Creative Commons Attribution (CC BY) license (https://creativecommons.org/licenses/by/4.0/).
Share and Cite
Hsiao, F.-L.; Ni, C.-Y.; Tsai, Y.-P.; Chiang, T.-W.; Yang, Y.-T.; Fan, C.-J.; Chang, H.-M.; Chen, C.-C.; Lee, H.-F.; Lin, B.-S.; et al. Design of Waveguide Polarization Convertor Based on Asymmetric 1D Photonic Crystals. Nanomaterials 2022, 12, 2454. https://doi.org/10.3390/nano12142454
Hsiao F-L, Ni C-Y, Tsai Y-P, Chiang T-W, Yang Y-T, Fan C-J, Chang H-M, Chen C-C, Lee H-F, Lin B-S, et al. Design of Waveguide Polarization Convertor Based on Asymmetric 1D Photonic Crystals. Nanomaterials. 2022; 12(14):2454. https://doi.org/10.3390/nano12142454
Chicago/Turabian StyleHsiao, Fu-Li, Chia-Ying Ni, Ying-Pin Tsai, Ting-Wei Chiang, Yen-Tung Yang, Cheng-Jui Fan, Hsuan-Ming Chang, Chien-Chung Chen, Hsin-Feng Lee, Bor-Shyh Lin, and et al. 2022. "Design of Waveguide Polarization Convertor Based on Asymmetric 1D Photonic Crystals" Nanomaterials 12, no. 14: 2454. https://doi.org/10.3390/nano12142454
APA StyleHsiao, F.-L., Ni, C.-Y., Tsai, Y.-P., Chiang, T.-W., Yang, Y.-T., Fan, C.-J., Chang, H.-M., Chen, C.-C., Lee, H.-F., Lin, B.-S., Chan, K.-C., & Chen, C.-C. (2022). Design of Waveguide Polarization Convertor Based on Asymmetric 1D Photonic Crystals. Nanomaterials, 12(14), 2454. https://doi.org/10.3390/nano12142454

