Normal-State Transport Properties of Infinite-Layer Sr1−xLaxCuO2 Electron-Doped Cuprates in Optimal- and Over-Doped Regimes
Abstract
:1. Introduction
2. Materials and Methods
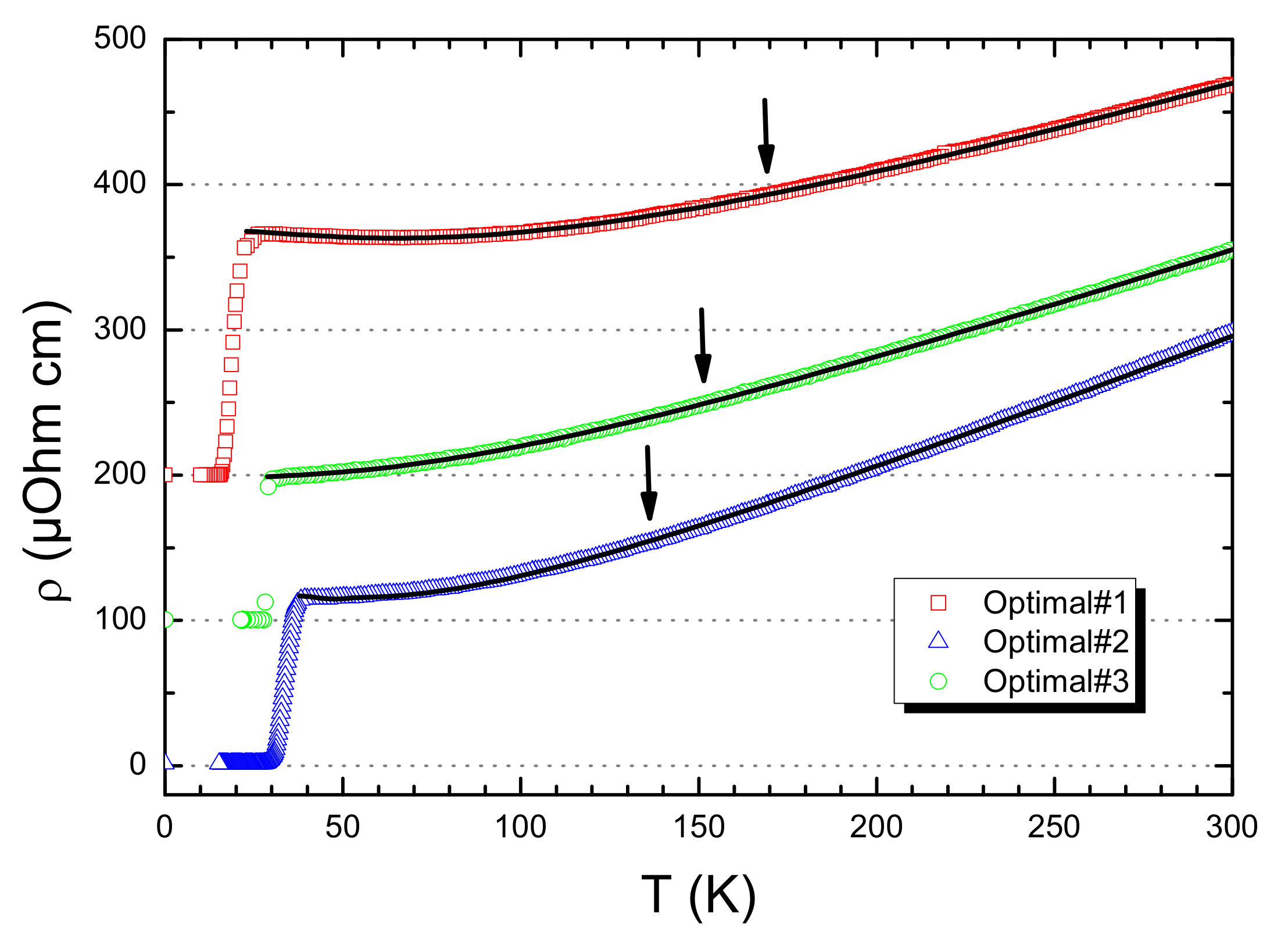
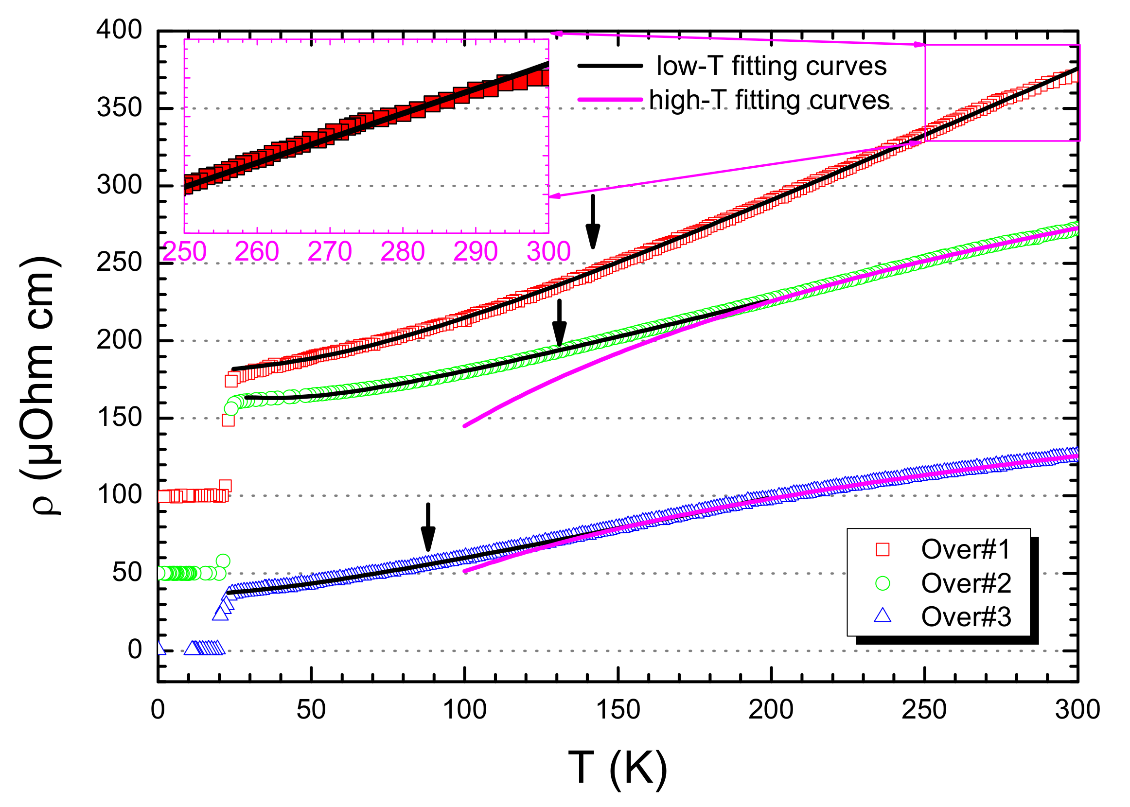
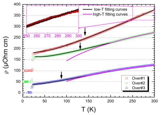
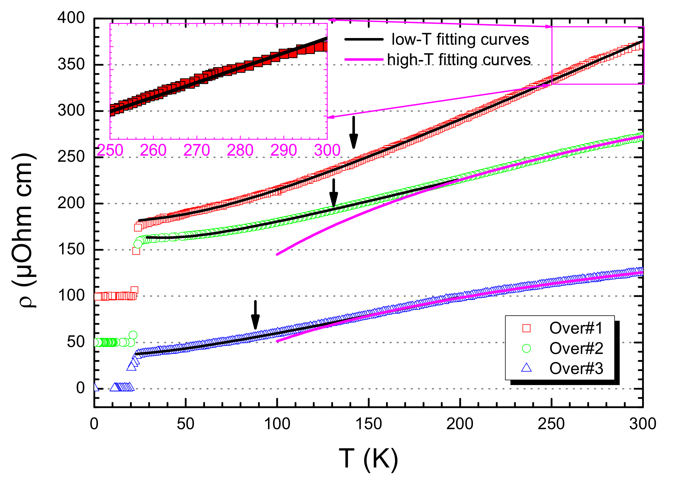
3. Results
4. Discussion
5. Conclusions
Author Contributions
Funding
Institutional Review Board Statement
Informed Consent Statement
Data Availability Statement
Acknowledgments
Conflicts of Interest
References
- Armitage, N.P.; Fournier, P.; Greene, R.L. Progress and perspectives on electron-doped cuprates. Rev. Mod. Phys. 2010, 82, 2421–2487. [Google Scholar] [CrossRef]
- Li, Y.; Tabis, W.; Tang, Y.; Yu, G.; Jaroszynski, J.; Barišić, N.; Greven, M. Hole pocket–driven superconductivity and its universal features in the electron-doped cuprates. Sci. Adv. 2019, 5, eaap7349. [Google Scholar] [CrossRef] [PubMed] [Green Version]
- Sarkar, T.; Mandal, P.R.; Poniatowski, N.R.; Chan, M.K.; Greene, R.L. Correlation between scale-invariant normal-state resistivity and superconductivity in an electron-doped cuprate. Sci. Adv. 2019, 5, eaav6753. [Google Scholar] [CrossRef] [PubMed] [Green Version]
- Tsuei, C.; Gupta, A.; Koren, G. Quadratic temperature dependence of the in-plane resistivity in superconducting Nd1.85CuO4—Evidence for Fermi-liquid normal state. Phys. C Supercond. 1989, 161, 415–422. [Google Scholar] [CrossRef]
- Charpentier, S.; Roberge, G.; Godin-Proulx, S.; Béchamp-Laganière, X.; Truong, K.D.; Fournier, P.; Rauwel, P. Antiferromagnetic fluctuations and the Hall effect of electron-doped cuprates: Possibility of a quantum phase transition at underdoping. Phys. Rev. B 2010, 81, 104509. [Google Scholar] [CrossRef]
- Higgins, J.S.; Dagan, Y.; Barr, M.C.; Weaver, B.D.; Greene, R.L. Role of oxygen in the electron-doped superconducting cuprates. Phys. Rev. B 2006, 73, 104510. [Google Scholar] [CrossRef] [Green Version]
- Jin, K.; Zhang, X.H.; Bach, P.; Greene, R.L. Evidence for antiferromagnetic order in La2−xCexCuO4 from angular magnetoresistance measurements. Phys. Rev. B 2009, 80, 012501. [Google Scholar] [CrossRef] [Green Version]
- Butch, N.P.; Jin, K.; Kirshenbaum, K.; Greene, R.L.; Paglione, J. Quantum critical scaling at the edge of Fermi liquid stability in a cuprate superconductor. Proc. Natl. Acad. Sci. USA 2012, 109, 8440–8444. [Google Scholar] [CrossRef] [Green Version]
- Jin, K.; Butch, N.P.; Kirshenbaum, K.; Paglione, J.; Greene, R.L. Link between spin fluctuations and electron pairing in copper oxide superconductors. Nature 2011, 476, 73–75. [Google Scholar] [CrossRef]
- Lyons, K.B.; Fleury, P.A. Spin fluctuations in superconducting cuprates. J. Appl. Phys. 1988, 64, 6075–6080. [Google Scholar] [CrossRef]
- Mirarchi, G.; Seibold, G.; Di Castro, C.; Grilli, M.; Caprara, S. The strange-metal behavior of cuprates. Condens. Matter 2022, 7, 29. [Google Scholar] [CrossRef]
- Moriya, T.; Ueda, K. Spin fluctuations and high temperature superconductivity. Adv. Phys. 2000, 49, 555–606. [Google Scholar] [CrossRef]
- Rice, T.M.; Robinson, N.J.; Tsvelik, A.M. Umklapp scattering as the origin of T-linear resistivity in the normal state of high-Tc cuprate superconductors. Phys. Rev. B 2017, 96, 220502. [Google Scholar] [CrossRef] [Green Version]
- Taillefer, L. Scattering and pairing in cuprate superconductors. Annu. Rev. Condens. Matter Phys. 2010, 1, 51–70. [Google Scholar] [CrossRef] [Green Version]
- Fournier, P.; Mohanty, P.; Maiser, E.; Darzens, S.; Venkatesan, T.; Lobb, C.J.; Czjzek, G.; Webb, R.A.; Greene, R.L. Insulator-Metal crossover near optimal doping in Pr2−xCexCuO4: Anomalous normal-state low temperature resistivity. Phys. Rev. Lett. 1998, 81, 4720–4723. [Google Scholar] [CrossRef] [Green Version]
- Liu, Y.; Haviland, D.B.; Nease, B.; Goldman, A.M. Insulator-to-superconductor transition in ultrathin films. Phys. Rev. B 1993, 47, 5931–5946. [Google Scholar] [CrossRef]
- Orgiani, P.; Aruta, C.; Balestrino, G.; Born, D.; Maritato, L.; Medaglia, P.G.; Stornaiuolo, D.; Tafuri, F.; Tebano, A. Direct measurement of sheet resistance R□ in cuprate systems: Evidence of a Fermionic scenario in a metal-insulator transition. Phys. Rev. Lett. 2007, 98, 036401. [Google Scholar] [CrossRef]
- Shaked, H. Crystal Structures of the High-Tc Superconducting Copper-Oxides; Physica: Superconductivity; Elsevier Science Publishers B.V.: Amsterdam, The Netherlands, 1994. [Google Scholar]
- Orgiani, P.; Galdi, A.; Sacco, C.; Arpaia, R.; Charpentier, S.; Lombardi, F.; Barone, C.; Pagano, S.; Schlom, D.G.; Maritato, L. The role of Quantum Interference Effects in normal-state transport properties of electron-doped cuprates. J. Supercond. Nov. Magn. 2015, 28, 3481–3486. [Google Scholar] [CrossRef]
- Mandrus, D.; Forro, L.; Kendziora, C.; Mihaly, L. Two-dimensional electron localization in bulk single crystals of Bi2YxCa1−xCu2O8. Phys. Rev. B 1991, 44, 2418–2421. [Google Scholar] [CrossRef]
- Tanda, S.; Honma, M.; Nakayama, T. Critical sheet resistance observed in high-Tc oxide-superconductor Nd2−xCe2CuO4. Phys. Rev. B 1991, 43, 8725. [Google Scholar] [CrossRef]
- Seidler, G.T.; Rosenbaum, T.F.; Veal, B.W. Two-dimensional superconductor-insulator transition in bulk single-crystal YBa2Cu3O6.38. Phys. Rev. B 1992, 45, 10162–10164. [Google Scholar] [CrossRef] [PubMed] [Green Version]
- Arpaia, R.; Golubev, D.; Baghdadi, R.; Ciancio, R.; Dražić, G.; Orgiani, P.; Montemurro, D.; Bauch, T.; Lombardi, F. Transport properties of ultrathin YBa2Cu3O7−δ nanowires: A route to single-photon detection. Phys. Rev. B 2017, 96, 064525. [Google Scholar] [CrossRef] [Green Version]
- Jovanović, V.P.; Li, Z.Z.; Raffy, H.; Briatico, J.; Sinchenko, A.A.; Monceau, P. Resistive upper critical fields and anisotropy of an electron-doped infinite-layer cuprate. Phys. Rev. B 2009, 80, 024501. [Google Scholar] [CrossRef] [Green Version]
- Sacco, C.; Galdi, A.; Orgiani, P.; Coppola, N.; Wei, H.I.; Arpaia, R.; Charpentier, S.; Lombardi, F.; Goodge, B.; Kourkoutis, L.F.; et al. Low temperature hidden Fermi-liquid charge transport in under doped LaxSr1−xCuO2 infinite layer electron-doped thin films. J. Phys. Condens. Matter 2019, 31, 445601. [Google Scholar] [CrossRef] [Green Version]
- Sacco, C.; Galdi, A.; Romeo, F.; Coppola, N.; Orgiani, P.; Wei, H.I.; Goodge, B.H.; Kourkoutis, L.F.; Shen, K.; Schlom, D.G.; et al. Carrier confinement effects observed in the normal-state electrical transport of electron-doped cuprate trilayers. J. Phys. D Appl. Phys. 2019, 52, 135303. [Google Scholar] [CrossRef]
- Barisic, N.; Chan, M.K.; Li, Y.; Yu, G.; Zhao, X.; Dressel, M.; Smontara, A.; Greven, M. Universal sheet resistance and revised phase diagram of the cuprate high-temperature superconductors. Proc. Natl. Acad. Sci. USA 2013, 110, 12235–12240. [Google Scholar] [CrossRef] [Green Version]
- Poniatowski, N.R.; Sarkar, T.; Das Sarma, S.; Greene, R.L. Resistivity saturation in an electron-doped cuprate. Phys. Rev. B 2021, 103, L020501. [Google Scholar] [CrossRef]
- Arouca, R.; Marino, E.C. The resistivity of high-Tc cuprates. Supercond. Sci. Technol. 2021, 34, 035004. [Google Scholar] [CrossRef]
- Pelc, D.; Veit, M.J.; Dorow, C.J.; Ge, Y.; Barišić, N.; Greven, M. Resistivity phase diagram of cuprates revisited. Phys. Rev. B 2020, 102, 075114. [Google Scholar] [CrossRef]
- Hussey, N.E. Phenomenology of the normal state in-plane transport properties of high-Tc cuprates. J. Phys. Condens. Matter 2008, 20, 123201. [Google Scholar] [CrossRef] [Green Version]
- Schlom, D.G.; Chen, L.Q.; Pan, X.; Schmehl, A.; Zurbuchen, M.A. A Thin Film Approach to Engineering Functionality into Oxides. J. Am. Ceram. Soc. 2008, 91, 2429–2454. [Google Scholar] [CrossRef]
- Schlom, D.; Haeni, J.; Lettieri, J.; Theis, C.; Tian, W.; Jiang, J.; Pan, X. Oxide nano-engineering using MBE. Mater. Sci. Eng. B 2001, 87, 282–291. [Google Scholar] [CrossRef]
- Orgiani, P.; Petrov, A.Y.; Ciancio, R.; Galdi, A.; Maritato, L.; Davidson, B.A. Evidence of direct correlation between out-of-plane lattice parameter and metal-insulator transition temperature in oxygen-depleted manganite thin films. Appl. Phys. Lett. 2012, 100, 042404. [Google Scholar] [CrossRef]
- Bigi, C.; Tang, Z.; Pierantozzi, G.M.; Orgiani, P.; Das, P.K.; Fujii, J.; Vobornik, I.; Pincelli, T.; Troglia, A.; Lee, T.L.; et al. Distinct behavior of localized and delocalized carriers in anatase TiO2 (001) during reaction with O2. Phys. Rev. Mater. 2020, 4, 025801. [Google Scholar] [CrossRef] [Green Version]
- Gobaut, B.; Orgiani, P.; Sambri, A.; di Gennaro, E.; Aruta, C.; Borgatti, F.; Lollobrigida, V.; Céolin, D.; Rueff, J.P.; Ciancio, R.; et al. Role of oxygen deposition pressure in the formation of Ti defect states in TiO2 (001) anatase thin films. ACS Appl. Mater. Interfaces 2017, 9, 23099–23106. [Google Scholar] [CrossRef] [Green Version]
- Orgiani, P.; Adamo, C.; Barone, C.; Galdi, A.; Pagano, S.; Petrov, A.Y.; Quaranta, O.; Aruta, C.; Ciancio, R.; Polichetti, M.; et al. Epitaxial growth of La0.7Ba0.3MnO3 thin films on MgO substrates: Structural, magnetic, and transport properties. J. Appl. Phys. 2008, 103, 093902. [Google Scholar] [CrossRef]
- Karimoto, S.; Naito, M. Electron-doped infinite-layer thin films with = 41 K grown on DyScO3 substrates. Phys. C Supercond. 2004, 412–414, 1349–1353. [Google Scholar] [CrossRef]
- Galdi, A.; Orgiani, P.; Sacco, C.; Gobaut, B.; Torelli, P.; Aruta, C.; Brookes, N.B.; Minola, M.; Harter, J.W.; Shen, K.M.; et al. X-ray absorption spectroscopy study of annealing process on Sr1−xLaxCuO2 electron-doped cuprate thin films. J. Appl. Phys. 2018, 123, 123901. [Google Scholar] [CrossRef]
- Uecker, R.; Bertram, R.; Brützam, M.; Galazka, Z.; Gesing, T.M.; Guguschev, C.; Klimm, D.; Klupsch, M.; Kwasniewski, A.; Schlom, D.G. Large-lattice-parameter perovskite single-crystal substrates. J. Cryst. Growth 2017, 457, 137–142. [Google Scholar] [CrossRef] [Green Version]
- Harter, J.W.; Maritato, L.; Shai, D.E.; Monkman, E.J.; Nie, Y.; Schlom, D.G.; Shen, K.M. Nodeless superconducting phase arising from a strong (π, π) antiferromagnetic phase in the infinite-layer electron-doped Sr1−xLaxCuO2 Compound. Phys. Rev. Lett. 2012, 109, 267001. [Google Scholar] [CrossRef] [Green Version]
- Maritato, L.; Galdi, A.; Orgiani, P.; Harter, J.W.; Schubert, J.; Shen, K.M.; Schlom, D.G. Layer-by-layer shuttered molecular-beam epitaxial growth of superconducting Sr1−xLaxCuO2 thin films. J. Appl. Phys. 2013, 113, 053911. [Google Scholar] [CrossRef] [Green Version]
- van der Pauw, L.J. A Method of Measuring Specific Resistivity and Hall Effect of Discs of Arbitrary Shape. Philips Res. Rep. 1958, 13, 1–9. [Google Scholar]
- Taylor, J.R. An Introduction to Error Analysis; University Science Books: Sausalito, CA, USA, 1997. [Google Scholar]
- Mercone, S.; Perroni, C.A.; Cataudella, V.; Adamo, C.; Angeloni, M.; Aruta, C.; De Filippis, G.; Miletto, F.; Oropallo, A.; Perna, P.; et al. Transport properties in manganite thin films. Phys. Rev. B 2005, 71, 064415. [Google Scholar] [CrossRef] [Green Version]
- Orgiani, P.; Adamo, C.; Barone, C.; Galdi, A.; Petrov, A.Y.; Schlom, D.G.; Maritato, L. Influence of a single disorder parameter on the conduction mechanisms in manganite thin films. Phys. Rev. B 2007, 76, 012404. [Google Scholar] [CrossRef] [Green Version]
- Mott, N.F. Metal-Insulator Transition. Rev. Mod. Phys. 1968, 40, 677–683. [Google Scholar] [CrossRef]
- Yu, W.; Higgins, J.S.; Bach, P.; Greene, R.L. Transport evidence of a magnetic quantum phase transition in electron-doped high-temperature superconductors. Phys. Rev. B 2007, 76, 020503. [Google Scholar] [CrossRef] [Green Version]
- Fujita, M.; Matsuda, M.; Fåk, B.; Frost, C.D.; Yamada, K. Novel spin excitations in optimally electron-doped Pr0.89LaCe0.11CuO4. J. Phys. Soc. Jpn. 2006, 75, 093704. [Google Scholar] [CrossRef]
- Ishii, K.; Fujita, M.; Sasaki, T.; Minola, M.; Dellea, G.; Mazzoli, C.; Kummer, K.; Ghiringhelli, G.; Braicovich, L.; Tohyama, T.; et al. High-energy spin and charge excitations in electron-doped copper oxide superconductors. Nat. Commun. 2014, 5, 3714. [Google Scholar] [CrossRef] [Green Version]
- Winarsih, S.; Budiman, F.; Tanaka, H.; Adachi, T.; Koda, A.; Horibe, Y.; Kurniawan, B.; Watanabe, I.; Risdiana, R. Observation of Cu spin fluctuations in high-Tc cuprate superconductor nanoparticles investigated by muon spin relaxation. Nanomaterials 2021, 11, 3450. [Google Scholar] [CrossRef]
- Rivier, N.; Zlatic, V. Temperature dependence of the resistivity due to localized spin fluctuations. II. Coles alloys. J. Phys. F Met. Phys. 1972, 2, L99–L104. [Google Scholar] [CrossRef]
- Tallon, J.L.; Bernhard, C.; Shaked, H.; Hitterman, R.L.; Jorgensen, J.D. Generic superconducting phase behavior in high-Tc cuprates: Tc variation with hole concentration in YBa2Cu3O7−δ. Phys. Rev. B 1995, 51, 12911–12914. [Google Scholar] [CrossRef] [PubMed]
- Boato, G.; Gallinaro, G.; Rizzuto, C. Effect of Transition-Metal Impurities on the Critical Temperature of Superconducting Al, Zn, In, and Sn. Phys. Rev. 1966, 148, 353–361. [Google Scholar] [CrossRef]
- Sipos, B.; Barisic, N.; Gaal, R.; Forró, L.; Karpinski, J.; Rullier-Albenque, F. Matthiessen’s rule in MgB2: Resistivity and Tc as a function of point defect concentration. Phys. Rev. B 2007, 76, 132504. [Google Scholar] [CrossRef] [Green Version]





| Sample | ||
|---|---|---|
| (10) | (10) | |
| Optimal♯1 | 6.7 | 0.21 |
| Optimal♯2 | 4.7 | 1.4 |
| Optimal♯3 | 2.5 | 0.15 |
| Sample | |||
|---|---|---|---|
| (K) | (10) | (10) | |
| Over♯1 | — | 2.39 | 0.65 |
| Over♯2 | 180 | 0.97 | 0.16 |
| Over♯3 | 160 | 1.30 | 0.48 |
| Sample | |||||
|---|---|---|---|---|---|
| (K) | (K) | ||||
| Optimal♯1 | 28.2 | 0.067 | 168 | 160 | 0.81 |
| Optimal♯2 | 30.5 | 0.071 | 149 | 91 | 0.81 |
| Optimal♯3 | 38.2 | 0.100 | 134 | 157 | 0.96 |
| Over♯1 | 28.2 | 0.130 | 138 | 75 | 0.89 |
| Over♯2 | 26.6 | 0.135 | 122 | 136 | 0.78 |
| Over♯3 | 23.9 | 0.139 | 82 | 30 | 0.47 |
Publisher’s Note: MDPI stays neutral with regard to jurisdictional claims in published maps and institutional affiliations. |
© 2022 by the authors. Licensee MDPI, Basel, Switzerland. This article is an open access article distributed under the terms and conditions of the Creative Commons Attribution (CC BY) license (https://creativecommons.org/licenses/by/4.0/).
Share and Cite
Orgiani, P.; Galdi, A.; Schlom, D.G.; Maritato, L. Normal-State Transport Properties of Infinite-Layer Sr1−xLaxCuO2 Electron-Doped Cuprates in Optimal- and Over-Doped Regimes. Nanomaterials 2022, 12, 1709. https://doi.org/10.3390/nano12101709
Orgiani P, Galdi A, Schlom DG, Maritato L. Normal-State Transport Properties of Infinite-Layer Sr1−xLaxCuO2 Electron-Doped Cuprates in Optimal- and Over-Doped Regimes. Nanomaterials. 2022; 12(10):1709. https://doi.org/10.3390/nano12101709
Chicago/Turabian StyleOrgiani, Pasquale, Alice Galdi, Darrell G. Schlom, and Luigi Maritato. 2022. "Normal-State Transport Properties of Infinite-Layer Sr1−xLaxCuO2 Electron-Doped Cuprates in Optimal- and Over-Doped Regimes" Nanomaterials 12, no. 10: 1709. https://doi.org/10.3390/nano12101709
APA StyleOrgiani, P., Galdi, A., Schlom, D. G., & Maritato, L. (2022). Normal-State Transport Properties of Infinite-Layer Sr1−xLaxCuO2 Electron-Doped Cuprates in Optimal- and Over-Doped Regimes. Nanomaterials, 12(10), 1709. https://doi.org/10.3390/nano12101709

