Effects of Intense Laser Field on Electronic and Optical Properties of Harmonic and Variable Degree Anharmonic Oscillators
Abstract
:1. Introduction
2. Theory
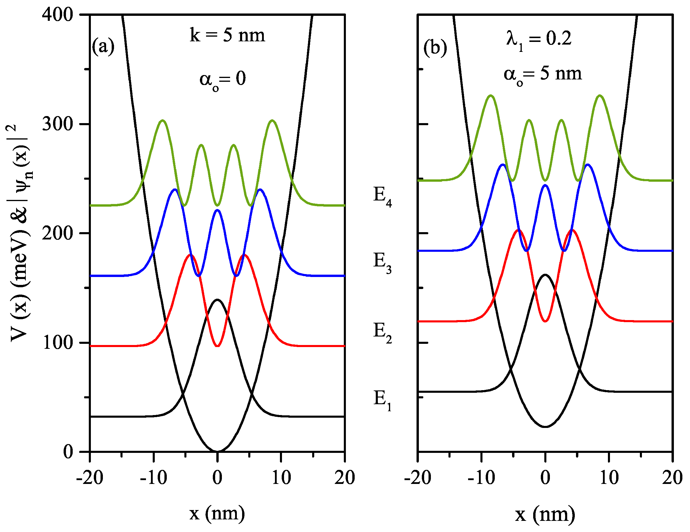
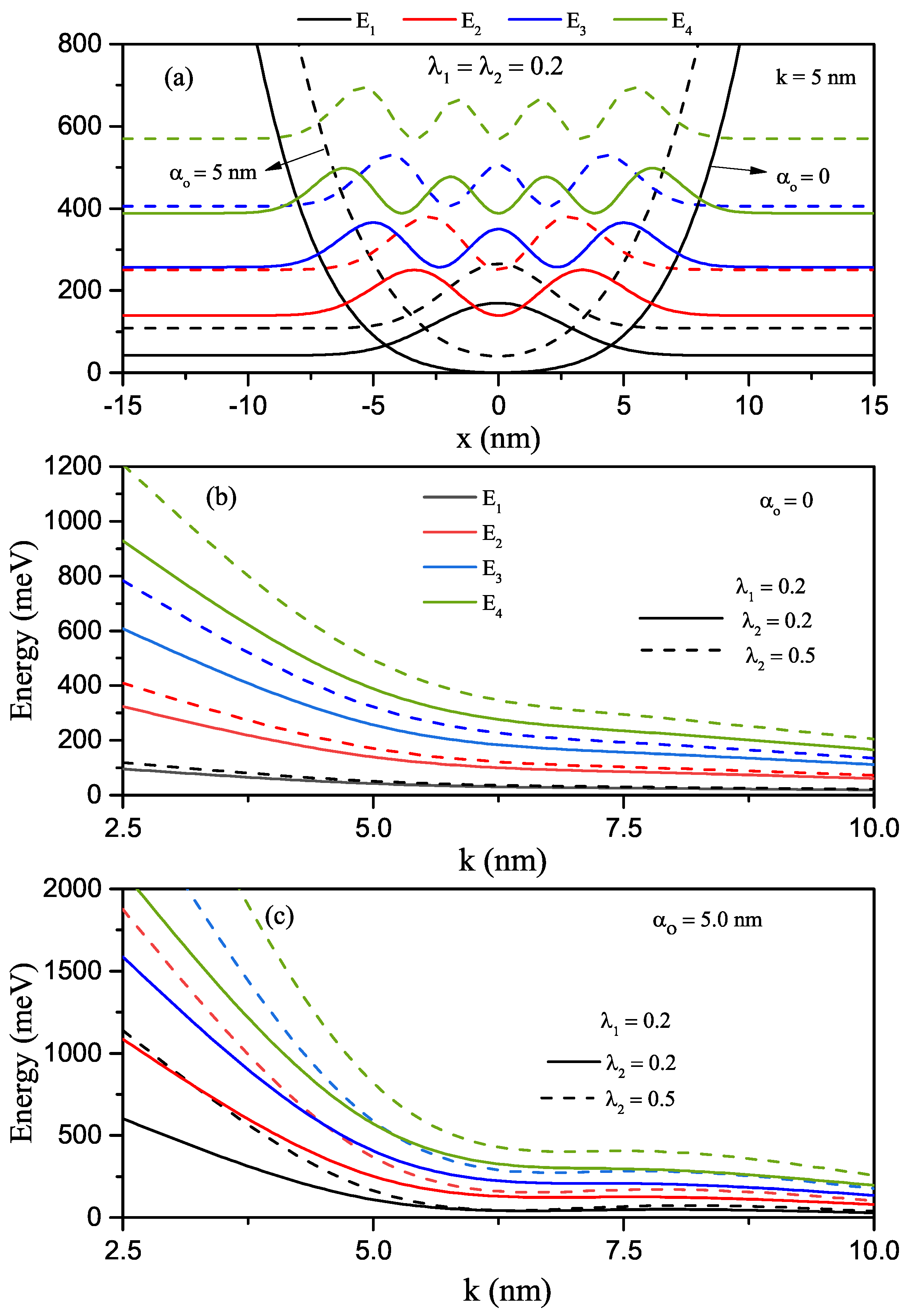
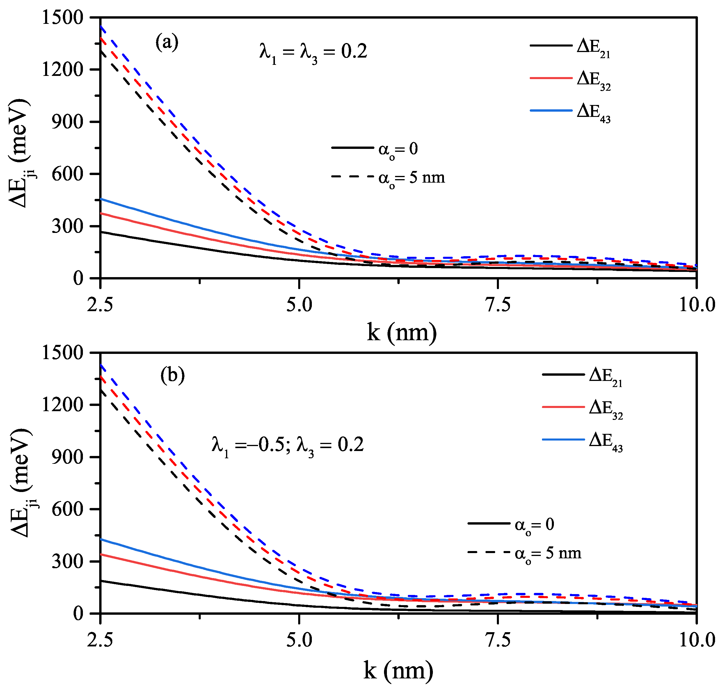
3. Results and Discussion
4. Conclusions
Author Contributions
Funding
Institutional Review Board Statement
Informed Consent Statement
Data Availability Statement
Conflicts of Interest
References
- Landi, G.T.; de Oliveira, M.J. Fourier’s law from a chain of coupled anharmonic oscillators under energy-conserving noise. Phys. Rev. E 2013, 87, 052126. [Google Scholar] [CrossRef] [PubMed] [Green Version]
- Fletcher, N.H. Harmonic? Anharmonic? Inharmonic? Am. J. Phys. 2002, 70, 1205. [Google Scholar] [CrossRef] [Green Version]
- Villegas-Martínez, B.M.; Moya-Cessa, H.M.; Soto-Eguibar, F. Exact and approximated solutions for the harmonic and anharmonic repulsive oscillators: Matrix method. Eur. Phys. J. D 2020, 74, 137. [Google Scholar]
- Panek, T.; Hoeske, A.A.; Jacob, C.R. On the choice of coordinates in anharmonic theoretical vibrational spectroscopy: Harmonic vs. anharmonic coupling in vibrational configuration interaction. J. Chem. Phys. 2019, 150, 054107. [Google Scholar]
- Sharma, A.; Sastri, O.S.K.S. Numerical simulation of quantum anharmonic oscillator, embedded within an infinite square well potential, by matrix methods using Gnumeric spreadsheet. Eur. J. Phys. 2020, 41, 055402. [Google Scholar] [CrossRef]
- Bender, C.M.; Wu, T.T. Anharmonic oscillator. Phys. Rev. 1969, 184, 1231–1260. [Google Scholar] [CrossRef]
- Hioe, F.T.; MacMillien, D.; Montroll, E.W. Quantum theory of anharmonic oscillators: Energy levels of a single and a pair of coupled oscillators with quartic coupling. [Expansions, WRB analysis]. Phys. Rep. 1978, 43, 305–335. [Google Scholar] [CrossRef]
- Banerjee, K.; Bhatnagar, S.P. Two-well oscillator. Phys. Rev. D 1978, 18, 4767–4769. [Google Scholar] [CrossRef]
- Biswas, S.N.; Datta, K.; Saxena, R.P.; Srivastava, P.K.; Varma, V.S. Eigenvalues of λx2m anharmonic oscillators. J. Math. Phys. 1973, 14, 1190–1195. [Google Scholar] [CrossRef]
- Patnaik, P.K. Rayleigh-Schrödinger perturbation theory for the anharmonic oscillator. Phys. Rev. D 1987, 35, 1234–1238. [Google Scholar] [CrossRef]
- Patnaik, P.K. Perturbation theory for an anharmonic oscillator. Phys. Rev. D 1986, 33, 3145–3146. [Google Scholar] [CrossRef] [PubMed]
- Feranchuk, D.; Komarov, L.I. The operator method of the approximate solution of the Schrödinger equation. Phys. Lett. A 1982, 88, 211–214. [Google Scholar] [CrossRef]
- Fernandez, F.M. Strong coupling expansion for anharmonic oscillators and perturbed Coulomb potentials. Phys. Lett. A 1992, 166, 173–176. [Google Scholar] [CrossRef]
- Adelakun, A.O.; Dele, A.D. Solution of quantum anharmonic oscillator with quartic perturbation. Adv. Phys. Theor. Appl. 2014, 27, 38–43. [Google Scholar]
- Sous, A.J. Solutıon for the eigenenergies of sextic anharmonic oscillator potential V(x)=A6x6+A4x4+A2x2. Mod. Phys. Lett. A 2006, 21, 1675–1682. [Google Scholar] [CrossRef]
- Chaudhuri, R.N.; Mondal, M. Eigenvalues of anharmonic oscillators and the perturbed Coulomb problem in N-dimensional space. Phys. Rev. A 1995, 52, 1850–1856. [Google Scholar] [CrossRef] [PubMed]
- Balsa, R.; Plo, M.; Esteve, J.G.; Pacheco, A.F. Simple procedure to compute accurate energy levels of a double-well anharmonic oscillator. Phys. Rev. D 1983, 28, 1945–1948. [Google Scholar] [CrossRef]
- Mandal, S. Quantum oscillator of quartic anharmonicity. J. Phys. A Math. Gen. 1998, 31, L501–L505. [Google Scholar] [CrossRef]
- Silverstone, H.J.; Harris, J.G.; Cizek, J.; Paldus, J. Asymptotics of high-order perturbation theory for the one-dimensional anharmonic oscillator by quasisemiclassical methods. Phys. Rev. A 1985, 32, 1965–1980. [Google Scholar] [CrossRef]
- Fernandez, F.M.; Guardiola, R. Accurate eigenvalues and eigenfunctions for quantum-mechanical anharmonic oscillators. J. Phys. A Math. Gen. 1993, 26, 7169–7180. [Google Scholar] [CrossRef]
- Ivanov, I.A. Sextic and octic anharmonic oscillators: Connection between strong-coupling and weak-coupling expansions. J. Phys. A Math. Gen. 1998, 31, 5697–5704. [Google Scholar] [CrossRef]
- Jafarpour, M.; Afshar, D. Calculation of energy eigenvalues for the quantum anharmonic oscillator with a polynomial potential. J. Phys. A Math. Gen. 2002, 35, 87–92. [Google Scholar] [CrossRef]
- Sharma, L.K.; Fiase, J.O. Non-perturbative energy expressions for the generalized anharmonic oscillator. Eur. J. Phys. 2000, 21, 167–174. [Google Scholar] [CrossRef]
- Speliotopoulos, A.D. The general structure of eigenvalues in nonlinear oscillators. J. Phys. A Math. Gen. 2000, 33, 3809–3823. [Google Scholar] [CrossRef]
- Pathak, A. Generalised quantum anharmonic oscillator using an operator ordering approach. J. Phys. A Math. Gen. 2000, 33, 5607–5613. [Google Scholar] [CrossRef]
- Ikhdair, S.M.; Sever, R. An alternatıve simple solution of the sextıc anharmonıc oscıllator and perturbed Coulomb problems. Intr. J. Mod. Phys. C 2007, 18, 1571–1581. [Google Scholar] [CrossRef] [Green Version]
- Barakat, T. The asymptotic iteration method for the eigenenergies of the anharmonic oscillator potential V(x)=Ax2α+Bx2. Phys. Lett. A 2005, 344, 411–417. [Google Scholar] [CrossRef]
- De Freitas, A.; Martin, P.; Castro, E.; Paz, J.L. Eigenvalues and eigenfunctions for the ground state of polynomial potentials. Phys. Lett. A 2007, 362, 371–376. [Google Scholar] [CrossRef]
- Bati, M. The effects of the intense laser field on the resonant tunneling properties of the symmetric triple inverse parabolic barrier double well structure. Phys. B Condens. Matter 2020, 594, 412314. [Google Scholar] [CrossRef]
- Dakhlaoui, H.; Vinasco, J.A.; Duque, C.A. External fields controlling the nonlinear optical properties of quantum cascade laser based on staircase-like quantum well. Superlattices Microstruct. 2021, 155, 106885. [Google Scholar] [CrossRef]
- Aishah, A.N.; Dakhlaoui, H.; Ghrib, T.; Wong, B.M. Effects of magnetic, electric, and intense laser fields on the optical properties of AlGaAs/GaAs quantum wells for terahertz photodetectors. Phys. B Condens. Matter 2022, 635, 413838. [Google Scholar]
- Kasapoglu, E.; Sari, H.; Sökmen, I.; Vinasco, J.A.; Laroze, D.; Duque, C.A. Effects of intense laser field and position dependent effective mass in Razavy quantum wells and quantum dots. Phys. E Low-Dimens. Syst. Nanostruct. 2021, 126, 114461. [Google Scholar] [CrossRef]
- Pradhan, B.; Panda, B.K. Effect of intense laser field in GaAs/AlxGa1-xAs quantum wel. Adv. Sci. Lett. 2014, 20, 726–728. [Google Scholar] [CrossRef]
- Panda, M.; Das, T.; Panda, B.K. Nonlinear optical properties in the laser-dressed two-level AlxGa1-xN/GaN single quantum well. Int. J. Mod. Phys. B 2017, 31, 1850032. [Google Scholar] [CrossRef]
- Duque, C.A.; Mora-Ramos, M.E.; Kasapoglu, E.; Sari, H.; Sökmen, I. Intense laser field effect on impurity states in a semiconductor quantum well: Transition from the single to double quantum well potential. Eur. Phys. J. B 2011, 81, 441–449. [Google Scholar] [CrossRef]
- Pavia, D.L.; Lampman, G.M.; Kriz, G.S.; Vyvyan, J.R. Introduction to Spectroscopy, 5th ed.; Cengage Learning: Stamford, CT, USA, 2015; pp. 215–613. [Google Scholar]








Publisher’s Note: MDPI stays neutral with regard to jurisdictional claims in published maps and institutional affiliations. |
© 2022 by the authors. Licensee MDPI, Basel, Switzerland. This article is an open access article distributed under the terms and conditions of the Creative Commons Attribution (CC BY) license (https://creativecommons.org/licenses/by/4.0/).
Share and Cite
Yücel, M.B.; Kasapoglu, E.; Duque, C.A. Effects of Intense Laser Field on Electronic and Optical Properties of Harmonic and Variable Degree Anharmonic Oscillators. Nanomaterials 2022, 12, 1620. https://doi.org/10.3390/nano12101620
Yücel MB, Kasapoglu E, Duque CA. Effects of Intense Laser Field on Electronic and Optical Properties of Harmonic and Variable Degree Anharmonic Oscillators. Nanomaterials. 2022; 12(10):1620. https://doi.org/10.3390/nano12101620
Chicago/Turabian StyleYücel, Melike Behiye, Esin Kasapoglu, and Carlos A. Duque. 2022. "Effects of Intense Laser Field on Electronic and Optical Properties of Harmonic and Variable Degree Anharmonic Oscillators" Nanomaterials 12, no. 10: 1620. https://doi.org/10.3390/nano12101620
APA StyleYücel, M. B., Kasapoglu, E., & Duque, C. A. (2022). Effects of Intense Laser Field on Electronic and Optical Properties of Harmonic and Variable Degree Anharmonic Oscillators. Nanomaterials, 12(10), 1620. https://doi.org/10.3390/nano12101620

