All Structures Great and Small: Nanoscale Modulations in Nematic Liquid Crystals
Abstract
1. Introduction
- The twist–bend nematic (NTB): This is a theoretical model, first formulated by R.B. Meyer [15] on the basis of nematic elasticity. According to the model, states exhibiting spontaneous twist and bend elastic deformations can be stabilized, under certain conditions, in a uniaxial nematic phase (NU).
- The splay–bend nematic (NSB): Another theoretical model, also first presented by R.B. Meyer, simultaneously with the NTB [15]. Here the possibility of a NU developing stable states with spontaneous splay and bend elastic deformations is considered. The necessity for the formation of domains in the NSB model was pointed out in the original work.
- The NX phase: The name is reserved for the experimentally-identified, low- temperature nematic phase, first found in certain classes of achiral, mesogenic dimers [1] and subsequently in a variety of compounds combining mesogenic features with an overall bent-core (banana-shaped) molecular architecture, see for instance refs [8,23]. For the last decade this phase has often been termed NTB, although its experimentally determined nanoscale modulation features clearly could not stem from twist and/or bend elastic deformations of a uniaxial nematic medium as originally envisaged by R.B. Meyer [15].
- The polar-twisted nematic (NPT): A theoretical model formulated on the basis of molecular interactions [16,17] and presenting the possibility of local polar packing of the molecules along a polar director m which, in turn, undergoes periodic roto-translation modulations over molecular length scales, thereby eliminating macroscopic polarity. This model has been proposed for the description of the experimental NX phase [16].
2. Elastic Deformations of Uniaxial Apolar Nematics
2.1. Fundamental Deformations and Free Energy
2.2. Conditions for the Applicability of the Frank–Oseen Theory of Elasticity
- (i)
- The deformations extend over regions of spatial dimension much larger than the molecular dimensions ().
- (ii)
- The curvatures of the nematic director field are “soft” ().
- (iii)
- The local symmetry of the molecular ordering is preserved (in the sense that conceivabele deviations therefrom are negligible) under the distortions. This is an essential requirement; it is an important prerequisite for defining the local nematic director , and thereby its curvatures and fundamental elastic deformations.
- (iv)
- The principal value of the nematic order paramater S shows negligible spatial variation in the presence of the elastic distortions.
- (v)
- The changes in mass density, induced by the elastic distortions, are also negligible.
2.3. Spontaneous 1-D Modulations of Nematics within the Frank–Oseen Elasticity Theory
- (1)
- A quadratic contribution associated the magnitude of , i.e., . As this term accounts for the entropic effects of a finite, uniformly aligned, within each X-Y plane, the constant A comes with a positive sign.
- (2)
- A scalar coupling of with , namely
- (3)
- A pseudoscalar coupling, .
- (1)
- Modulations at constant magnitude of ψ; equivalently at constant . The modulation then consists of the periodic rotation of the direction of ψ. Such modulations exclude the possibility of splay deformations.
- (2)
- Modulations with ψ confined to oscillate along a single fixed axis in the X-Y plane. In this case the director reorients periodically while remaining on a fixed plane containing the Z-axis. Such modulations exclude twist deformations.
- (3)
- A combination of the previous two modes, i.e., ψ confined to oscillate along a single axis whose orientation is rotated on moving along the Z-axis.
2.3.1. States of Fixed nZ and Rotating
2.3.2. States with n Oscillating on a Fixed Plane
2.3.3. States with n Oscillating on a Rotating Plane
3. Modulations of Molecular Ordering in Nematics
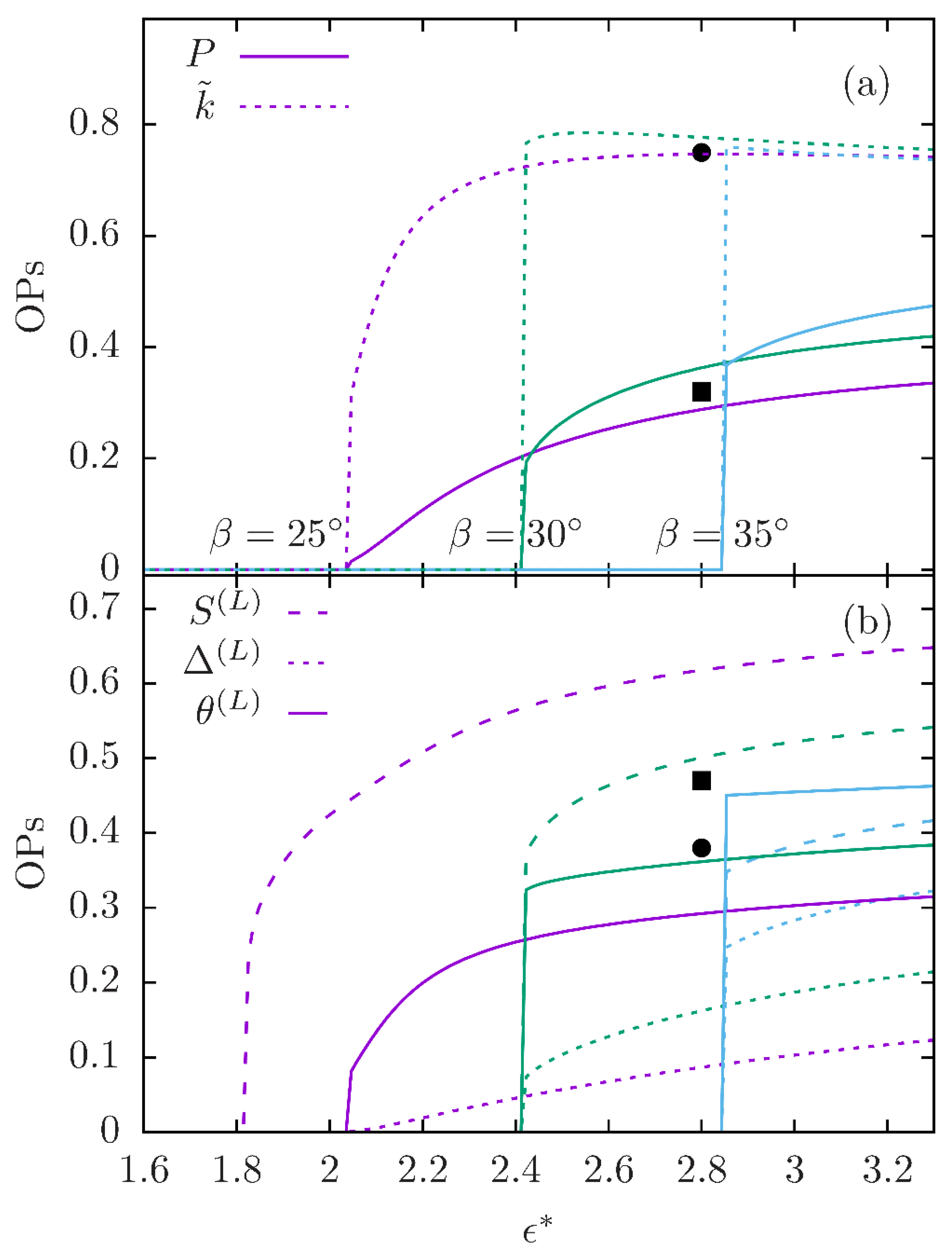
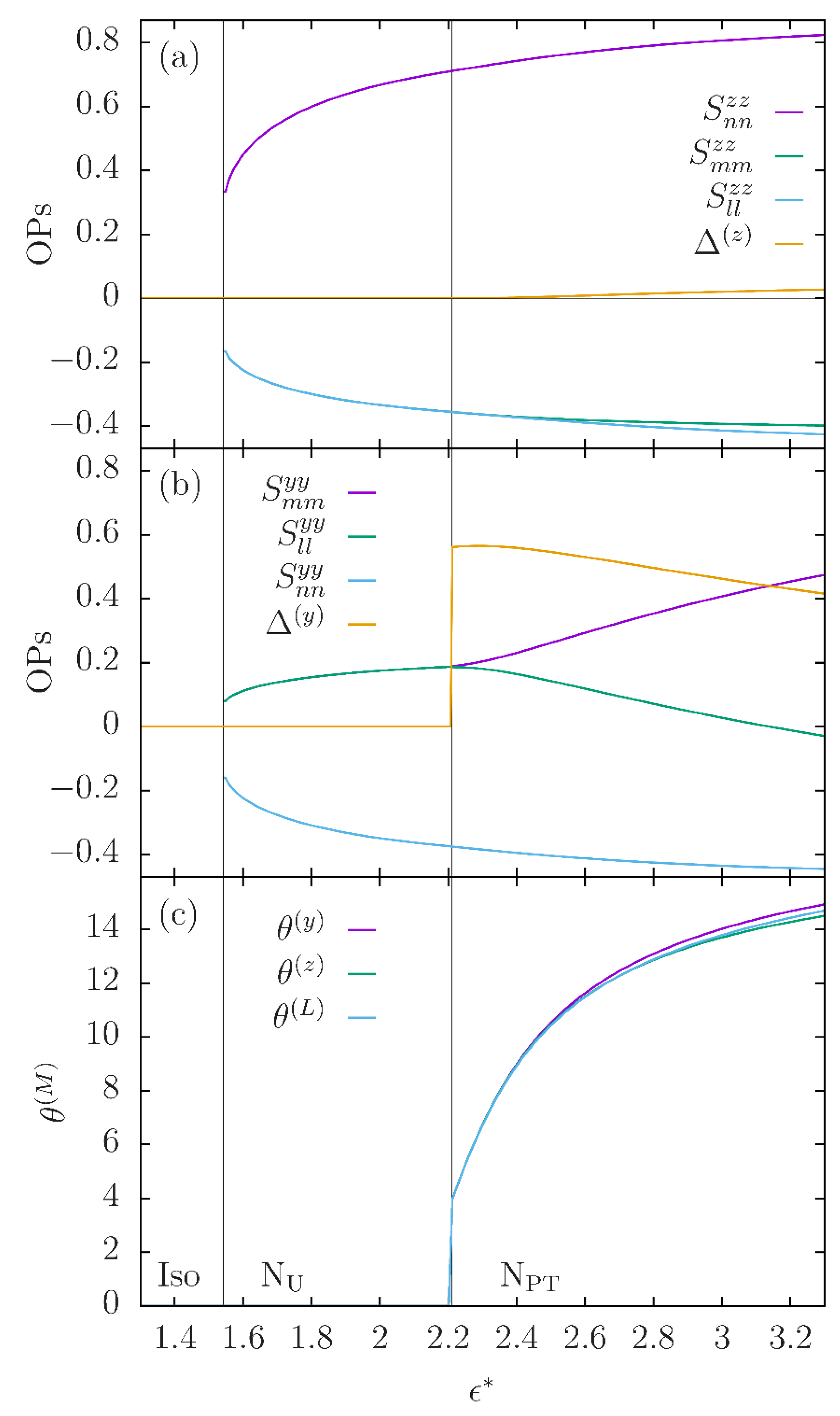
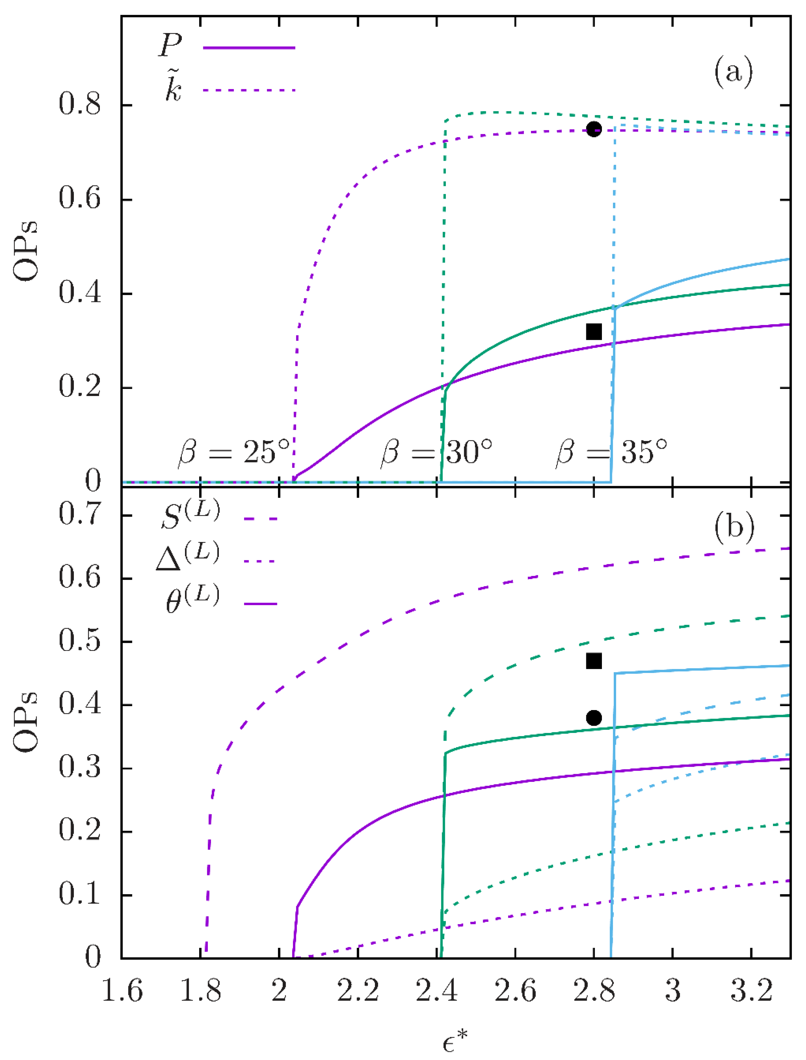
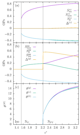
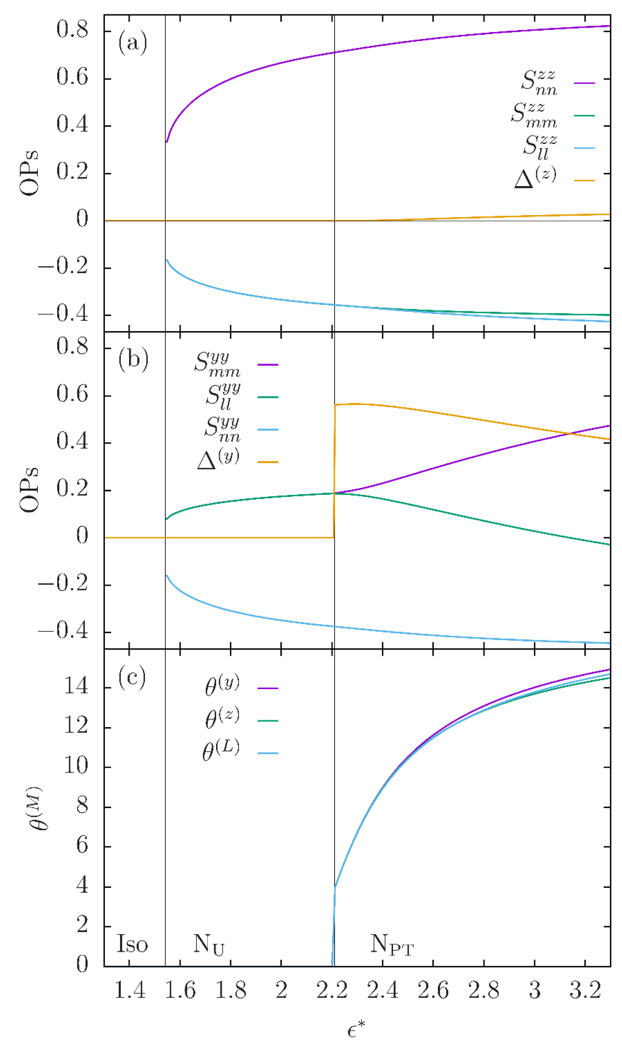
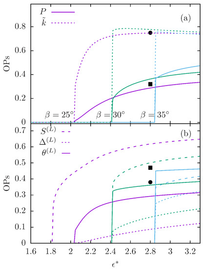
4. Molecular Dynamics Simulations of Modulated Nematic Ordering
- (1)
- The thermodynamic stability of the NPT phase, relative to the isotropic fluid and the NU phase, found over a range of the model parameters, does not exclude the possibility that, over the same parameter range, some other LC phase (e.g., smectic) or even a solid, would be more stable than the NPT.
- (2)
- How would the stability and the main structural characteristics of the NPT phase be influenced if the primitive molecular model were enriched by realistic features of the actual molecules, e.g., the CB-n-CB dimers of odd n, forming the experimental NX phase? Such features include the extensive flexibility of the spacer chain and the related partition of the molecular interactions into successions of aromatic–aliphatic–aromatic zones which are thought to promote structural microsegregation.
5. Discussion
6. Concluding Remarks
Author Contributions
Funding
Institutional Review Board Statement
Informed Consent Statement
Data Availability Statement
Acknowledgments
Conflicts of Interest
References
- Panov, V.P.; Nagaraj, M.; Vij, J.K.; Panarin, Y.P.; Kohlmeier, A.; Tamba, M.G.; Lewis, R.A.; Mehl, G.H. Spontaneous Periodic Deformations in Nonchiral Planar-Aligned Bimesogens with a Nematic-Nematic Transition and a Negative Elastic Constant. Phys. Rev. Lett. 2010, 105, 167801. [Google Scholar] [CrossRef]
- Cladis, P.E.; Brand, H.R.; Pleiner, H. Fluid Biaxial Banana Smectics: Symmetry at Work. Liq. Cryst. Today 1999, 9, 1–6. [Google Scholar] [CrossRef][Green Version]
- Tschierske, C. Mirror Symmetry Breaking in Liquids and Liquid Crystals. Liq. Cryst. 2018, 45, 2221–2252. [Google Scholar] [CrossRef]
- Borshch, V.; Kim, Y.-K.; Xiang, J.; Gao, M.; Jákli, A.; Panov, V.P.; Vij, J.K.; Imrie, C.T.; Tamba, M.G.; Mehl, G.H.; et al. Nematic Twist-Bend Phase with Nanoscale Modulation of Molecular Orientation. Nat. Commun. 2013, 4, 2635. [Google Scholar] [CrossRef] [PubMed]
- Mandle, R.J. The Dependency of Twist-Bend Nematic Liquid Crystals on Molecular Structure: A Progression from Dimers to Trimers, Oligomers and Polymers. Soft Matter 2016, 12, 7883–7901. [Google Scholar] [CrossRef] [PubMed]
- Mandle, R.J.; Goodby, J.W. Intercalated Soft-Crystalline Mesophase Exhibited by an Unsymmetrical Twist-Bend Nematogen. CrystEngComm 2016, 18, 8794–8802. [Google Scholar] [CrossRef]
- Arakawa, Y.; Komatsu, K.; Feng, J.; Zhu, C.; Tsuji, H. Distinct Twist-Bend Nematic Phase Behaviors Associated with the Ester-Linkage Direction of Thioether-Linked Liquid Crystal Dimers. Mater. Adv. 2021, 2, 261–272. [Google Scholar] [CrossRef]
- Arakawa, Y.; Komatsu, K.; Shiba, T.; Tsuji, H. Methylene- and Thioether-Linked Cyanobiphenyl-Based Liquid Crystal Dimers CBnSCB Exhibiting Room Temperature Twist-Bend Nematic Phases and Glasses. Mater. Adv. 2021, 2, 1760–1773. [Google Scholar] [CrossRef]
- Liu, J.; Shadpour, S.; Prévôt, M.E.; Chirgwin, M.; Nemati, A.; Hegmann, E.; Lemieux, R.P.; Hegmann, T. Molecular Conformation of Bent-Core Molecules Affected by Chiral Side Chains Dictates Polymorphism and Chirality in Organic Nano- and Microfilaments. ACS Nano 2021, 15, 7249–7270. [Google Scholar] [CrossRef] [PubMed]
- Abberley, J.P.; Killah, R.; Walker, R.; Storey, J.M.D.; Imrie, C.T.; Salamończyk, M.; Zhu, C.; Gorecka, E.; Pociecha, D. Heliconical Smectic Phases Formed by Achiral Molecules. Nat. Commun. 2018, 9, 228. [Google Scholar] [CrossRef]
- Ramou, E.; Ahmed, Z.; Welch, C.; Karahaliou, P.K.; Mehl, G.H. The Stabilisation of the Nx Phase in Mixtures. Soft Matter 2016, 12, 888–899. [Google Scholar] [CrossRef]
- Merkel, K.; Loska, B.; Welch, C.; Mehl, G.H.; Kocot, A. Molecular Biaxiality Determines the Helical Structure–Infrared Measurements of the Molecular Order in the Nematic Twist-Bend Phase of Difluoro Terphenyl Dimer. Phys. Chem. Chem. Phys. 2021, 23, 4151–4160. [Google Scholar] [CrossRef] [PubMed]
- Gleeson, H.F.; Zhang, Z.; Panov, V.; Nagaraj, M.; Mandle, R.; Goodby, J.; Luckhurst, G.R.; Jones, C. Raman Scattering Studies of Order Parameters in Liquid Crystalline Dimers Exhibiting the Nematic and Twist-Bend Nematic Phases. J. Mater. Chem. C 2015. [Google Scholar] [CrossRef]
- Samulski, E.T.; Vanakaras, A.G.; Photinos, D.J. The Twist Bend Nematic: A Case of Mistaken Identity. Liq. Cryst. 2020, 47, 2092–2097. [Google Scholar] [CrossRef]
- Meyer, R.B. Structural Problems in Liquid Crystal Physics. In Molecular Fluids; Les Houches Summer School in Theoretical Physics; Gordon and Breach: New York, NY, USA, 1976. [Google Scholar]
- Vanakaras, A.G.; Photinos, D.J. A Molecular Theory of Nematic–Nematic Phase Transitions in Mesogenic Dimers. Soft Matter 2016, 12, 2208–2220. [Google Scholar] [CrossRef] [PubMed]
- Vanakaras, A.G.; Photinos, D.J. Molecular Dynamics Simulations of Nematic Phases Formed by Cyano-Biphenyl Dimers. Liq. Cryst. 2018, 45, 2184–2196. [Google Scholar] [CrossRef]
- Chiappini, M.; Dijkstra, M. A Generalized Density-Modulated Twist-Splay-Bend Phase of Banana-Shaped Particles. Nat. Commun. 2021, 12, 2157. [Google Scholar] [CrossRef] [PubMed]
- Chiappini, M.; Drwenski, T.; van Roij, R.; Dijkstra, M. Biaxial, Twist-Bend, and Splay-Bend Nematic Phases of Banana-Shaped Particles Revealed by Lifting the “Smectic Blanket’’. Phys. Rev. Lett. 2019, 123, 068001. [Google Scholar] [CrossRef]
- Greco, C.; Ferrarini, A. Entropy-Driven Chiral Order in a System of Achiral Bent Particles. Phys. Rev. Lett. 2015, 115, 147801. [Google Scholar] [CrossRef]
- de Gennes, P.G.; Prost, J. The Physics of Liquid Crystals; Clarendon Press: Oxford, UK, 1995; ISBN 978-0-19-851785-6. [Google Scholar]
- Oswald, P.; Pieranski, P. Nematic and Cholesteric Liquid Crystals: Concepts and Physical Properties Illustrated by Experiments; CRC Press: Boca Raton, FL, USA, 2005; ISBN 978-0-415-32140-2. [Google Scholar]
- Mandle, R.J.; Goodby, J.W. Does Topology Dictate the Incidence of the Twist-Bend Phase? Insights Gained from Novel Unsymmetrical Bimesogens. Chem. Eur. J. 2016, 22, 18456–18464. [Google Scholar] [CrossRef]
- Oseen, C.W. The Theory of Liquid Crystals. Trans. Faraday Soc. 1933, 29, 883–899. [Google Scholar] [CrossRef]
- Zocher, H. The Effect of a Magnetic Field on the Nematic State. Trans. Faraday Soc. 1933, 29, 945–957. [Google Scholar] [CrossRef]
- Cauchy, A.-L. Oeuvres Complètes: Series 1, 1st ed.; Cambridge University Press: Cambridge, UK, 2009; ISBN 978-1-108-00266-0. [Google Scholar]
- Frank, F.C.I. Liquid Crystals. On the Theory of Liquid Crystals. Discuss. Faraday Soc. 1958, 25, 19–28. [Google Scholar] [CrossRef]
- Rondelez, F.; Hulin, J.P. Distorsions of a Planar Cholesteric Structure Induced by a Magnetic Field. Solid State Commun. 1972, 10, 1009–1012. [Google Scholar] [CrossRef]
- Barbero, G.; Evangelista, L.R.; Rosseto, M.P.; Zola, R.S.; Lelidis, I. Elastic Continuum Theory: Towards Understanding of the Twist-Bend Nematic Phases. Phys. Rev. E 2015, 92, 030501. [Google Scholar] [CrossRef] [PubMed]
- Dozov, I. On the Spontaneous Symmetry Breaking in the Mesophases of Achiral Banana-Shaped Molecules. EPL Europhys. Lett. 2001, 56, 247–253. [Google Scholar] [CrossRef]
- Chaturvedi, N.; Kamien, R.D. Mechanisms to Splay-Bend Nematic Phases. Phys. Rev. E 2019, 100, 022704. [Google Scholar] [CrossRef] [PubMed]
- Oswald, P.; Pieranski, P. Smectic and Columnar Liquid Crystals: Concepts and Physical Properties Illustrated by Experiments; CRC Press: Boca Raton, FL, USA, 2005; ISBN 978-0-8493-9840-7. [Google Scholar]
- Takezoe, H.; Gorecka, E.; Čepič, M. Antiferroelectric Liquid Crystals: Interplay of Simplicity and Complexity. Rev. Mod. Phys. 2010, 82, 897–937. [Google Scholar] [CrossRef]
- Vanakaras, A.G.; Photinos, D.J.; Samulski, E.T. Tilt, Polarity, and Spontaneous Symmetry Breaking in Liquid Crystals. Phys. Rev. E 1998, 57, R4875–R4878. [Google Scholar] [CrossRef]
- Škarabot, M.; Čepič, M.; Žekš, B.; Blinc, R.; Heppke, G.; Kityk, A.V.; Muševič, I. Birefringence and Tilt Angle in the Antiferroelectric, Ferroelectric, and Intermediate Phases of Chiral Smectic Liquid Crystals. Phys. Rev. E 1998, 58, 575–584. [Google Scholar] [CrossRef]
- Cestari, M.; Diez-Berart, S.; Dunmur, D.A.; Ferrarini, A.; de la Fuente, M.R.; Jackson, D.J.B.; Lopez, D.O.; Luckhurst, G.R.; Perez-Jubindo, M.A.; Richardson, R.M.; et al. Phase Behavior and Properties of the Liquid-Crystal Dimer 1′′,7′′-Bis(4-Cyanobiphenyl-4′-Yl) Heptane: A Twist-Bend Nematic Liquid Crystal. Phys. Rev. E 2011, 84, 031704. [Google Scholar] [CrossRef] [PubMed]
- Chen, D.; Porada, J.H.; Hooper, J.B.; Klittnick, A.; Shen, Y.; Tuchband, M.R.; Korblova, E.; Bedrov, D.; Walba, D.M.; Glaser, M.A.; et al. Chiral Heliconical Ground State of Nanoscale Pitch in a Nematic Liquid Crystal of Achiral Molecular Dimers. Proc. Natl. Acad. Sci. USA 2013, 110, 15931–15936. [Google Scholar] [CrossRef]
- Kumar, A.; Vanakaras, A.G.; Photinos, D.J. Polar Molecular Ordering in the NX Phase of Bimesogens and Enantiotopic Discrimination in the NMR Spectra of Rigid Prochiral Solutes. J. Phys. Chem. B 2017, 121, 10689–10703. [Google Scholar] [CrossRef] [PubMed]
- Heist, L.M.; Samulski, E.T.; Welch, C.; Ahmed, Z.; Mehl, G.H.; Vanakaras, A.G.; Photinos, D.J. Probing Molecular Ordering in the Nematic Phases of Para-Linked Bimesogen Dimers through NMR Studies of Flexible Prochiral Solutes. Liq. Cryst. 2020, 47, 2058–2073. [Google Scholar] [CrossRef]
- Wilson, M.R. Molecular Dynamics Simulations of Flexible Liquid Crystal Molecules Using a Gay-Berne/Lennard-Jones Model. J. Chem. Phys. 1997, 107, 8654–8663. [Google Scholar] [CrossRef]
- Samulski, E.T.; Vanakaras, A.G.; Photinos, D.J. “Setting Things Straight” by Twisting and Bending? arXiv 2020, arXiv:2009.11399. [Google Scholar]
- Dozov, I.; Luckhurst, G.R. Setting Things Straight in ‘The Twist-Bend Nematic: A Case of Mistaken Identity. ’ Liq. Cryst. 2020, 47, 2098–2115. [Google Scholar] [CrossRef]
- Toriumi, H. Hiro Toriumi Reported a Nematic-Nematic (N–Nx) phase transition in odd-n dimers of the NCB-n-BCN series wherein he speculated that the NX phase was biaxial. Liq. Cryst. 1991. submitted. [Google Scholar]
- Zhu, C.; Tuchband, M.R.; Young, A.; Shuai, M.; Scarbrough, A.; Walba, D.M.; Maclennan, J.E.; Wang, C.; Hexemer, A.; Clark, N.A. Resonant Carbon $K$-Edge Soft X-Ray Scattering from Lattice-Free Heliconical Molecular Ordering: Soft Dilative Elasticity of the Twist-Bend Liquid Crystal Phase. Phys. Rev. Lett. 2016, 116, 147803. [Google Scholar] [CrossRef] [PubMed]
- Stevenson, W.D.; Ahmed, Z.; Zeng, X.B.; Welch, C.; Ungar, G.; Mehl, G.H. Molecular Organization in the Twist–Bend Nematic Phase by Resonant X-Ray Scattering at the Se K-Edge and by SAXS, WAXS and GIXRD. Phys. Chem. Chem. Phys. 2017, 19, 13449–13454. [Google Scholar] [CrossRef]
- Salamończyk, M.; Vaupotič, N.; Pociecha, D.; Wang, C.; Zhu, C.; Gorecka, E. Structure of Nanoscale-Pitch Helical Phases: Blue Phase and Twist-Bend Nematic Phase Resolved by Resonant Soft X-ray Scattering. Soft Matter 2017, 13, 6694–6699. [Google Scholar] [CrossRef] [PubMed]
- Merkel, K.; Kocot, A.; Welch, C.; Mehl, G.H. Soft Modes of the Dielectric Response in the Twist–Bend Nematic Phase and Identification of the Transition to a Nematic Splay Bend Phase in the CBC7CB Dimer. Phys. Chem. Chem. Phys. 2019, 21, 22839–22848. [Google Scholar] [CrossRef] [PubMed]







| General Aspects | Attributes | NTB | NPT | 
|---|---|---|---|
| Local Symmetry | Symmetry Group | D∞h | C2 | 
| Symmetry Axis | |||
| Spatial Modulation (one dimensional) | Type | Twist Bend of n | Roto-translation of m | 
| Length Scale | Macroscopic LTB~μm | Molecular LPT~10 nm | |
| Physical Origin | Spontaneous Elastic Deformations of n | Polar Molecular Packing along m | 
| Publisher’s Note: MDPI stays neutral with regard to jurisdictional claims in published maps and institutional affiliations. | 
© 2021 by the authors. Licensee MDPI, Basel, Switzerland. This article is an open access article distributed under the terms and conditions of the Creative Commons Attribution (CC BY) license (https://creativecommons.org/licenses/by/4.0/).
Share and Cite
Samulski, E.T.; Reyes-Arango, D.; Vanakaras, A.G.; Photinos, D.J. All Structures Great and Small: Nanoscale Modulations in Nematic Liquid Crystals. Nanomaterials 2022, 12, 93. https://doi.org/10.3390/nano12010093
Samulski ET, Reyes-Arango D, Vanakaras AG, Photinos DJ. All Structures Great and Small: Nanoscale Modulations in Nematic Liquid Crystals. Nanomaterials. 2022; 12(1):93. https://doi.org/10.3390/nano12010093
Chicago/Turabian StyleSamulski, Edward T., Denisse Reyes-Arango, Alexandros G. Vanakaras, and Demetri J. Photinos. 2022. "All Structures Great and Small: Nanoscale Modulations in Nematic Liquid Crystals" Nanomaterials 12, no. 1: 93. https://doi.org/10.3390/nano12010093
APA StyleSamulski, E. T., Reyes-Arango, D., Vanakaras, A. G., & Photinos, D. J. (2022). All Structures Great and Small: Nanoscale Modulations in Nematic Liquid Crystals. Nanomaterials, 12(1), 93. https://doi.org/10.3390/nano12010093
 
         
                                                


 
       