Effects of an External Magnetic Field on the Interband and Intraband Optical Properties of an Asymmetric Biconvex Lens-Shaped Quantum Dot
Abstract
:1. Introduction
2. Theoretical Model
3. Energy Spectra and Wave Functions
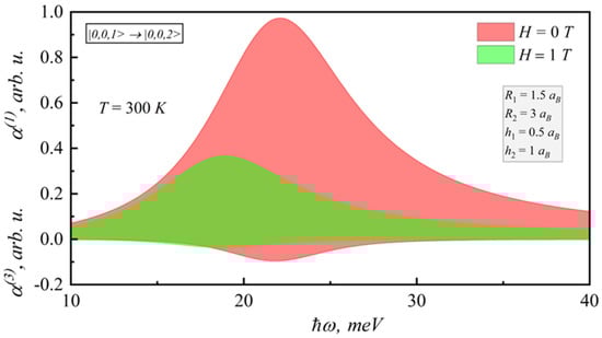
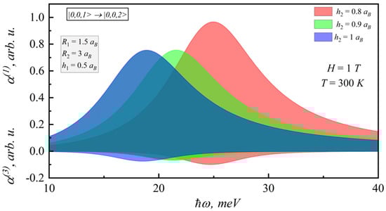
4. Results
5. Conclusions
Author Contributions
Funding
Informed Consent Statement
Data Availability Statement
Conflicts of Interest
References
- Lee, J.; Leong, V.; Kalashnikov, D.; Dai, J.; Gandhi, A.; Krivitsky, L.A. Integrated single photon emitters. AVS Quantum Sci. 2020, 2, 031701. [Google Scholar] [CrossRef]
- Li, L.; Wang, W.; Luk, T.S.; Yang, X.; Gao, J. Enhanced quantum dot spontaneous emission with multilayer metamaterial nanostructures. ACS Photonics 2017, 4, 501–508. [Google Scholar] [CrossRef]
- Cai, Y.Y.; Collins, S.S.; Gallagher, M.J.; Bhattacharjee, U.; Zhang, R.; Chow, T.H.; Ahmadivand, A.; Ostovar, B.; Al-Zubeidi, A.; Wang, J.; et al. Single-particle emission spectroscopy resolves d-hole relaxation in copper nanocubes. ACS Energy Lett. 2019, 4, 2458–2465. [Google Scholar] [CrossRef]
- Ostovar, B.; Cai, Y.Y.; Tauzin, L.J.; Lee, S.A.; Ahmadivand, A.; Zhang, R.; Nordlander, P.; Link, S. Increased intraband transitions in smaller gold nanorods enhance light emission. ACS Nano 2020, 14, 15757–15765. [Google Scholar] [CrossRef] [PubMed]
- Sarkisyan, H.A.; Hayrapetyan, D.B.; Petrosyan, L.S.; Kazaryan, E.M.; Sofronov, A.N.; Balagula, R.M.; Firsov, D.A.; Vorobjev, L.E.; Tonkikh, A.A. Realization of the Kohn’s theorem in Ge/Si quantum dots with hole gas: Theory and experiment. Nanomaterials 2019, 9, 56. [Google Scholar] [CrossRef] [Green Version]
- Sofronov, A.N.; Balagula, R.M.; Firsov, D.A.; Vorobjev, L.E.; Tonkikh, A.A.; Sarkisyan, H.A.; Hayrapetyan, D.B.; Petrosyan, L.S.; Kazaryan, E.M. Absorption of Far-Infrared Radiation in Ge/Si Quantum Dots. Semiconductors 2018, 52, 59–63. [Google Scholar] [CrossRef]
- Hayrapetyan, D.B.; Kazaryan, E.M.; Mkrtchyan, M.A.; Sarkisyan, H.A. Long-wave Absorption of Few-Hole Gas in Prolate Ellipsoidal Ge/Si Quantum Dot: Implementation of Analytically Solvable Moshinsky Model. Nanomaterials 2020, 10, 1896. [Google Scholar] [CrossRef]
- Vahdani, M.R.K.; Rezaei, G. Linear and nonlinear optical properties of a hydrogenic donor in lens-shaped quantum dots. Phys. Lett. A 2009, 373, 3079–3084. [Google Scholar] [CrossRef]
- Aderras, L.; Bah, A.; Feddi, E.; Dujardin, F.; Duque, C.A. Stark-shift of impurity fundamental state in a lens shaped quantum dot. Phys. E Low-Dimens. Syst. Nanostructures 2017, 89, 119–123. [Google Scholar] [CrossRef]
- Khordad, R.; Bahramiyan, H. Electronic and optical properties of a lens shaped quantum dot under magnetic field: Second and third-harmonic generation. Commun. Theor. Phys. 2014, 62, 283. [Google Scholar] [CrossRef]
- Barati, M.; Vahdani, M.R.K.; Rezaei, G. Lower-lying states of hydrogenic impurity in lens-shaped and semi-lens-shaped quantum dots. J. Phys. Condens. Matter 2007, 19, 136208. [Google Scholar] [CrossRef]
- Rodríguez, A.H.; Ramírez, H.Y. Analytical calculation of eigen-energies for lens-shaped quantum dot with finite barriers. Eur. Phys. J. B 2008, 66, 235–238. [Google Scholar] [CrossRef] [Green Version]
- Voon, L.L.Y.; Willatzen, M. Confined states in lens-shaped quantum dots. J. Phys. Condens. Matter 2002, 14, 13667. [Google Scholar] [CrossRef]
- Khordad, R.; Bahramiyan, H.; Mohammadi, S.A. Influence of impurity on binding energy and optical properties of lens shaped quantum dots: Finite element method and Arnoldi algorithm. Chin. J. Phys. 2016, 54, 20–32. [Google Scholar] [CrossRef]
- Makhlouf, D.; Choubani, M.; Saidi, F.; Maaref, H. Enhancement of transition lifetime, linear and nonlinear optical properties in laterally coupled lens-shaped quantum dots for Tera-Hertz range. Phys. E: Low-Dimens. Syst. Nanostructures 2018, 103, 87–92. [Google Scholar] [CrossRef]
- Zamani, A.; Azargoshasb, T.; Niknam, E.; Mohammadhosseini, E. Absorption coefficient and refractive index changes of a lens-shaped quantum dot: Rashba and Dresselhaus spin–orbit interactions under external fields. Optik 2017, 142, 273–281. [Google Scholar] [CrossRef]
- Jbara, A.S.; Othaman, Z.; Saeed, M.A. Effect of size and indium-composition on linear and nonlinear optical absorption of InGaN/GaN lens-shaped quantum dot. Chin. Phys. B 2016, 25, 057801. [Google Scholar] [CrossRef]
- Choubani, M.; Maaref, H.; Saidi, F. Nonlinear optical properties of lens-shaped core/shell quantum dots coupled with a wetting layer: Effects of transverse electric field, pressure, and temperature. J. Phys. Chem. Solids 2020, 138, 109226. [Google Scholar] [CrossRef]
- Choubani, M.; Makhlouf, D.; Saidi, F.; Maaref, H. Enhancement of the second harmonic generation in a coupled lens-shaped quantum dots under wetting layer, temperature, pressure, and electric field effects. Opt. Quantum Electron. 2020, 52, 1–15. [Google Scholar] [CrossRef]
- Even, J.; Loualiche, S. New analytical calculations of the resonance modes in lens-shaped cavities: Applications to the calculations of the energy levels and electronic wavefunctions in quantum dots. J. Phys. A Math. Gen. 2020, 36, 11677. [Google Scholar] [CrossRef]
- Gong, M.; Zhang, W.; Can Guo, G.; He, L. Atomistic pseudopotential theory of optical properties of exciton complexes in InAs/InP quantum dots. Appl. Phys. Lett. 2011, 99, 231106. [Google Scholar] [CrossRef] [Green Version]
- Herrera, J.R.; Gutierrez, W.; Miranda, D.A. Electronic properties of Hg1-xCdxSe lens-shaped quantum dots under external fields. J. Phys. Conf. Ser. 2016, 689, 012025. [Google Scholar] [CrossRef]
- Livache, C.; Goubet, N.; Gréboval, C.; Martinez, B.; Ramade, J.; Qu, J.; Triboulin, A.; Cruguel, H.; Baptiste, B.; Klotz, S.; et al. Effect of Pressure on Interband and Intraband Transition of Mercury Chalcogenide Quantum Dots. J. Phys. Chem. C 2019, 123, 13122–13130. [Google Scholar] [CrossRef]
- Khachatryan, K.S.; Mkrtchyan, M.A.; Hayrapetyan, D.B.; Kazaryan, E.M.; Sarkisyan, H.A. Adiabatic description of the electroabsorption in strongly prolate and oblate conical quantum dots. Phys. E Low-Dimens. Syst. Nanostructures 2021, 134, 114887. [Google Scholar] [CrossRef]
- Karabulut, I.; Mora-Ramos, M.E.; Duque, C.A. Nonlinear optical rectification and optical absorption in GaAs–Ga1–xAlxAs asymmetric double quantum wells: Combined effects of applied electric and magnetic fields and hydrostatic pressure. J. Lumin. 2011, 131, 1502–1509. [Google Scholar] [CrossRef]
- Şakiroğlu, S.; Ungan, F.; Yesilgul, U.; Mora-Ramos, M.E.; Duque, C.A.; Kasapoglu, E.; Sari, H.; Sökmen, I. Nonlinear optical rectification and the second and third harmonic generation in Pöschl–Teller quantum well under the intense laser field. Phys. Lett. A 2012, 376, 1875–1880. [Google Scholar] [CrossRef]
- Baskoutas, S.; Paspalakis, E.; Terzis, A.F. Electronic structure and nonlinear optical rectification in a quantum dot: Effects of impurities and external electric field. J. Phys. Condens. Matter 2007, 19, 395024. [Google Scholar] [CrossRef]
- Baskoutas, S.; Paspalakis, E.; Terzis, A.F. Effects of excitons in nonlinear optical rectification in semiparabolic quantum dots. Phys. Rev. B 2006, 74, 153306. [Google Scholar] [CrossRef]
- Li, X.; Yan, L.; Si, J.; Pan, A.; Xu, Y.; Hou, X. Tunable nonlinear absorption effect and carrier dynamics of perovskite quantum dots. Opt. Mater. Express 2021, 11, 569–574. [Google Scholar] [CrossRef]
- Zvyagin, A.I.; Smirnov, M.S.; Ovchinnikov, O.V. Enhancement of nonlinear optical response of methylene blue and azure a during association with colloidal CdS quantum dots. Optik 2020, 218, 165122. [Google Scholar] [CrossRef]
- Zeiri, N.; Naifar, A.; Nasrallah, S.A.B.; Said, M. Third nonlinear optical susceptibility of CdS/ZnS core-shell spherical quantum dots for optoelectronic devices. Optik 2019, 176, 162–167. [Google Scholar] [CrossRef]
- El-Haouari, M.; Talbi, A.; Feddi, E.; El-Ghazi, H.; Oukerroum, A.; Dujardin, F. Linear and nonlinear optical properties of a single dopant in strained AlAs/GaAs spherical core/shell quantum dots. Opt. Commun. 2017, 383, 231–237. [Google Scholar] [CrossRef]
- Ghaltaghchyan, H.T.; Hayrapetyan, D.B.; Kazaryan, E.M.; Sarkisyan, H.A. Few-body absorption in prolate ellipsoidal quantum dot. J. Phys. Conf. Ser. 2016, 673, 012012. [Google Scholar] [CrossRef]
- Petrosyan, L.S. Electron states in a biconvex thin quantum lens in the presence of an external homogeneous magnetic field. J. Contemp. Phys. 2005, 40, 28. [Google Scholar]
- Li, S.S.; Xia, J.B.; Yuan, Z.L.; Xu, Z.Y.; Ge, W.; Wang, X.R.; Wang, Y.; Wang, J.; Chang, L.L. Effective-mass theory for InAs/GaAs strained coupled quantum dots. Phys. Rev. B 1996, 54, 11575. [Google Scholar] [CrossRef] [PubMed] [Green Version]
- Bouarissa, N. Effective masses of electrons, heavy holes and positrons in quasibinary (GaSb) 1 − x (InAs) x crystals. J. Phys. Chem. Solids 2006, 67, 1440–1443. [Google Scholar] [CrossRef]
- Fang, Z.M.; Ma, K.Y.; Jaw, D.H.; Cohen, R.M.; Stringfellow, G.B. Photoluminescence of InSb, InAs, and InAsSb grown by organometallic vapor phase epitaxy. J. Appl. Phys. 1990, 67, 7034–7039. [Google Scholar] [CrossRef]
- Efros, A.L.; Efros, A.L. Interband absorption of light in a semiconductor sphere. Sov. Phys. Semicond 1982, 16, 772–775. [Google Scholar]
- Ikeda, K.; Minami, F.; Koguchi, N. Thermal broadening of the exciton line in III–V semiconductor quantum dots. Phys. Status. Solidi. 2004, 1, 573–576. [Google Scholar] [CrossRef]
- Van Roosbroeck, W.; Shockley, W. Photon-radiative recombination of electrons and holes in germanium. Phys. Rev. 1954, 94, 1558. [Google Scholar] [CrossRef]
- Bhattacharya, R.; Pal, B.; Bansal, B. On conversion of luminescence into absorption and the van Roosbroeck-Shockley relation. Appl. Phys. Lett. 2012, 100, 222103. [Google Scholar] [CrossRef] [Green Version]
- Karabulut, İ.; Baskoutas, S. Linear and nonlinear optical absorption coefficients and refractive index changes in spherical quantum dots: Effects of impurities, electric field, size, and optical intensity. J. Appl. Phys. 2008, 103, 073512. [Google Scholar] [CrossRef]
- Sargsian, T.A.; Mkrtchyan, M.A.; Sarkisyan, H.A.; Hayrapetyan, D.B. Effects of external electric and magnetic fields on the linear and nonlinear optical properties of InAs cylindrical quantum dot with modified Pöschl-Teller and Morse confinement potentials. Phys. E Low-Dimens. Syst. Nanostructures 2021, 126, 114440. [Google Scholar] [CrossRef]
- Karabulut, I.; Safak, H.; Tomak, M. Excitonic effects on the nonlinear optical properties of small quantum dots. J. Phys. Appl. Phys. 2008, 41, 155104. [Google Scholar] [CrossRef]
- Ungan, M.K.F.; Bahar, S.; Pal, M.E. Mora-Ramos, Electron-related nonlinear optical properties of cylindrical quantum dot with the Rosen–Morse axial potential. Commun. Theor. Phys. 2020, 72, 075505. [Google Scholar]












Publisher’s Note: MDPI stays neutral with regard to jurisdictional claims in published maps and institutional affiliations. |
© 2021 by the authors. Licensee MDPI, Basel, Switzerland. This article is an open access article distributed under the terms and conditions of the Creative Commons Attribution (CC BY) license (https://creativecommons.org/licenses/by/4.0/).
Share and Cite
Mkrtchyan, M.A.; Hayrapetyan, D.B.; Kazaryan, E.M.; Sarkisyan, H.A.; Vinnichenko, M.Y.; Shalygin, V.A.; Firsov, D.A.; Petrosyan, L.S. Effects of an External Magnetic Field on the Interband and Intraband Optical Properties of an Asymmetric Biconvex Lens-Shaped Quantum Dot. Nanomaterials 2022, 12, 60. https://doi.org/10.3390/nano12010060
Mkrtchyan MA, Hayrapetyan DB, Kazaryan EM, Sarkisyan HA, Vinnichenko MY, Shalygin VA, Firsov DA, Petrosyan LS. Effects of an External Magnetic Field on the Interband and Intraband Optical Properties of an Asymmetric Biconvex Lens-Shaped Quantum Dot. Nanomaterials. 2022; 12(1):60. https://doi.org/10.3390/nano12010060
Chicago/Turabian StyleMkrtchyan, Mher A., David B. Hayrapetyan, Eduard M. Kazaryan, Hayk A. Sarkisyan, Maxim Ya. Vinnichenko, Vadim A. Shalygin, Dmitry A. Firsov, and Lyudvig S. Petrosyan. 2022. "Effects of an External Magnetic Field on the Interband and Intraband Optical Properties of an Asymmetric Biconvex Lens-Shaped Quantum Dot" Nanomaterials 12, no. 1: 60. https://doi.org/10.3390/nano12010060
APA StyleMkrtchyan, M. A., Hayrapetyan, D. B., Kazaryan, E. M., Sarkisyan, H. A., Vinnichenko, M. Y., Shalygin, V. A., Firsov, D. A., & Petrosyan, L. S. (2022). Effects of an External Magnetic Field on the Interband and Intraband Optical Properties of an Asymmetric Biconvex Lens-Shaped Quantum Dot. Nanomaterials, 12(1), 60. https://doi.org/10.3390/nano12010060

