Effect of Electrolytic Medium on the Electrochemical Reduction of Graphene Oxide on Si(111) as Probed by XPS
Abstract
1. Introduction
2. Materials and Methods
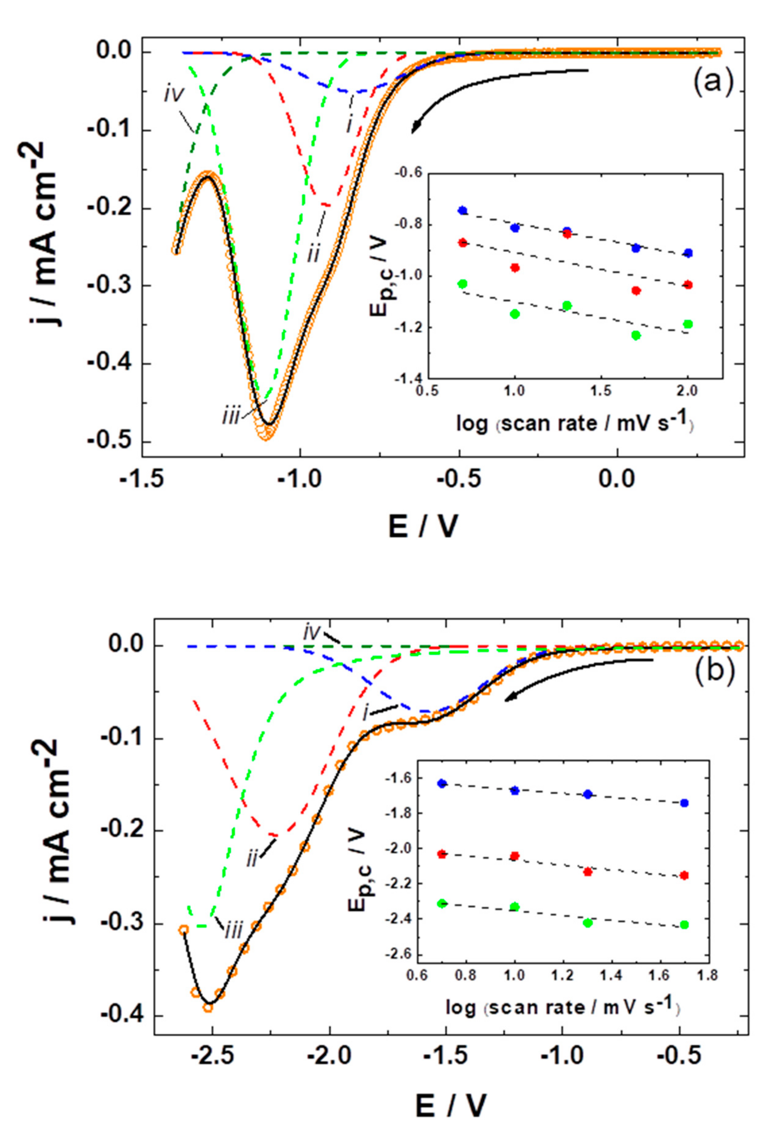
3. Results and Discussion
3.1. XPS Characterization
3.2. Raman Spectroscopy Characterization
4. Conclusions
Supplementary Materials
Author Contributions
Funding
Institutional Review Board Statement
Informed Consent Statement
Data Availability Statement
Acknowledgments
Conflicts of Interest
References
- Wick, P.; Louw-Gaume, A.E.; Kucki, M.; Krug, H.F.; Kostarelos, K.; Fadeel, B.; Dawson, K.A.; Salvati, A.; Vázquez, E.; Ballerini, L.; et al. Classification framework for graphene-based materials. Angew. Chemie-Int. Ed. 2014, 53, 7714–7718. [Google Scholar] [CrossRef]
- Zhao, H.; Ding, R.; Zhao, X.; Li, Y.; Qu, L.; Pei, H.; Yildirimer, L.; Wu, Z.; Zhang, W. Graphene-based nanomaterials for drug and/or gene delivery, bioimaging, and tissue engineering. Drug Discov. Today 2017, 22, 1302–1317. [Google Scholar] [CrossRef] [PubMed]
- Yao, J.; Wang, H.; Chen, M.; Yang, M. Recent advances in graphene-based nanomaterials: Properties, toxicity and applications in chemistry, biology and medicine. Microchim. Acta 2019, 186. [Google Scholar] [CrossRef]
- Novoselov, K.S.; Fal’Ko, V.I.; Colombo, L.; Gellert, P.R.; Schwab, M.G.; Kim, K. A roadmap for graphene. Nature 2012, 490, 192–200. [Google Scholar] [CrossRef]
- Agarwal, V.; Zetterlund, P.B. Strategies for reduction of graphene oxide—A comprehensive review. Chem. Eng. J. 2021, 405, 127018. [Google Scholar] [CrossRef]
- Bhattacharjee, S.; Joshi, R.; Chughtai, A.A.; Macintyre, C.R. Graphene Modified Multifunctional Personal Protective Clothing. Adv. Mater. Interfaces 2019, 6, 1900622. [Google Scholar] [CrossRef]
- Jastrzębska, A.M.; Kurtycz, P.; Olszyna, A.R. Recent advances in graphene family materials toxicity investigations. J. Nanoparticle Res. 2012, 14, 1320. [Google Scholar] [CrossRef]
- Liu, S.; Kang, L.; Chan Jun, S.; Liu, S.; Jun, S.C.; Kang, L. Challenges and Strategies toward Cathode Materials for Rechargeable Potassium-Ion Batteries. Adv. Mater. 2021, 33, 2004689. [Google Scholar] [CrossRef] [PubMed]
- Wu, J.; Jia, L.; Zhang, Y.; Qu, Y.; Jia, B.; Moss, D.J. Graphene Oxide for Integrated Photonics and Flat Optics. Adv. Mater. 2021, 33, 2006415. [Google Scholar] [CrossRef] [PubMed]
- Taniguchi, T.; Wong, K.C.; Nurdiwijayanto, L.; Hatakeyama, K.; Awaya, K.; Ida, S.; Koinuma, M.; Ueda, S.; Osada, M.; Yokoi, H. Reversible hydrogenation and irreversible epoxidation induced by graphene oxide electrolysis. Carbon 2021, 177, 26–34. [Google Scholar] [CrossRef]
- Kornilov, D.Y.; Gubin, S.P. Graphene Oxide: Structure, Properties, Synthesis, and Reduction (A Review). Russ. J. Inorg. Chem. 2020, 65, 1965–1976. [Google Scholar] [CrossRef]
- Chien, C.T.; Li, S.S.; Lai, W.J.; Yeh, Y.C.; Chen, H.A.; Chen, I.S.; Chen, L.C.; Chen, K.H.; Nemoto, T.; Isoda, S.; et al. Tunable photoluminescence from graphene oxide. Angew. Chemie-Int. Ed. 2012, 51, 6662–6666. [Google Scholar] [CrossRef]
- Xiao, N.; Wang, L.; Wang, H.; Wang, S.; Zhu, T. Electron-withdrawing/donating groups (EWG/EDG) modified graphene oxide-oxidized-multiwalled carbon nanotubes and these performances in electrochemistry and adsorption. J. Electroanal. Chem. 2021, 895, 115450. [Google Scholar] [CrossRef]
- Aliyev, E.; Filiz, V.; Khan, M.M.; Lee, Y.J.; Abetz, C.; Abetz, V. Structural characterization of graphene oxide: Surface functional groups and fractionated oxidative debris. Nanomaterials 2019, 9, 1180. [Google Scholar] [CrossRef]
- Pfaffeneder-Kmen, M.; Casas, I.F.; Naghilou, A.; Trettenhahn, G.; Kautek, W. A Multivariate Curve Resolution evaluation of an in-situ ATR-FTIR spectroscopy investigation of the electrochemical reduction of graphene oxide. Electrochim. Acta 2017, 255, 160–167. [Google Scholar] [CrossRef]
- Bennett, J.A.; Agbere, I.B.; Moesta, M. Complete Coating of Underlying Pt Electrodes by Electrochemical Reduction of Graphene Oxide. Electrochim. Acta 2016, 188, 111–119. [Google Scholar] [CrossRef][Green Version]
- Pei, S.; Cheng, H.-M. The reduction of graphene oxide. Carbon 2012, 50, 3210–3228. [Google Scholar] [CrossRef]
- Quezada-Renteria, J.A.; Ania, C.O.; Chazaro-Ruiz, L.F.; Rangel-Mendez, J.R. Influence of protons on reduction degree and defect formation in electrochemically reduced graphene oxide. Carbon 2019, 149, 722–732. [Google Scholar] [CrossRef]
- Quezada Renteria, J.A.; Ruiz-Garcia, C.; Sauvage, T.; Chazaro-Ruiz, L.F.; Rangel-Mendez, J.R.; Ania, C.O. Photochemical and electrochemical reduction of graphene oxide thin films: Tuning the nature of surface defects. Phys. Chem. Chem. Phys. 2020, 22, 20732–20743. [Google Scholar] [CrossRef]
- Yap, P.L.; Kabiri, S.; Auyoong, Y.L.; Tran, D.N.H.; Losic, D. Tuning the Multifunctional Surface Chemistry of Reduced Graphene Oxide via Combined Elemental Doping and Chemical Modifications. ACS Omega 2019, 4, 19787–19798. [Google Scholar] [CrossRef] [PubMed]
- Della Noce, R.; Eugénio, S.; Siwek, K.I.; Silva, T.M.; Carmezim, M.J.; Sakita, A.M.P.; Lavall, R.L.; Montemor, M.F. Direct electrodeposition of hydrogenated reduced graphene oxide from unsonicated solution and its electrochemical response. Diam. Relat. Mater. 2020, 104, 107740. [Google Scholar] [CrossRef]
- Dada, O.J.; Villaroman, D. Superior Electronic and Dielectric Properties of Corrugated Electrochemically Reduced Graphene over Graphene Oxide Papers. J. Electrochem. Soc. 2019, 166, D21–D36. [Google Scholar] [CrossRef]
- Biswas, A.; Shukla, A.; Maiti, P. Biomaterials for Interfacing Cell Imaging and Drug Delivery: An Overview. Langmuir 2019, 35, 12285–12305. [Google Scholar] [CrossRef]
- Guazzo, R.; Gardin, C.; Bellin, G.; Sbricoli, L.; Ferroni, L.; Ludovichetti, F.S.; Piattelli, A.; Antoniac, I.; Bressan, E.; Zavan, B. Graphene-based nanomaterials for tissue engineering in the dental field. Nanomaterials 2018, 8, 349. [Google Scholar] [CrossRef]
- Qi, X.; Jiang, F.; Zhou, M.; Zhang, W.; Jiang, X. Graphene oxide as a promising material in dentistry and tissue regeneration: A review. Smart Mater. Med. 2021, 2, 280–291. [Google Scholar] [CrossRef]
- Alemi, F.; Zarezadeh, R.; Sadigh, A.R.; Hamishehkar, H.; Rahimi, M.; Majidinia, M.; Asemi, Z.; Ebrahimi-Kalan, A.; Yousefi, B.; Rashtchizadeh, N. Graphene oxide and reduced graphene oxide: Efficient cargo platforms for cancer theranostics. J. Drug Deliv. Sci. Technol. 2020, 60, 101974. [Google Scholar] [CrossRef]
- Singh, A.; Sharma, N.; Arif, M.; Katiyar, R.S. Electrically reduced graphene oxide for photovoltaic application. J. Mater. Res. 2019, 34, 652–660. [Google Scholar] [CrossRef]
- Liu, L.; Ma, Q.; Cao, J.; Gao, Y.; Han, S.; Liang, Y.; Zhang, T.; Song, Y.; Sun, Y. Recent progress of graphene oxide-based multifunctional nanomaterials for cancer treatment. Cancer Nanotechnol. 2021, 12, 18. [Google Scholar] [CrossRef]
- Karačić, D.; Korać, S.; Dobrota, A.S.; Pašti, I.A.; Skorodumova, N.V.; Gutić, S.J. When supporting electrolyte matters—Tuning capacitive response of graphene oxide via electrochemical reduction in alkali and alkaline earth metal chlorides. Electrochim. Acta 2019, 297, 112–117. [Google Scholar] [CrossRef]
- Abid; Sehrawat, P.; Islam, S.S.; Mishra, P.; Ahmad, S. Reduced graphene oxide (rGO) based wideband optical sensor and the role of Temperature, Defect States and Quantum Efficiency. Sci. Rep. 2018, 8, 3537. [Google Scholar] [CrossRef]
- Yan, J.A.; Xian, L.; Chou, M.Y. Structural and electronic properties of oxidized graphene. Phys. Rev. Lett. 2009, 103, 086802. [Google Scholar] [CrossRef] [PubMed]
- Brisebois, P.P.; Siaj, M. Harvesting graphene oxide-years 1859 to 2019: A review of its structure, synthesis, properties and exfoliation. J. Mater. Chem. C 2020, 8, 1517–1547. [Google Scholar] [CrossRef]
- Chua, C.K.; Pumera, M. Regeneration of a conjugated sp2 graphene system through selective defunctionalization of epoxides by using a proven synthetic chemistry mechanism. Chem.—A Eur. J. 2014, 20, 1871–1877. [Google Scholar] [CrossRef]
- Yin, J.; Liu, L.; Zang, Y.; Ying, A.; Hui, W.; Jiang, S.; Zhang, C.; Yang, T.; Chueh, Y.L.; Li, J.; et al. Engineered tunneling layer with enhanced impact ionization for detection improvement in graphene/silicon heterojunction photodetectors. Light Sci. Appl. 2021, 10, 113. [Google Scholar] [CrossRef] [PubMed]
- Torres, I.; Fernández, S.; Fernández-Vallejo, M.; Arnedo, I.; Gandía, J.J. Graphene-based electrodes for silicon heterojunction solar cell technology. Materials 2021, 14, 4833. [Google Scholar] [CrossRef] [PubMed]
- Wong, H.; Anwar, M.A.; Dong, S. Effects of silicon surface defects on the graphene/silicon Schottky characteristics. Results Phys. 2021, 29, 104744. [Google Scholar] [CrossRef]
- Tu, W.-C.; Shih, Y.-H.; Huang, J.-H.; Chen, Y.-C. Semi-transparent reduced graphene oxide photodetectors for ultra-low power operation. Opt. Express 2021, 29, 14208. [Google Scholar] [CrossRef]
- Palmieri, V.; Dalchiele, E.A.; Perini, G.; Motta, A.; De Spirito, M.; Zanoni, R.; Marrani, A.G.; Papi, M. Biocompatible: N -acetyl cysteine reduces graphene oxide and persists at the surface as a green radical scavenger. Chem. Commun. 2019, 55, 4186–4189. [Google Scholar] [CrossRef]
- Guo, H.; Wang, X.; Qian, Q.; Wang, F.; Xia, X. A Green Approach to the Synthesis of the Synthesis of Graphene Nanosheets. ACS Nano 2009, 3, 2653–2659. [Google Scholar] [CrossRef]
- Marrani, A.G.; Zanoni, R.; Schrebler, R.; Dalchiele, E.A. Toward Graphene/Silicon Interface via Controlled Electrochemical Reduction of Graphene Oxide. J. Phys. Chem. C 2017, 121, 5675–5683. [Google Scholar] [CrossRef]
- Marrani, A.G.; Motta, A.; Schrebler, R.; Zanoni, R.; Dalchiele, E.A. Insights from experiment and theory into the electrochemical reduction mechanism of graphene oxide. Electrochim. Acta 2019, 304, 231–238. [Google Scholar] [CrossRef]
- Akinwande, D.; Huyghebaert, C.; Wang, C.H.; Serna, M.I.; Goossens, S.; Li, L.J.; Wong, H.S.P.; Koppens, F.H.L. Graphene and two-dimensional materials for silicon technology. Nature 2019, 573, 507–518. [Google Scholar] [CrossRef] [PubMed]
- Rahpeima, S.; Dief, E.M.; Ciampi, S.; Raston, C.L.; Darwish, N. Impermeable Graphene Oxide Protects Silicon from Oxidation. ACS Appl. Mater. Interfaces 2021, 13, 38799–38807. [Google Scholar] [CrossRef] [PubMed]
- Rahpeima, S.; Dief, E.M.; Peiris, C.R.; Ferrie, S.; Duan, A.; Ciampi, S.; Raston, C.L.; Darwish, N. Reduced graphene oxide-silicon interface involving direct Si-O bonding as a conductive and mechanical stable ohmic contact. Chem. Commun. 2020, 56, 6209–6212. [Google Scholar] [CrossRef] [PubMed]
- Morales-Masis, M.; De Wolf, S.; Woods-Robinson, R.; Ager, J.W.; Ballif, C. Transparent Electrodes for Efficient Optoelectronics. Adv. Electron. Mater. 2017, 3, 1600529. [Google Scholar] [CrossRef]
- Tobin, J. Transparent Electronics From Synthesis to Applications By Antonio Facchetti. Marks|Technical Books Pdf. Available online: https://www.technicalbookspdf.com/transparent-electronics-from-synthesis-to-applications-by-antonio-facchetti-and-tobin-j-marks/ (accessed on 23 November 2021).
- Marrani, A.G.; Coico, A.C.; Giacco, D.; Zanoni, R.; Motta, A.; Schrebler, R.; Dini, D.; Di Girolamo, D.; Dalchiele, E.A. Flexible Interfaces between Reduced Graphene Oxide and Indium Tin Oxide/Polyethylene Terephthalate for Advanced Optoelectronic Devices. ACS Appl. Nano Mater. 2019, 2, 5963–5972. [Google Scholar] [CrossRef]
- Marrani, A.G.; Coico, A.C.; Giacco, D.; Zanoni, R.; Scaramuzzo, F.A.; Schrebler, R.; Dini, D.; Bonomo, M.; Dalchiele, E.A. Integration of graphene onto silicon through electrochemical reduction of graphene oxide layers in non-aqueous medium. Appl. Surf. Sci. 2018, 445, 404–414. [Google Scholar] [CrossRef]
- Tian, Z.; Yu, P.; Lowe, S.E.; Pandolfo, A.G.; Gengenbach, T.R.; Nairn, K.M.; Song, J.; Wang, X.; Zhong, Y.L.; Li, D. Facile electrochemical approach for the production of graphite oxide with tunable chemistry. Carbon 2017, 112, 185–191. [Google Scholar] [CrossRef]
- Viinikanoja, A.; Wang, Z.; Kauppila, J.; Kvarnström, C. Electrochemical reduction of graphene oxide and its in situ spectroelectrochemical characterization. Phys. Chem. Chem. Phys. 2012, 14, 14003–14009. [Google Scholar] [CrossRef]
- Graphenea Inc. MSDS Graphene Oxide. Available online: http://www.graphenea.com/collections/graphene-oxide/products/graphene-oxide (accessed on 1 December 2021).
- Peng, X.Y.; Liu, X.X.; Diamond, D.; Lau, K.T. Synthesis of electrochemically-reduced graphene oxide film with controllable size and thickness and its use in supercapacitor. Carbon 2011, 49, 3488–3496. [Google Scholar] [CrossRef]
- McAllister, M.J.; Li, J.L.; Adamson, D.H.; Schniepp, H.C.; Abdala, A.A.; Liu, J.; Herrera-Alonso, M.; Milius, D.L.; Car, R.; Prud’homme, R.K.; et al. Single sheet functionalized graphene by oxidation and thermal expansion of graphite. Chem. Mater. 2007, 19, 4396–4404. [Google Scholar] [CrossRef]
- Stankovich, S.; Dikin, D.A.; Piner, R.D.; Kohlhaas, K.A.; Kleinhammes, A.; Jia, Y.; Wu, Y.; Nguyen, S.B.T.; Ruoff, R.S. Synthesis of graphene-based nanosheets via chemical reduction of exfoliated graphite oxide. Carbon 2007, 45, 1558–1565. [Google Scholar] [CrossRef]
- Pimenta, M.A.; Dresselhaus, G.; Dresselhaus, M.S.; Cançado, L.G.; Jorio, A.; Saito, R. Studying disorder in graphite-based systems by Raman spectroscopy. Phys. Chem. Chem. Phys. 2007, 9, 1276–1291. [Google Scholar] [CrossRef] [PubMed]
- Liu, C.; Wang, K.; Luo, S.; Tang, Y.; Chen, L. Direct Electrodeposition of Graphene Enabling the One-Step Synthesis of Graphene–Metal Nanocomposite Films. Small 2011, 7, 1203–1206. [Google Scholar] [CrossRef]
- Zhang, Z.; Yan, J.; Jin, H.; Yin, J. Tuning the reduction extent of electrochemically reduced graphene oxide electrode film to enhance its detection limit for voltammetric analysis. Electrochim. Acta 2014, 139, 232–237. [Google Scholar] [CrossRef]
- Zhang, Y.; Hao, H.; Wang, L. Effect of morphology and defect density on electron transfer of electrochemically reduced graphene oxide. Appl. Surf. Sci. 2016, 390, 385–392. [Google Scholar] [CrossRef]
- Guin, S.K.; Ambolikar, A.S.; Kamat, J.V. Reduced Graphene Oxide: Is it a promising catalyst for the electrochemistry of [UO2(CO3)3]4-/[UO2(CO3)3]5-? Electrochim. Acta 2015, 174, 1002–1008. [Google Scholar] [CrossRef]
- Chng, E.L.K.; Pumera, M. Solid-state electrochemistry of graphene oxides: Absolute quantification of reducible groups using voltammetry. Chem.—An Asian J. 2011, 6, 2899–2901. [Google Scholar] [CrossRef]
- Viinikanoja, A.; Kauppila, J.; Damlin, P.; Suominen, M.; Kvarnström, C. In situ FTIR and Raman spectroelectrochemical characterization of graphene oxide upon electrochemical reduction in organic solvents. Phys. Chem. Chem. Phys. 2015, 17, 12115–12123. [Google Scholar] [CrossRef] [PubMed]
- Shams, M.; Guiney, L.M.; Huang, L.; Ramesh, M.; Yang, X.; Hersam, M.C.; Chowdhury, I. Influence of functional groups on the degradation of graphene oxide nanomaterials. Environ. Sci. Nano 2019, 6, 2203–2214. [Google Scholar] [CrossRef]
- AL-Gahouari, T.; Sayyad, P.; Bodkhe, G.; Ingle, N.; Mahadik, M.; Shirsat, S.; Shirsat, M. Controlling reduction degree of graphene oxide-based electrode for improving the sensing performance toward heavy metal ions. Appl. Phys. A Mater. Sci. Process. 2021, 127, 170. [Google Scholar] [CrossRef]
- Yang, N.; Smirnov, W.; Hees, J.; Hoffmann, R.; Kriele, A.; Obloh, H.; Müller-Sebert, W.; Nebel, C.E. Diamond ultra-microelectrode arrays for achieving maximum Faradaic current with minimum capacitive charging. Phys. Status Solidi Appl. Mater. Sci. 2011, 208, 2087–2092. [Google Scholar] [CrossRef]
- Bard, A.; Faulkner, L. Electrochemical Methods: Fundamentals and Applications; Wiley: Hoboken, NJ, USA, 2001; Volume 6, ISBN 0471043729. [Google Scholar]
- Dalchiele, E.A.; Aurora, A.; Bernardini, G.; Cattaruzza, F.; Flamini, A.; Pallavicini, P.; Zanoni, R.; Decker, F. XPS and electrochemical studies of ferrocene derivatives anchored on n- and p-Si(100) by Si-O or Si-C bonds. J. Electroanal. Chem. 2018, 579, 133–142. [Google Scholar] [CrossRef]
- Hillman, A.R.; Ryder, K.S.; Zaleski, C.J.; Fullarton, C.; Smith, E.L. Ion transfer mechanisms accompanying p-doping of poly(3,4- ethylenedioxythiophene) films in deep eutectic solvents. Zeitschrift für Physikalische Chemie 2012, 226, 1049–1068. [Google Scholar] [CrossRef]
- Rakotondrainibe, A.; Beden, B.; Lamy, C. Investigation of the early stages of Hads and OHads adsorption on rhodium in alkaline medium Part I: Approaches from graphical treatments of cyclic voltammograms based on a langmuirian isotherm. J. Electroanal. Chem. 1994, 379, 455–465. [Google Scholar] [CrossRef]
- Duhirel, Y.; Beden, B.; Léger, J.-M.; Lamy, C. Passivation du cadmium en milieu basique: Etude mecanistique par voltammetrie cyclique. Electrochim. Acta 1992, 37, 665–671. [Google Scholar] [CrossRef]
- Papoutsis, A.; Léger, J.M.; Lamy, C. Study of the kinetics of adsorption and electro-oxidation of MeOH on Pt(100) in an acid medium by programmed potential voltammetry. J. Electroanal. Chem. 1993, 359, 141–160. [Google Scholar] [CrossRef]
- Ambrosi, A.; Pumera, M. Precise tuning of surface composition and electron-transfer properties of graphene oxide films through electroreduction. Chem.—A Eur. J. 2013, 19, 4748–4753. [Google Scholar] [CrossRef]
- Laviron, E. General expression of the linear potential sweep voltammogram in the case of diffusionless electrochemical systems. J. Electroanal. Chem. 1979, 101, 19–28. [Google Scholar] [CrossRef]
- Hanna, C.M.; Sanborn, C.D.; Ardo, S.; Yang, J.Y. Interfacial Electron Transfer of Ferrocene Immobilized onto Indium Tin Oxide through Covalent and Noncovalent Interactions. ACS Appl. Mater. Interfaces 2018, 10, 13211–13217. [Google Scholar] [CrossRef]
- Steentjes, T.; Jonkheijm, P.; Huskens, J. Electron Transfer Processes in Ferrocene-Modified Poly(ethylene glycol) Monolayers on Electrodes. Langmuir 2017, 33, 11878–11883. [Google Scholar] [CrossRef] [PubMed]
- Wu, J.J.; Wang, W.T.; Wang, M.; Liu, H.; Pan, H.C. Electrochemical behavior and direct quantitative determination of tanshinone IIA in micro-emulsion. Int. J. Electrochem. Sci. 2016, 11, 5165–5179. [Google Scholar] [CrossRef]
- Lin, C.Y.; Cheng, C.E.; Wang, S.; Shiu, H.W.; Chang, L.Y.; Chen, C.H.; Lin, T.W.; Chang, C.S.; Chien, F.S. Sen Synchrotron Radiation Soft X-ray Induced Reduction in Graphene Oxide Characterized by Time-Resolved Photoelectron Spectroscopy. J. Phys. Chem. C 2015, 119, 12910–12915. [Google Scholar] [CrossRef]
- Briggs, D.; Seah, M.P. Practical Surface Analysis, 2nd ed.; John Wiley & Sons: Chichester, UK, 1990. [Google Scholar]
- Larciprete, R.; Lacovig, P.; Gardonio, S.; Baraldi, A.; Lizzit, S. Atomic oxygen on graphite: Chemical characterization and thermal reduction. J. Phys. Chem. C 2012, 116, 9900–9908. [Google Scholar] [CrossRef]
- Yu, H.; He, J.; Sun, L.; Tanaka, S.; Fugetsu, B. Influence of the electrochemical reduction process on the performance of graphene-based capacitors. Carbon 2013, 51, 94–101. [Google Scholar] [CrossRef]
- Avraham, H.; Kadosh, Y.; Korin, E.; Bettelheim, A. Charge Capacitance and Hydrogen Storage Capacity of Drop Cast and Electrodeposited Reduced Graphene Oxide Coatings. J. Electrochem. Soc. 2021, 168, 090506. [Google Scholar] [CrossRef]
- Gao, X.; Jang, J.; Nagase, S. Hydrazine and Thermal Reduction of Graphene Oxide: Reaction Mechanisms and Design. J. Phys. Chem. C 2010, 114, 832–842. [Google Scholar] [CrossRef]
- Taft, R.W.; Bordwell, F.G. Structural and Solvent Effects Evaluated from Acidities Measured in Dimethyl Sulfoxide and in the Gas Phase. Acc. Chem. Res. 1988, 21, 463–469. [Google Scholar] [CrossRef]
- Liu, Z.; Jiang, L.; Sheng, L.; Zhou, Q.; Wei, T.; Zhang, B.; Fan, Z. Oxygen Clusters Distributed in Graphene with “Paddy Land” Structure: Ultrahigh Capacitance and Rate Performance for Supercapacitors. Adv. Funct. Mater. 2018, 28, 1705258. [Google Scholar] [CrossRef]
- Dimiev, A.M.; Alemany, L.B.; Tour, J.M. Graphene oxide. Origin of acidity, its instability in water, and a new dynamic structural model. ACS Nano 2013, 7, 576–588. [Google Scholar] [CrossRef]
- Rabchinskii, M.K.; Shnitov, V.V.; Dideikin, A.T.; Aleksenskii, A.E.; Vul, S.P.; Baidakova, M.V.; Pronin, I.I.; Kirilenko, D.A.; Brunkov, P.N.; Weise, J.; et al. Nanoscale Perforation of Graphene Oxide during Photoreduction Process in the Argon Atmosphere. J. Phys. Chem. C 2016, 120, 28261–28269. [Google Scholar] [CrossRef]
- Tu, Y.; Utsunomiya, T.; Kokufu, S.; Soga, M.; Ichii, T.; Sugimura, H. Immobilization of Reduced Graphene Oxide on Hydrogen-Terminated Silicon Substrate as a Transparent Conductive Protector. Langmuir 2017, 33, 10765–10771. [Google Scholar] [CrossRef] [PubMed]
- Tu, Y.; Nakamoto, H.; Ichii, T.; Utsunomiya, T.; Khatri, O.P.; Sugimura, H. Fabrication of reduced graphene oxide micro patterns by vacuum-ultraviolet irradiation: From chemical and structural evolution to improving patterning precision by light collimation. Carbon 2017, 119, 82–90. [Google Scholar] [CrossRef]
- Li, W.; Liu, J.; Yan, C. Reduced graphene oxide with tunable C/O ratio and its activity towards vanadium redox pairs for an all vanadium redox flow battery. Carbon 2013, 55, 313–320. [Google Scholar] [CrossRef]
- Wang, P.; Liu, Z.-G.; Chen, X.; Meng, F.-L.; Liu, J.-H.; Huang, X.-J. UV irradiation synthesis of an Au–graphene nanocomposite with enhanced electrochemical sensing properties. J. Mater. Chem. A 2013, 1, 9189. [Google Scholar] [CrossRef]
- Okhay, O.; Gonçalves, G.; Tkach, A.; Dias, C.; Ventura, J.; da Silva, M.F.; Valente Gonçalves, L.M.; Titus, E. Thin film versus paper-like reduced graphene oxide: Comparative study of structural, electrical, and thermoelectrical properties. J. Appl. Phys. 2016, 120, 051706. [Google Scholar] [CrossRef]
- Ferrari, A.C.; Meyer, J.C.; Scardaci, V.; Casiraghi, C.; Lazzeri, M.; Mauri, F.; Piscanec, S.; Jiang, D.; Novoselov, K.S.; Roth, S.; et al. Raman spectrum of graphene and graphene layers. Phys. Rev. Lett. 2006, 97, 187401. [Google Scholar] [CrossRef]
- Pruna, A.; Shao, Q.; Kamruzzaman, M.; Zapien, J.A.; Ruotolo, A. Optimized properties of ZnO nanorod arrays grown on graphene oxide seed layer by combined chemical and electrochemical approach. Ceram. Int. 2016, 42, 17192–17201. [Google Scholar] [CrossRef]
- Gao, M.; Xu, Y.; Wang, X.; Sang, Y.; Wang, S. Analysis of Electrochemical Reduction Process of Graphene Oxide and its Electrochemical Behavior. Electroanalysis 2016, 28, 1377–1382. [Google Scholar] [CrossRef]
- Mohan, V.B.; Brown, R.; Jayaraman, K.; Bhattacharyya, D. Characterisation of reduced graphene oxide: Effects of reduction variables on electrical conductivity. Mater. Sci. Eng. B 2015, 193, 49–60. [Google Scholar] [CrossRef]
- Gómez-Navarro, C.; Weitz, R.; Bittner, A. Electronic transport properties of individual chemically reduced graphene oxide sheets. Nano Lett. 2007, 7, 3499–3503. [Google Scholar] [CrossRef] [PubMed]
- King, A.A.K.; Davies, B.R.; Noorbehesht, N.; Newman, P.; Church, T.L.; Harris, A.T.; Razal, J.M.; Minett, A.I. A New Raman Metric for the Characterisation of Graphene oxide and its Derivatives. Sci. Rep. 2016, 6, 19491. [Google Scholar] [CrossRef] [PubMed]
- Wei, A.; Xiong, L.; Sun, L.; Liu, Y.; Li, W.; Lai, W.; Liu, X.; Wang, L.; Huang, W.; Dong, X. One-step electrochemical synthesis of a graphene–ZnO hybrid for improved photocatalytic activity. Mater. Res. Bull. 2013, 48, 2855–2860. [Google Scholar] [CrossRef]
- Wang, X.H.; Kholmanov, I.; Chou, H.; Ruoff, R.S. Simultaneous Electrochemical Reduction and De lamination of Graphene Oxide Films. ACS Nano 2015, 9, 8737–8743. [Google Scholar] [CrossRef]
- Diez-Betriu, X.; Alvarez-Garcia, S.; Botas, C.; Alvarez, P.; Sanchez-Marcos, J.; Prieto, C.; Menendez, R.; de Andres, A. Raman spectroscopy for the study of reduction mechanisms and optimization of conductivity in graphene oxide thin films. J. Mater. Chem. C 2013, 1, 6905–6912. [Google Scholar] [CrossRef]
- Wang, M.; Huang, J.; Wang, M.; Zhang, D.; Zhang, W.; Li, W.; Chen, J. Co3O4 nanorods decorated reduced graphene oxide composite for oxygen reduction reaction in alkaline electrolyte. Electrochem. Commun. 2013, 34, 299–303. [Google Scholar] [CrossRef]
- Toh, S.Y.; Loh, K.S.; Kamarudin, S.K.; Daud, W.R.W. Graphene production via electrochemical reduction of graphene oxide: Synthesis and characterisation. Chem. Eng. J. 2014, 251, 422–434. [Google Scholar] [CrossRef]
- Lee, D.S.; Riedl, C.; Krauss, B.; Von Klitzing, K.; Starke, U.; Smet, J.H. Raman spectra of epitaxial graphene on SiC and of epitaxial graphene transferred to SiO2. Nano Lett. 2008, 8, 4320–4325. [Google Scholar] [CrossRef] [PubMed]
- Malard, L.M.; Pimenta, M.A.; Dresselhaus, G.; Dresselhaus, M.S. Raman spectroscopy in graphene. Phys. Rep. 2009, 473, 51–87. [Google Scholar] [CrossRef]
- Shang, Y.; Zhang, D.; Liu, Y.; Liu, Y. Simultaneous synthesis of diverse graphene via electrochemical reduction of graphene oxide. J. Appl. Electrochem. 2015, 45, 453–462. [Google Scholar] [CrossRef]
- Pang, S.; Tsao, H.N.; Feng, X.; Mullen, K. Patterned graphene electrodes from solution-processed graphite oxide films for organic field-effect transistors. Adv. Mater. 2009, 21, 3488–3491. [Google Scholar] [CrossRef]
- Mattevi, C.; Eda, G.; Agnoli, S.; Miller, S.; Mkhoyan, K.A.; Celik, O.; Mastrogiovanni, D.; Cranozzi, C.; Carfunkel, E.; Chhowalla, M. Evolution of electrical, chemical, and structural properties of transparent and conducting chemically derived craphene thin films. Adv. Funct. Mater. 2009, 19, 2577–2583. [Google Scholar] [CrossRef]









| Aqueous Medium | Non-Aqueous Medium | |||||
|---|---|---|---|---|---|---|
| Deconvoluted Peak | Slope (mV/dec) | αn | kapp (s−1) | Slope (mV/dec) | αn | kapp (s−1) |
| i | 123 | 0.48 | 0.93 | 106 | 0.59 | 1.15 |
| ii | 131 | 0.45 | 0.88 | 135 | 0.44 | 0.86 |
| iii | 121 | 0.49 | 0.95 | 134 | 0.44 | 0.86 |
| Sample | C–OH | C–O–C | C=O | C=Cgr b | C=C | COOH |
|---|---|---|---|---|---|---|
| Aqueous medium | ||||||
| GOaq | 8.8 | 17.7 | 16.8 | - | 54.5 | 2.1 |
| erGOaq | 25.8 | 2.8 | 6.1 | 32.8 | 24.4 | 3.6 |
| Non-aqueous medium | ||||||
| GOnon-aq | 7.0 | 24.6 | 10.8 | - | 54.9 | 2.7 |
| erGOnon-aq | 8.9 | 4.0 | 2.1 | 45.3 | 38.8 | 0.7 |
| D | G | D’ | 2D | D + G | ID/IG | La (nm) a | # layers b | |
|---|---|---|---|---|---|---|---|---|
| Position (cm−1)/FWHM (cm−1) | ||||||||
| GO | 1355/ 118 | 1606/ 86 | - | 2708/ 194 | 2941/ 169 | 0.73 | 19 | 11 |
| erGOaq | 1365/ 74 | 1601/ 51 | 1630/ 34 | 2699/ 143 | 2953/ 131 | 1.12 | 12 | 8 |
| erGOnon-aq | 1355/ 66 | 1592/ 45 | 1622/ 30 | 2704/ 137 | 2954/ 121 | 1.27 | 11 | 7 |
Publisher’s Note: MDPI stays neutral with regard to jurisdictional claims in published maps and institutional affiliations. |
© 2021 by the authors. Licensee MDPI, Basel, Switzerland. This article is an open access article distributed under the terms and conditions of the Creative Commons Attribution (CC BY) license (https://creativecommons.org/licenses/by/4.0/).
Share and Cite
Marrani, A.G.; Motta, A.; Amato, F.; Schrebler, R.; Zanoni, R.; Dalchiele, E.A. Effect of Electrolytic Medium on the Electrochemical Reduction of Graphene Oxide on Si(111) as Probed by XPS. Nanomaterials 2022, 12, 43. https://doi.org/10.3390/nano12010043
Marrani AG, Motta A, Amato F, Schrebler R, Zanoni R, Dalchiele EA. Effect of Electrolytic Medium on the Electrochemical Reduction of Graphene Oxide on Si(111) as Probed by XPS. Nanomaterials. 2022; 12(1):43. https://doi.org/10.3390/nano12010043
Chicago/Turabian StyleMarrani, Andrea G., Alessandro Motta, Francesco Amato, Ricardo Schrebler, Robertino Zanoni, and Enrique A. Dalchiele. 2022. "Effect of Electrolytic Medium on the Electrochemical Reduction of Graphene Oxide on Si(111) as Probed by XPS" Nanomaterials 12, no. 1: 43. https://doi.org/10.3390/nano12010043
APA StyleMarrani, A. G., Motta, A., Amato, F., Schrebler, R., Zanoni, R., & Dalchiele, E. A. (2022). Effect of Electrolytic Medium on the Electrochemical Reduction of Graphene Oxide on Si(111) as Probed by XPS. Nanomaterials, 12(1), 43. https://doi.org/10.3390/nano12010043

