Development of Waste Polystyrene-Based Copper Oxide/Reduced Graphene Oxide Composites and Their Mechanical, Electrical and Thermal Properties
Abstract
:1. Introduction
2. Experimental
2.1. Chemical Reagent
2.2. Synthesis of Copper Oxide Nanoparticles
2.3. Synthesis of GO
2.4. Synthesis of WPS-rGO-CuO Composites
2.5. Structural Characterization of Composite
2.6. Mechanical and Thermal Properties
2.7. Electrical Conductance
3. Results and Discussion
3.1. Characterization of Composite
3.2. Mechanical Properties
3.3. Thermal Properties
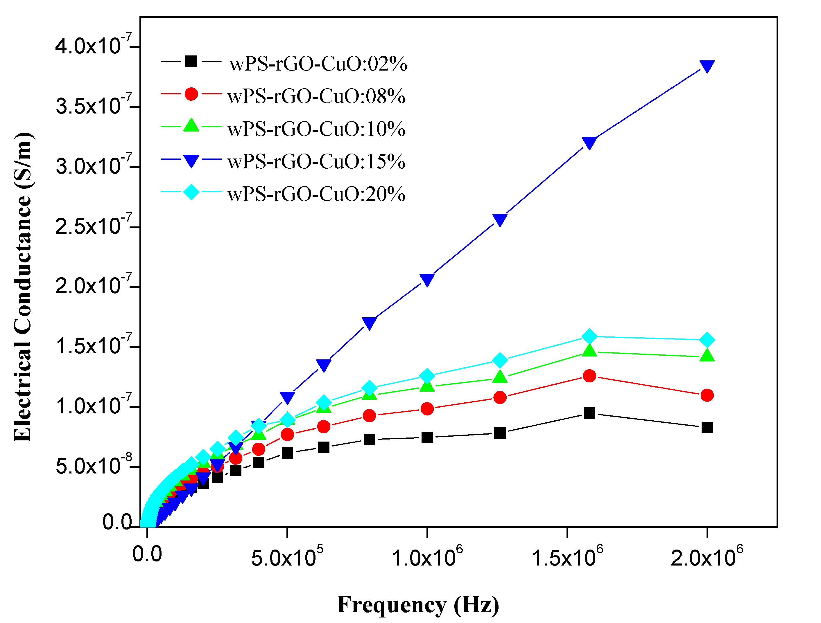
3.4. Electrical Conductance
4. Conclusions
Author Contributions
Funding
Institutional Review Board Statement
Informed Consent Statement
Data Availability Statement
Acknowledgments
Conflicts of Interest
References
- Kumar, S.; Nehra, M.; Dilbaghi, N.; Tankeshwar, K.; Kim, K.-H. Recent advances and remaining challenges for polymeric nanocomposites in healthcare applications. Prog. Polym. Sci. 2018, 80, 1–38. [Google Scholar] [CrossRef]
- Sun, X.; Huang, C.; Wang, L.; Liang, L.; Cheng, Y.; Fei, W.; Li, Y. Recent progress in graphene/polymer nanocomposites. Adv. Mater. 2021, 33, 2001105. [Google Scholar] [CrossRef]
- Rittigstein, P.; Priestley, R.D.; Broadbelt, L.J.; Torkelson, J.M. Model polymer nanocomposites provide an understanding of confinement effects in real nanocomposites. Nat. Mater. 2007, 6, 278–282. [Google Scholar] [CrossRef]
- Ku, H.; Wang, H.; Pattarachaiyakoop, N.; Trada, M. A review on the tensile properties of natural fiber reinforced polymer composites. Compos. Part B 2011, 42, 856–873. [Google Scholar] [CrossRef] [Green Version]
- Thakur, V.K.; Gupta, R.K. Recent progress on ferroelectric polymer-based nanocomposites for high energy density capacitors: Synthesis, dielectric properties, and future aspects. Chem. Rev. 2016, 116, 4260–4317. [Google Scholar]
- Shifrina, Z.B.; Matveeva, V.G.; Bronstein, L.M. Role of polymer structures in catalysis by transition metal and metal oxide nanoparticle composites. Chem. Rev. 2019, 120, 1350–1396. [Google Scholar] [CrossRef]
- Sanchez, C.; Julián, B.; Belleville, P.; Popall, M. Applications of hybrid organic–inorganic nanocomposites. J. Mater. Chem. 2005, 15, 3559–3592. [Google Scholar] [CrossRef]
- Kango, S.; Kalia, S.; Celli, A.; Njuguna, J.; Habibi, Y.; Kumar, R. Surface modification of inorganic nanoparticles for development of organic–inorganic nanocomposites—A review. Prog. Polym. Sci. 2013, 38, 1232–1261. [Google Scholar] [CrossRef]
- Pomogailo, A.D. Hybrid polymer-inorganic nanocomposites. Russ. Chem. Rev. 2000, 69, 53–80. [Google Scholar] [CrossRef]
- Wong, C.; Bollampally, R.S. Thermal conductivity, elastic modulus, and coefficient of thermal expansion of polymer composites filled with ceramic particles for electronic packaging. J. Appl. Polym. Sci. 1999, 74, 3396–3403. [Google Scholar] [CrossRef]
- Abd El-Kader, M.; Awwad, N.S.; Ibrahium, H.A.; Ahmed, M. Graphene oxide fillers through polymeric blends of PVC/PVDF using laser ablation technique: Electrical, antibacterial, and thermal stability. J. Mater. Res. Technol. 2021, 13, 1878–1886. [Google Scholar] [CrossRef]
- Venkateshalu, S.; Rangappa, D.; Grace, A.N. Hydrothermal synthesis and electrochemical properties of CoS2–reduced graphene oxide nanocomposite for supercapacitor application. Int. J. Nanosci. 2018, 17, 1760020. [Google Scholar] [CrossRef]
- Park, W.; Hu, J.; Jauregui, L.A.; Ruan, X.; Chen, Y.P. Electrical and thermal conductivities of reduced graphene oxide/polystyrene composites. Appl. Phys. Lett. 2014, 104, 113101. [Google Scholar] [CrossRef] [Green Version]
- Bouazizi, N.; Bargougui, R.; Oueslati, A.; Benslama, R. Effect of synthesis time on structural, optical and electrical properties of CuO nanoparticles synthesized by reflux condensation method. Adv. Mater. Lett. 2015, 6, 158–164. [Google Scholar] [CrossRef]
- Zhou, Z.; Lu, C.; Wu, X.; Zhang, X. Cellulose nanocrystals as a novel support for CuO nanoparticles catalysts: Facile synthesis and their application to 4-nitrophenol reduction. RSC Adv. 2013, 3, 26066–26073. [Google Scholar] [CrossRef]
- Majumdar, D.; Ghosh, S. Recent advancements of copper oxide based nanomaterials for supercapacitor applications. J. Energy Storage 2020, 34, 101995. [Google Scholar] [CrossRef]
- Sharma, J.K.; Akhtar, M.S.; Ameen, S.; Srivastava, P.; Singh, G. Green synthesis of CuO nanoparticles with leaf extract of Calotropis gigantea and its dye-sensitized solar cells applications. J. Alloys Compd. 2015, 632, 321–325. [Google Scholar] [CrossRef]
- Rao, J.K.; Raizada, A.; Ganguly, D.; Mankad, M.M.; Satayanarayana, S.; Madhu, G. Investigation of structural and electrical properties of novel CuO–PVA nanocomposite films. J. Mater. Sci. 2015, 50, 7064–7074. [Google Scholar] [CrossRef]
- Afifi, H.; Hasan, E. Annealing effect on microhardness and elastic constants of PMMA. Polym. Plast. Technol. Eng. 2003, 42, 543–554. [Google Scholar] [CrossRef]
- Skinner, S.; Grey, P.; Baxter, S. Some aspects of steam moulding process for expandable polystyrene. i. prefoaming. Trans. J. Plast. Inst. 1964, 32, 180. [Google Scholar]
- Oral, I.; Guzel, H.; Ahmetli, G. Measuring the Young’s modulus of polystyrene-based composites by tensile test and pulse-echo method. Polym. Bull. 2011, 67, 1893–1906. [Google Scholar] [CrossRef]
- Vignarooban, K.; Dissanayake, M.; Albinsson, I.; Mellander, B.-E. Effect of TiO2 nano-filler and EC plasticizer on electrical and thermal properties of poly (ethylene oxide)(PEO) based solid polymer electrolytes. Solid State Ion. 2014, 266, 25–28. [Google Scholar] [CrossRef]
- Xu, F.; Zhang, H.; Jin, L.; Li, Y.; Li, J.; Gan, G.; Wei, M.; Li, M.; Liao, Y. Controllably degradable transient electronic antennas based on water-soluble PVA/TiO2 films. J. Mater. Sci. 2018, 53, 2638–2647. [Google Scholar] [CrossRef]
- Lodge, J.M.; Rettenmaier, T.J.; Wells, J.A.; Pomerantz, W.C.; Mapp, A.K. FP tethering: A screening technique to rapidly identify compounds that disrupt protein–protein interactions. MedChemComm 2014, 5, 370–375. [Google Scholar] [CrossRef] [PubMed]
- Choudhary, S.; Sengwa, R. Effects of different inorganic nanoparticles on the structural, dielectric and ion transportation properties of polymers blend based nanocomposite solid polymer electrolytes. Electrochim. Acta 2017, 247, 924–941. [Google Scholar] [CrossRef]
- Becerril, H.A.; Mao, J.; Liu, Z.; Stoltenberg, R.M.; Bao, Z.; Chen, Y. Evaluation of solution-processed reduced graphene oxide films as transparent conductors. ACS Nano 2008, 2, 463–470. [Google Scholar] [CrossRef]
- Wang, X.; Zhi, L.; Müllen, K. Transparent, conductive graphene electrodes for dye-sensitized solar cells. Nano Lett. 2008, 8, 323–327. [Google Scholar] [CrossRef] [PubMed]
- Sharif, F.; Arjmand, M.; Moud, A.A.; Sundararaj, U.; Roberts, E.P. Segregated hybrid poly (methyl methacrylate)/graphene/magnetite nanocomposites for electromagnetic interference shielding. ACS Appl. Mater. Interfaces 2017, 9, 14171–14179. [Google Scholar] [CrossRef] [PubMed]
- Xie, Y.; Zhang, K.; Yamauchi, Y.; Oyaizu, K.; Jia, Z. Nitroxide radical polymers for emerging plastic energy storage and organic electronics: Fundamentals, materials, and applications. Mater. Horiz. 2021, 8, 803–829. [Google Scholar] [CrossRef]
- Abenojar, J.; Martínez, M.; Velasco, F.; Pascual-Sánchez, V.; Martín-Martínez, J. Effect of boron carbide filler on the curing and mechanical properties of an epoxy resin. J. Adhes. 2009, 85, 216–238. [Google Scholar] [CrossRef]
- Basiruddin, S.; Swain, S.K. Phenylboronic acid functionalized reduced graphene oxide based fluorescence nano sensor for glucose sensing. Mater. Sci. Eng. C 2016, 58, 103–109. [Google Scholar] [CrossRef]
- İlhan, H. A Comparative Study on the Photocatalytic Activity of Dye-Sensitized and Non-Sensitized Graphene Oxide-TİO2 Composites under Simulated and Direct Sunlight. Master’s Thesis, Izmir Institute of Technology, İzmir, Turkey, 2019. [Google Scholar]
- Radhakrishnan, A.A.; Beena, B.B. Structural and optical absorption analysis of CuO nanoparticles. Ind. J. Adv. Chem. Sci. 2014, 2, 158–161. [Google Scholar]
- Hanifah, M.F.R.; Jaafar, J.; Aziz, M.; Ismail, A.F.; Rahman, M.A.; Othman, M.H.D. Synthesis of graphene oxide nanosheets via modified hummers’ method and its physicochemical properties. J. Teknol. 2015, 74, 189–192. [Google Scholar] [CrossRef] [Green Version]
- Mallakpour, S.; Behranvand, V. Recent progress and perspectives on biofunctionalized CNT hybrid polymer nanocomposites. In Hybrid Polymer Composite Materials; Woodhead Publishing: Cambridge, UK, 2017; pp. 311–341. [Google Scholar]
- Wu, H.-X.; Tong, R.; Qiu, X.-Q.; Yang, H.-F.; Lin, Y.-H.; Cai, R.-F.; Qian, S.-X. Functionalization of multiwalled carbon nanotubes with polystyrene under atom transfer radical polymerization conditions. Carbon 2007, 45, 152–159. [Google Scholar] [CrossRef]
- Alansi, A.M.; Alkayali, W.Z.; Al-qunaibit, M.H.; Qahtan, T.F.; Saleh, T.A. Synthesis of exfoliated polystyrene/anionic clay MgAl-layered double hydroxide: Structural and thermal properties. RSC Adv. 2015, 5, 71441–71448. [Google Scholar] [CrossRef]
- Radhi, M.M.; Haider, A.J.; Jameel, Z.N.; Tee, T.W.; Ab Rahman, M.Z.B.; Kassim, A.B. Synthesis and characterization of grafted acrylonitrile on polystyrene modified with carbon nanotubes using gamma-irradiation. Res. J. Chem. Sci. 2012, 2, 1–7. [Google Scholar]
- Qi, X.-Y.; Yan, D.; Jiang, Z.; Cao, Y.-K.; Yu, Z.-Z.; Yavari, F.; Koratkar, N. Enhanced electrical conductivity in polystyrene nanocomposites at ultra-low graphene content. ACS Appl. Mater. Interfaces 2011, 3, 3130–3133. [Google Scholar] [CrossRef]
- Reddy, K.R. Green synthesis, morphological and optical studies of CuO nanoparticles. J. Mol. Struct. 2017, 1150, 553–557. [Google Scholar] [CrossRef]
- Park, S.; An, J.; Potts, J.R.; Velamakanni, A.; Murali, S.; Ruoff, R.S. Hydrazine-reduction of graphite-and graphene oxide. Carbon 2011, 49, 3019–3023. [Google Scholar] [CrossRef]
- Rambabu, G.; Bhat, S.D.; Figueiredo, F.M. Carbon nanocomposite membrane electrolytes for direct methanol fuel cells—a concise review. Nanomaterials 2019, 9, 1292. [Google Scholar] [CrossRef] [Green Version]
- Phiwdang, K.; Suphankij, S.; Mekprasart, W.; Pecharapa, W. Synthesis of CuO nanoparticles by precipitation method using different precursors. Energy Procedia 2013, 34, 740–745. [Google Scholar] [CrossRef] [Green Version]
- Zhou, W.; Wang, C.; Ai, T.; Wu, K.; Zhao, F.; Gu, H. A novel fiber-reinforced polyethylene composite with added silicon nitride particles for enhanced thermal conductivity. Compos. Part A 2009, 40, 830–836. [Google Scholar] [CrossRef]
- Ren, G.; Hu, D.; Cheng, E.W.; Vargas-Reus, M.A.; Reip, P.; Allaker, R.P. Characterisation of copper oxide nanoparticles for antimicrobial applications. Int. J. Antimicrob. Agents 2009, 33, 587–590. [Google Scholar] [CrossRef]
- Drewniak, S.; Muzyka, R.; Stolarczyk, A.; Pustelny, T.; Kotyczka-Morańska, M.; Setkiewicz, M. Studies of reduced graphene oxide and graphite oxide in the aspect of their possible application in gas sensors. Sensors 2016, 16, 103. [Google Scholar] [CrossRef]
- Ong, H.R.; Khan, M.M.R.; Ramli, R.; Yunus, R.M. Effect of CuO nanoparticle on mechanical and thermal properties of palm oil based alkyd/epoxy resin blend. Procedia Chem. 2015, 16, 623–631. [Google Scholar] [CrossRef] [Green Version]
- Hassan, D.; Hashim, A. Structural and optical properties of (polystyrene–copper oxide) nanocomposites for biological applications. J. Bionanosci. 2018, 12, 341–345. [Google Scholar] [CrossRef]
- Tripathi, S.N.; Saini, P.; Gupta, D.; Choudhary, V. Electrical and mechanical properties of PMMA/reduced graphene oxide nanocomposites prepared via in situ polymerization. J. Mater. Sci. 2013, 48, 6223–6232. [Google Scholar] [CrossRef]
- Ramanathan, T.; Abdala, A.; Stankovich, S.; Dikin, D.; Herrera-Alonso, M.; Piner, R.; Adamson, D.; Schniepp, H.; Chen, X.; Ruoff, R. Functionalized graphene sheets for polymer nanocomposites. Nat. Nanotechnol. 2008, 3, 327–331. [Google Scholar] [CrossRef] [PubMed]
- Nair, K.M.; Thomas, S.; Groeninckx, G. Thermal and dynamic mechanical analysis of polystyrene composites reinforced with short sisal fibres. Compos. Sci. Technol. 2001, 61, 2519–2529. [Google Scholar] [CrossRef]
- Zhi, C.; Bando, Y.; Tang, C.; Xie, R.; Sekiguchi, T.; Golberg, D. Perfectly dissolved boron nitride nanotubes due to polymer wrapping. J. Am. Chem. Soc. 2005, 127, 15996–15997. [Google Scholar] [CrossRef] [PubMed]
- Kim, Y.; Kwon, Y.J.; Lee, K.E.; Oh, Y.; Um, M.K.; Seong, D.G.; Lee, J.U. Flexible textile-based organic transistors using graphene/Ag nanoparticle electrode. Nanomaterials 2016, 6, 147. [Google Scholar] [CrossRef] [Green Version]
- Mirikaram, N.; Pérez-Molina, Á.; Morales-Torres, S.; Salemi, A.; Maldonado-Hódar, F.J.; Pastrana-Martínez, L.M. Photocatalytic Perfomance of ZnO-Graphene Oxide Composites towards the Degradation of Vanillic Acid under Solar Radiation and Visible-LED. Nanomaterials 2021, 11, 1576. [Google Scholar] [CrossRef] [PubMed]
- Abdelrazek, E.; Hezma, A.; El-Khodary, A.; Elzayat, A. Spectroscopic studies and thermal properties of PCL/PMMA biopolymer blend. Egypt. J. Basic Appl. Sci. 2016, 3, 10–15. [Google Scholar] [CrossRef]
- Gonçalves, G.; Marques, P.A.; Barros-Timmons, A.; Bdkin, I.; Singh, M.K.; Emami, N.; Grácio, J. Graphene oxide modified with PMMA via ATRP as a reinforcement filler. J. Mater. Chem. 2010, 20, 9927–9934. [Google Scholar] [CrossRef] [Green Version]
- Tang, E.; Cheng, G.; Ma, X. Preparation of nano-ZnO/PMMA composite particles via grafting of the copolymer onto the surface of zinc oxide nanoparticles. Powder Technol. 2006, 161, 209–214. [Google Scholar] [CrossRef]
- Mamunya, Y. Carbon nanotubes as conductive filler in segregated polymer composites–electrical properties. In Carbon Nanotubes: Polymer Nanocomposites; InTech: Rijeka, Croatia, 2011; pp. 173–196. [Google Scholar]
- Kim, H.; Abdala, A.A.; Macosko, C.W. Graphene/polymer nanocomposites. Macromolecules 2010, 43, 6515–6530. [Google Scholar] [CrossRef]
- Devikala, S.; Kamaraj, P.; Arthanareeswari, M. AC conductivity studies of PVA/Al2O3 composites. Mater. Today Proc. 2019, 14, 288–295. [Google Scholar] [CrossRef]
- Ryu, S.H.; Kim, S.; Kim, H.; Kang, S.-O.; Choa, Y.-H. Highly conductive polymer composites incorporated with electrochemically exfoliated graphene fillers. RSC Adv. 2015, 5, 36456–36460. [Google Scholar] [CrossRef]
- Yousefi, N.; Sun, X.; Lin, X.; Shen, X.; Jia, J.; Zhang, B.; Tang, B.; Chan, M.; Kim, J.K. Highly aligned graphene/polymer nanocomposites with excellent dielectric properties for high-performance electromagnetic interference shielding. Adv. Mater. 2014, 26, 5480–5487. [Google Scholar] [CrossRef]
- Noor, T.; Pervaiz, S.; Iqbal, N.; Nasir, H.; Zaman, N.; Sharif, M.; Pervaiz, E. Nanocomposites of NiO/CuO based MOF with rGO: An efficient and robust electrocatalyst for methanol oxidation reaction in DMFC. Nanomaterials 2020, 10, 1601. [Google Scholar] [CrossRef] [PubMed]









| Samples | Wt.% Composition | |||||
|---|---|---|---|---|---|---|
| Experimental Wt (%) | Theoretical Wt (%) | |||||
| C | O | Cu | C | O | Cu | |
| WPS | 94.30 | 5.70 | - | 92.25 | 7.74 | - |
| CuO | - | 17.34 | 82.64 | - | 16.95 | 80.65 |
| rGO | 91.37 | 8.63 | - | 95.05 | 5.5 | - |
| WPS-rGO-CuO: 15% | 89.49 | 5.06 | 5.44 | 89.49 | 5.04 | 5.44 |
| Parameter | WPS | Composition of rGO-CuO (%) | ||||
|---|---|---|---|---|---|---|
| 2 | 8 | 10 | 15 | 20 | ||
| Elong@Break (mm) | 3.14 | 3.23 | 1.24 | 1.91 | 1.16 | 1.18 |
| Elong@Yield (mm) | 0.36 | 0.75 | 0.43 | 0.35 | 0.28 | 0.24 |
| Strain@Break (%) | 15.67 | 21.54 | 9.22 | 6.54 | 5.80 | 5.91 |
| Strain@Yield (%) | 2.79 | 5.02 | 2.15 | 1.73 | 1.38 | 1.18 |
| Plastic Strain@Break | 15.62 | 21.48 | 9.14 | 6.35 | 5.41 | 5.62 |
| Load@Break (N) | 0.89 | 0.78 | 1.63 | 5.16 | 31.78 | 1.19 |
| Load@Yield (N) | 15.61 | 63.28 | 23.83 | 27.93 | 34.27 | 5.08 |
| Stress@Break(N/mm2) | 0.49 | 0.54 | 0.64 | 2.87 | 7.66 | 0.66 |
| Stress@Yield(N/mm2) | 8.67 | 19.04 | 12.87 | 15.52 | 25.28 | 2.26 |
| Youngs Modulus (N/mm2) | 720.37 | 733.00 | 841.25 | 1526.5 | 1951.0 | 227.08 |
| Polymer Matrix | Fillers | Tensile Strength (N/mm2) | Elongation at Break (mm) | Young Modulus (N/mm2) | Reference |
|---|---|---|---|---|---|
| PS | Sisal fiber | 0%: 34.90 20%: 25.98 | 0%: 9 10%: 7 | 0%: 380 10%: 516.83 | [51] |
| Recycled PS | SCF and WF | 0%: 1 20%: 12 | 0%: 7 20%: 71 | 0%: 24 20%: 71 | [53] |
| Polyvinyl chloride | CaCO3 | 0%: 2825 25%: 2960 | 0%: 365 5%: 380 | 0%: 1485 20%: 1670 | [54] |
| WPS | rGO, CuO | 0%: 0.4944 15%: 7.6556 | 0%: 3.1380 2%: 3.2380 | 0%: 720.37 15%: 1951.0 | Current Study |
| Sample | %wt. Loss at 50–250 °C | %wt. Loss at 250–400 °C | Residual Mass at 600 °C (g) |
|---|---|---|---|
| WPS | 8.67 | 73.36 | 0.32 |
| WPS-rGO-CuO:2% | 3.52 | 22.02 | 10.03 |
| WPS-rGO-CuO:15% | 6.07 | 20.01 | 25.04 |
| Polymer Composite | Fillers Used | Electrical Conductivity (S/m) | Reference |
|---|---|---|---|
| PVA-Al2O3: 5% | Al2O3 | 6.52 × 10−5 S/m | [60] |
| PMMA-Fe2O3: 2% | Fe2O3 | 1.55 × 10−5 S/m | [63] |
| PMMA-rGO: 2% | rGO | 1.69 × 10−10 S/m | [49] |
| WPS-rGO: 2% | rGO | 135 S/m | [13] |
| WPS-rGO-CuO: 15% | rGO/CuO | 4.0 × 10−7 S/m | Current study |
Publisher’s Note: MDPI stays neutral with regard to jurisdictional claims in published maps and institutional affiliations. |
© 2021 by the authors. Licensee MDPI, Basel, Switzerland. This article is an open access article distributed under the terms and conditions of the Creative Commons Attribution (CC BY) license (https://creativecommons.org/licenses/by/4.0/).
Share and Cite
Ahmad, W.; Ahmad, Q.; Yaseen, M.; Ahmad, I.; Hussain, F.; Mohamed Jan, B.; Ikram, R.; Stylianakis, M.M.; Kenanakis, G. Development of Waste Polystyrene-Based Copper Oxide/Reduced Graphene Oxide Composites and Their Mechanical, Electrical and Thermal Properties. Nanomaterials 2021, 11, 2372. https://doi.org/10.3390/nano11092372
Ahmad W, Ahmad Q, Yaseen M, Ahmad I, Hussain F, Mohamed Jan B, Ikram R, Stylianakis MM, Kenanakis G. Development of Waste Polystyrene-Based Copper Oxide/Reduced Graphene Oxide Composites and Their Mechanical, Electrical and Thermal Properties. Nanomaterials. 2021; 11(9):2372. https://doi.org/10.3390/nano11092372
Chicago/Turabian StyleAhmad, Waqas, Qaizar Ahmad, Muhammad Yaseen, Imtiaz Ahmad, Fida Hussain, Badrul Mohamed Jan, Rabia Ikram, Minas M. Stylianakis, and George Kenanakis. 2021. "Development of Waste Polystyrene-Based Copper Oxide/Reduced Graphene Oxide Composites and Their Mechanical, Electrical and Thermal Properties" Nanomaterials 11, no. 9: 2372. https://doi.org/10.3390/nano11092372
APA StyleAhmad, W., Ahmad, Q., Yaseen, M., Ahmad, I., Hussain, F., Mohamed Jan, B., Ikram, R., Stylianakis, M. M., & Kenanakis, G. (2021). Development of Waste Polystyrene-Based Copper Oxide/Reduced Graphene Oxide Composites and Their Mechanical, Electrical and Thermal Properties. Nanomaterials, 11(9), 2372. https://doi.org/10.3390/nano11092372

