High-Performance Transparent PEDOT: PSS/CNT Films for OLEDs
Abstract
:1. Introduction
2. Materials and Methods
2.1. Preparation of a CNT/PEDOT:PSS Hybrid Solution
2.2. Fabrication and Post-Treatment of TCFs
2.3. Fabrication of OLEDs
2.4. Characterization
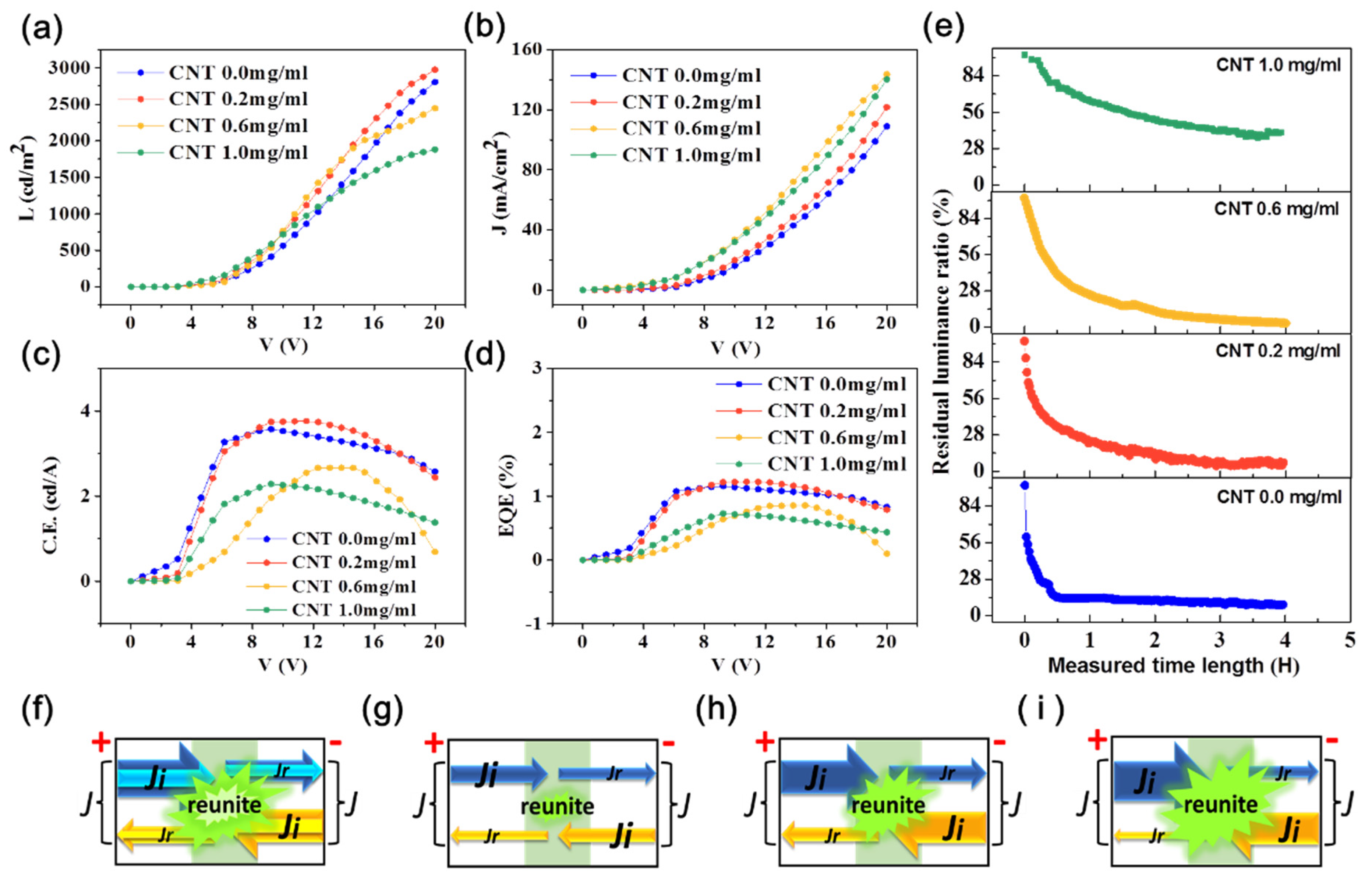
3. Results and Discussion
4. Conclusions
Author Contributions
Funding
Data Availability Statement
Conflicts of Interest
References
- Yu, L.; Shearer, C.; Shapter, J. Recent Development of Carbon Nanotube Transparent Conductive Films. Chem. Rev. 2016, 116, 13413–13453. [Google Scholar] [CrossRef] [PubMed]
- Tian, Y.; Zhang, X.; Geng, H.-Z.; Yang, H.-J.; Li, C.; Da, S.-X.; Lu, X.; Wang, J.; Jia, S.-L. Carbon nanotube/polyurethane films with high transparency, low sheet resistance and strong adhesion for antistatic application. RSC Adv. 2017, 7, 53018–53024. [Google Scholar] [CrossRef] [Green Version]
- Jia, S.-L.; Geng, H.-Z.; Wang, L.; Tian, Y.; Xu, C.-X.; Shi, P.-P.; Gu, Z.-Z.; Yuan, X.-S.; Jing, L.-C.; Guo, Z.-Y.; et al. Carbon nanotube-based flexible electrothermal flm heaters with a high heating rate. R. Soc. Open Sci. 2018, 5, 172072. [Google Scholar] [CrossRef] [Green Version]
- He, L.; Tjong, S.C. Nanostructured transparent conductive films: Fabrication, characterization and applications. Mater. Sci. Eng. R. Rep. 2016, 109, 1–101. [Google Scholar] [CrossRef]
- Wong, M.Y. Recent Advances in Polymer Organic Light-Emitting Diodes (PLED) Using Non-conjugated Polymers as the Emitting Layer and Contrasting Them with Conjugated Counterparts. J. Electron. Mater. 2017, 46, 6246–6281. [Google Scholar] [CrossRef] [Green Version]
- Martínez-Sarti, L.; Pertegás, A.; Monrabal-Capilla, M.; Gilshteyn, E.; Varjos, I.; Kauppinen, E.; Nasibulin, A.; Sessolo, M.; Bolink, H.J. Flexible light-emitting electrochemical cells with single-walled carbon nanotube anodes. Org. Electron. 2016, 30, 36–39. [Google Scholar] [CrossRef]
- Gao, J.; Mu, X.; Li, X.-Y.; Wang, W.-Y.; Meng, Y.; Xu, X.-B.; Chen, L.-T.; Cui, L.-J.; Wu, X.; Geng, H.-Z. Modification of carbon nanotube transparent conducting films for electrodes in organic light-emitting diodes. Nanotechnology 2013, 24, 435201. [Google Scholar] [CrossRef]
- Kim, S.; Yim, J.; Wang, X.; Bradley, D.D.C.; Lee, S.; Demello, J.C. Spin- and Spray-Deposited Single-Walled Carbon-Nanotube Electrodes for Organic Solar Cells. Adv. Funct. Mater. 2010, 20, 2310–2316. [Google Scholar] [CrossRef]
- Geng, H.-Z.; Kim, K.K.; Song, C.; Xuyen, N.T.; Kim, S.M.; Park, K.A.; Lee, D.S.; An, K.H.; Lee, Y.S.; Chang, Y.; et al. Doping and de-doping of carbon nanotube transparent conducting films by dispersant and chemical treatment. J. Mater. Chem. 2008, 18, 1261–1266. [Google Scholar] [CrossRef]
- Zhang, Z.-C.; Geng, H.-Z.; Wang, Y.; Yang, H.-J.; Da, S.-X.; Ding, E.-X.; Liu, J.; Yu, P.; Fu, Y.-Q.; Li, X.; et al. Temperature and voltage dependent current–voltage behavior of single-walled carbon nanotube transparent conducting films. Appl. Surf. Sci. 2015, 355, 1201–1205. [Google Scholar] [CrossRef]
- Wang, Y.; Yang, H.-J.; Geng, H.-Z.; Zhang, Z.-C.; Ding, E.-X.; Meng, Y.; Luo, Z.-J.; Wang, J.; Su, X.-M.; Da, S.-X. Fabrication and evaluation of adhesion enhanced flexible carbon nanotube transparent conducting films. J. Mater. Chem. C 2015, 3, 3796–3802. [Google Scholar] [CrossRef]
- Nie, C.; Li, F.; Wu, J.; Zeng, Q.; Ooi, P.C.; Veeramalai, C.P.; Guo, T. Solution-processed flexible blue organic light emitting diodes using graphene anode. Vacuum 2015, 121, 70–74. [Google Scholar] [CrossRef]
- Seo, H.-K.; Kim, H.; Lee, J.; Park, M.-H.; Jeong, S.-H.; Kim, Y.-H.; Kwon, S.-J.; Han, T.-H.; Yoo, S.; Lee, T.-W. Efficient Flexible Organic/Inorganic Hybrid Perovskite Light-Emitting Diodes Based on Graphene Anode. Adv. Mater. 2017, 29, 1605587. [Google Scholar] [CrossRef] [PubMed]
- Jesuraj, P.J.; Parameshwari, R.; Kanthasamy, K.; Koch, J.; Pfnür, H.; Jeganathan, K. Hole injection enhancement in organic light emitting devices using plasma treated graphene oxide. Appl. Surf. Sci. 2017, 397, 144–151. [Google Scholar] [CrossRef]
- Alahbakhshi, M.; Fallahi, A.; Mohajerani, E.; Fathollahi, M.-R.; Taromi, F.A.; Shahinpoor, M. High-performance Bi-stage process in reduction of graphene oxide for transparent conductive electrodes. Opt. Mater. 2017, 64, 366–375. [Google Scholar] [CrossRef]
- Janghouri, M. Electroluminescence and Photoluminescence from a Fluorescent Cobalt Porphyrin Grafted on Graphene Oxide. J. Electron. Mater. 2017, 46, 5635–5641. [Google Scholar] [CrossRef]
- Tokuno, T.; Nogi, M.; Jiu, J.; Suganuma, K. Hybrid transparent electrodes of silver nanowires and carbon nanotubes: A low-temperature solution process. Nanoscale Res. Lett. 2012, 7, 281. [Google Scholar] [CrossRef] [PubMed] [Green Version]
- Tien, H.-W.; Hsiao, S.-T.; Liao, W.-H.; Yu, Y.-H.; Lin, F.-C.; Wang, Y.-S.; Li, S.-M.; Ma, C.-C.M. Using self-assembly to prepare a graphene-silver nanowire hybrid film that is transparent and electrically conductive. Carbon 2013, 58, 198–207. [Google Scholar] [CrossRef]
- Jeong, C.; Nair, P.; Khan, M.; Lundstrom, M.; Alam, M.A. Prospects for Nanowire-Doped Polycrystalline Graphene Films for Ultratransparent, Highly Conductive Electrodes. Nano Lett. 2011, 11, 5020–5025. [Google Scholar] [CrossRef]
- Ji, T.; Tan, L.; Hu, X.; Dai, Y.; Chen, Y. A comprehensive study of sulfonated carbon materials as conductive composites for polymer solar cells. Phys. Chem. Chem. Phys. 2015, 17, 4137–4145. [Google Scholar] [CrossRef]
- Oey, C.C.; Djuršić, A.B.; Kwong, C.Y.; Cheung, C.H.; Chan, W.K.; Chui, P.C. Single-Walled Carbon Nanotube Composites as Hole Injection Layer for Organic Light Emitting Diode Applications. Mater. Res. Soc. Symp. Proc. 2005, 871, 341–346. [Google Scholar] [CrossRef]
- Ou, E.C.-W.; Hu, L.; Raymond, G.C.R.; Soo, O.K.; Pan, J.; Zheng, Z.; Park, Y.; Hecht, D.; Irvin, G.; Drzaic, P.; et al. Surface-modified nanotube anodes for high performance organic ligh-emitting diode. ACS Nano 2009, 3, 2258–2264. [Google Scholar] [CrossRef]
- Hu, B.; Li, D.; Manandharm, P.; Fan, Q.; Kasilingam, D.; Calvert, P. CNT/conducting polymer composite conductors impart high flexibility to textile electroluminescent devices. J. Mater. Chem. 2012, 22, 1598–1605. [Google Scholar] [CrossRef]
- Burroughes, J.H.; Bradley, D.D.C.; Brown, A.R.; Marks, R.N.; Mackay, K.; Friend, R.H.; Burn, P.; Holmes, A.B. Light-emitting diodes based on conjugated polymers. Nature 1990, 347, 539–541. [Google Scholar] [CrossRef]
- Da, S.-X.; Wang, J.; Geng, H.-Z.; Jia, S.-L.; Xu, C.-X.; Li, L.-G.; Shi, P.-P.; Li, G. High adhesion transparent conducting films using graphene oxide hybrid carbon nanotubes. Appl. Surf. Sci. 2017, 392, 1117–1125. [Google Scholar] [CrossRef]
- Erten-Ela, S.; Cogal, S.; Cogal, G.C.; Oksuz, A.U. Highly Conductive Polymer Materials Based Multi-Walled Carbon Nanotubes as Counter Electrodes for Dye Sensitized Solar Cells. Full Nanotub. Carbon Nanostruct. 2016, 24, 380–384. [Google Scholar] [CrossRef]
- Zhang, M.; Yuan, W.; Yao, B.; Li, C.; Shi, G. Solution-Processed PEDOT:PSS/Graphene Composites as the Electrocatalyst for Oxygen Reduction Reaction. ACS Appl. Mater. Interfaces 2014, 6, 3587–3593. [Google Scholar] [CrossRef]
- Yoo, D.; Kim, J.; Kim, J.H. Direct synthesis of highly conductive poly(3,4-ethylenedioxythiophene):poly(4-styrenesulfonate)(PEDOT:PSS)/graphene composites and their applications in energy harvesting systems. Nano Res. 2014, 7, 717–730. [Google Scholar] [CrossRef]
- Zuniga, C.A.; Barlow, S.; Marder, S.R. Approaches to Solution-Processed Multilayer Organic Light-Emitting Diodes Based on Cross-Linking. Chem. Mater. 2011, 23, 658–681. [Google Scholar] [CrossRef]
- Dumur, F. Carbazole-based polymers as hosts for solution-processed organic light-emitting diodes: Simplicity, efficacy. Org. Electron. 2015, 25, 345–361. [Google Scholar] [CrossRef]
- Gu, Z.-Z.; Tian, Y.; Geng, H.-Z.; Rhen, D.S.; Ethiraj, A.S.; Zhang, X.; Jing, L.-C.; Wang, T.; Xu, Z.-H.; Yuan, X.-T. Highly conductive sandwich-structured CNT/PEDOT:PSS/CNT transparent conductive films for OLED electrodes. Appl. Nanosci. 2019, 9, 1971–1979. [Google Scholar] [CrossRef]
- Mengistie, D.A.; Wang, P.-C.; Chu, C.-W. Effect of molecular weight of additives on the conductivity of PEDOT:PSS and effi-ciency for ITO-free organic solar cells. J. Mater. Chem. A 2013, 1, 9907–9915. [Google Scholar] [CrossRef]
- Vosgueritchian, M.; Lipomi, D.J.; Bao, Z. Highly Conductive and Transparent PEDOT:PSS Films with a Fluorosurfactant for Stretchable and Flexible Transparent Electrodes. Adv. Funct. Mater. 2012, 22, 421–428. [Google Scholar] [CrossRef]
- Mengistie, D.A.; Ibrahem, M.A.; Wang, P.-C.; Chu, C.-W. Highly conductive PEDOT:PSS treated with formic acid for ITO-free polymer solar cells. ACS Appl. Mater. Interfaces 2014, 6, 2292–2299. [Google Scholar] [CrossRef]
- Sun, K.; Li, P.; Xia, Y.; Chang, J.; Ouyang, J. Transparent Conductive Oxide-Free Perovskite Solar Cells with PEDOT:PSS as Transparent Electrode. ACS Appl. Mater. Interfaces 2015, 7, 15314–15320. [Google Scholar] [CrossRef]
- Kim, Y.H.; Sachse, C.; Machala, M.L.; May, C.; Müller-Meskamp, L.; Leo, K. Highly Conductive PEDOT:PSS Electrode with Optimized Solvent and Thermal Post-Treatment for ITO-Free Organic Solar Cells. Adv. Funct. Mater. 2011, 21, 1076–1081. [Google Scholar] [CrossRef]
- Jeltsch, K.; Lupa, G.; Weitz, R.T. Materials depth distribution and degradation of a FIrpic based solution-processed blue OLED. Org. Electron. 2015, 26, 365–370. [Google Scholar] [CrossRef]
- Yu, S.-Y.; Chang, J.-H.; Wang, P.-S.; Wu, C.-I.; Tao, Y.-T. Effect of ITO Surface Modification on the OLED Device Lifetime. Langmuir 2014, 30, 7369–7376. [Google Scholar] [CrossRef] [PubMed]
- Fehse, K.; Meerheim, R.; Walzer, K.; Leo, K.; Lövenich, W.; Elschner, A. Lifetime of organic light emitting diodes on polymer anodes. Appl. Phys. Lett. 2008, 93, 83303. [Google Scholar] [CrossRef]
- Wölzl, F.; De Moraes, I.R.; Lüssem, B.; Hofmann, S.; Leo, K.; Gather, M.C. Performance and lifetime of vacuum deposited organic light-emitting diodes: Influence of residual gases present during device fabrication. Org. Electron. 2014, 15, 3251–3258. [Google Scholar] [CrossRef]
- Yang, L.-S.; Meng, H.-F.; Chang, Y.-F.; Lien, C.-H.; Zan, H.-W.; Horng, S.-F.; Duan, L.; Qiu, Y.; Luo, C.W. Stable and efficient blue fluorescent organic light-emitting diode by blade coating with or without electron-transport layer. Org. Electron. 2017, 51, 6–15. [Google Scholar] [CrossRef]
- Chen, S.; Jiang, X.; So, F. Hole injection polymer effect on degradation of organic light-emitting diodes. Org. Electron. 2013, 14, 2518–2522. [Google Scholar] [CrossRef]
- Han, T.-H.; Kim, Y.-H.; Kim, M.H.; Song, W.J.; Lee, T.-W. Synergetic Influences of Mixed-Host Emitting Layer Structures and Hole Injection Layers on Efficiency and Lifetime of Simplified Phosphorescent Organic Light-Emitting Diodes. ACS Appl. Mater. Interfaces 2016, 8, 6152–6163. [Google Scholar] [CrossRef]
- Gregori, A.; Tournebize, A.; Schumann, S.; Peisert, H.; Hiorns, R.C.; Chassé, T.; Lartigau-Dagron, C.; Allal, A. The role of donor polymer and PEDOT:PSS formulation on adhesion processes in inverted organic solar cells. Sol. Energy Mater. Sol. Cells 2018, 174, 25–33. [Google Scholar] [CrossRef]
- Kim, N.; Kang, H.; Lee, J.-H.; Kee, S.; Lee, S.H.; Lee, K. Highly Conductive All-Plastic Electrodes Fabricated Using a Novel Chemically Controlled Transfer-Printing Method. Adv. Mater. 2015, 27, 2317–2323. [Google Scholar] [CrossRef]
- Wu, X.; Pei, W.; Zhang, H.; Chen, Y.; Guo, X.; Chen, H.; Wang, S. Sodium Dodecyl Sulfate doping PEDOT to enhance the performance of neural microelectrode. J. Electroanal. Chem. 2015, 758, 26–32. [Google Scholar] [CrossRef]
- Xie, Y.; Yin, J.; Zheng, J.; Wang, L.; Wu, J.; Dresselhaus, M.; Zhang, X. Synergistic Cobalt Sulfide/Eggshell Membrane Carbon Electrode. ACS Appl. Mater. Interfaces 2019, 11, 32244–32250. [Google Scholar] [CrossRef]
- Meng, J.; He, Q.; Xu, L.; Zhang, X.; Liu, F.; Wang, X.; Li, Q.; Xu, X.; Zhang, G.; Niu, C.; et al. Identification of Phase Control of Carbon-Confined Nb2O5 Nanoparticles toward High-Performance Lithium Storage. Adv. Energy Mater. 2019, 9, 1802695. [Google Scholar] [CrossRef]
- Wu, J.; Xu, F.; Li, S.; Ma, P.; Zhang, X.; Liu, Q.; Fu, R.; Wu, D. Porous Polymers as Multifunctional Material Platforms toward Task-Specific Applications. Adv. Mater. 2019, 31, e1802922. [Google Scholar] [CrossRef]
- Yun, D.-J.; Jeonga, Y.J.; Raa, H.; Kima, J.-M.; Anb, T.K.; Rheea, S.-W.; Jangc, J. Systematic optimization of MWCNT-PEDOT:PSS composite electrodes for organic transistors and dye-sensitized solar cells: Effects of MWCNT diameter and purity. Org. Electron. 2018, 52, 7–16. [Google Scholar] [CrossRef]
- Luceño-Sánchez, J.A.; Charas, A.; Díez-Pascual, A.M. Effect of HDI-Modified GO on the Thermoelectric Performance of Poly(3,4-ethylenedioxythiophene): Poly(Styrenesulfonate) Nanocomposite Films. Polymers 2021, 13, 1503. [Google Scholar] [CrossRef]
- Tsai, Y.-S.; Chittawanij, A.; Juang, F.-S.; Lin, P.-C.; Hong, L.-A.; Tsai, F.-Y.; Tseng, M.-H.; Wang, C.-C.; Chen, C.-C.; Lin, K.-L.; et al. Flexible fluorescent white organic light emitting diodes with ALD encapsulation. J. Phys. Chem. Solids 2015, 83, 135–139. [Google Scholar] [CrossRef]
- Byrne, M.T.; Gun’Ko, Y.K. Recent Advances in Research on Carbon Nanotube-Polymer Composites. Adv. Mater. 2010, 22, 1672–1688. [Google Scholar] [CrossRef] [PubMed]
- Gao, J.; Wang, W.-Y.; Chen, L.-T.; Cui, L.-J.; Hu, X.-Y.; Geng, H.-Z. Optimizing processes of dispersant concentration and post-treatments for fabricating single-walled carbon nanotube transparent conducting films. Appl. Surf. Sci. 2013, 277, 128–133. [Google Scholar] [CrossRef]
- Fischer, R.; Gregori, A.; Sahakalkan, S.; Hartmann, D.; Büchele, P.; Tedde, S.F.; Schmidt, O. Stable and highly conductive carbon nanotube enhanced PEDOT:PSS as transparent electrode for flexible electronics. Org. Electron. 2018, 62, 351–356. [Google Scholar] [CrossRef]
- Luceño Sánchez, J.A.; Peña Capilla, R.; Díez-Pascual, A.M. High-Performance PEDOT:PSS/Hexamethylene Diisocya-nate-Functionalized Graphene Oxide Nanocomposites: Preparation and Properties. Polymers 2018, 10, 1169. [Google Scholar] [CrossRef] [PubMed] [Green Version]
- Kim, M.; Kim, Y.C. Single wall carbon nanotube/poly(3,4-ethylenedioxythiophene) nanocomposite film as a transparent electrode for flexible organic light-emitting diodes. Synth. Met. 2014, 198, 31–35. [Google Scholar] [CrossRef]
- Wu, F.; Li, P.; Sun, K.; Zhou, Y.; Chen, W.; Fu, J.; Li, M.; Lu, S.; Wei, D.; Tang, X.; et al. Conductivity Enhancement of PEDOT:PSS via Addition of Chloroplatinic Acid and Its Mechanism. Adv. Electron. Mater. 2017, 3, 1700047. [Google Scholar] [CrossRef]
- Xu, D.; Shen, H.; Wang, W.; Xie, J.; Zhang, T.; Yuan, H.; Li, Y.; Chen, X.; He, Y.; Zhang, Y. Effect of H2SO4 solution treatment on adhesion, charge transfer, and catalytic performance of screen-printed PEDOT:PSS. ChemPhysChem 2019, 20, 374–382. [Google Scholar] [CrossRef]
- Hu, L.; Hecht, D.S.; Grüner, G. Percolation in Transparent and Conducting Carbon Nanotube Networks. Nano Lett. 2004, 4, 2513–2517. [Google Scholar] [CrossRef]
- Fan, X.; Nie, W.; Tsai, H.; Wang, N.; Huang, H.; Cheng, Y.; Wen, R.; Ma, L.; Yan, F.; Xia, Y. PEDOT:PSS for flexible and stretchable electronics: Modifcations, strategies, and applications. Adv. Sci. 2019, 6, 1900813. [Google Scholar] [CrossRef] [Green Version]
- Lee, I.; Kim, G.W.; Yang, M.; Kim, T.-S. Simultaneously Enhancing the Cohesion and Electrical Conductivity of PEDOT:PSS Conductive Polymer Films using DMSO Additives. ACS Appl. Mater. Interfaces 2015, 8, 302–310. [Google Scholar] [CrossRef]
- Yang, R.; Gong, Z.; Zhang, X.; Que, L. Single-Walled Carbon Nanotubes (SWCNTs) and Poly(3,4-ethylenedioxythiophene) Nanocomposite Microwire-Based Electronic Biosensor Fabricated by Microlithography and Layer-by-Layer Nanoassembly. J. Nanosci. Nanotechnol. 2019, 19, 7591–7595. [Google Scholar] [CrossRef] [PubMed]
- Gong, Z.; Karandikar, S.; Zhang, X.; Kotipalli, V.; Lvov, Y.; Que, L. Composite nanomaterial thin film-based biosensors. Sensors 2010, 29–32. [Google Scholar] [CrossRef]
- Xia, H.; Tang, H.; Zhou, B.; Li, Y.; Zhang, X.; Shi, Z.; Deng, L.; Song, R.; Li, L.; Zhang, Z.; et al. Mediator-free electron-transfer on patternable hierarchical meso/macro porous bienzyme interface for highly-sensitive sweat glucose and surface electromyography monitoring. Sens. Actuators B Chem. 2020, 312, 127962. [Google Scholar] [CrossRef]
- Zheng, B.; Lin, X.; Zhang, X.; Wu, D.; Matyjaszewski, K. Emerging Functional Porous Polymeric and Carbonaceous Materials for Environmental Treatment and Energy Storage. Adv. Funct. Mater. 2019, 30, 1907006. [Google Scholar] [CrossRef]
- Zuo, Y.; Liu, R.; Zhang, X.; Nadimicherla, R.; Huang, J.; Lu, Y.; Liu, S.; Wu, D.; Fu, R. A new supramolecular binder strongly enhancing the electrochemistry performance for lithium-sulfur batteries. Chem. Commun. 2019, 55, 13924–13927. [Google Scholar] [CrossRef]
- Zhu, Z.-R.; Geng, W.M.; Zhu, Q.X.; Ethiraj, A.S.; Wang, T.; Jing, L.-C.; Ning, Y.-J.; Tian, Y.; Geng, W.-H.; Wu, L.; et al. Highly transparent, low sheet resistance and stable tannic acid modified-SWCNT/AgNW double-layer conductive network for organic light emitting diodes. Nanotechnology 2020, 32, 15708. [Google Scholar] [CrossRef] [PubMed]
- Wolf, U.; Arkhipov, V.I.; Bässler, H. Current injection from a metal to a disordered hopping system. I. Monte Carlo simulation. Phys. Rev. B 1999, 59, 7507. [Google Scholar] [CrossRef]
- Hu, L.; Hecht, D.S.; Gruüner, G. Carbon nanotube thin films: Fabrication, properties, and applications. Chem. Rev. 2010, 110, 5790–5844. [Google Scholar] [CrossRef]
- Hong, K.; Lee, J.-L. Review paper: Recent developments in light extraction technologies of organic light emitting diodes. Electron. Mater. Lett. 2011, 7, 77–91. [Google Scholar] [CrossRef]
- Han, T.-H.; Lee, Y.; Choi, M.-R.; Woo, S.; Bae, S.-H.; Hong, B.H.; Ahn, J.-H.; Lee, T.-W. Extremely efficient flexible organic light-emitting diodes with modified graphene anode. Nat. Photon. 2012, 6, 105–110. [Google Scholar] [CrossRef]







| Concentrations of CNT Solutions (mg/mL) | 0.0 | 0.2 | 1.0 |
|---|---|---|---|
| Content of Element S (%) | 5.47 ± 0.2 | 6.45 ± 0.2 | 8.28 ± 0.2 |
| Materials | Sheet Resistance (Ω/sq) | Transmittance (T%) | Ref. |
|---|---|---|---|
| SWCNTs | 128 | 90 | [8] |
| SWCNTs | 124 | 80 | [11] |
| SWCNTs | 86 | 80 | [54] |
| PEDOT: PSS | 113 | 91 | [32] |
| AgNWs | 86 | 80 | [18] |
| reduced GO | 642 | 80 | [15] |
| PEDOT: PSS | 92.2 | 92 | Our work |
| SWCNTs, PEDOT: PSS | 100.34 | 90.1 | Our work |
| SWCNTs, PEDOT: PSS | 70.6 | 81 | [7] |
| CNTs, PEDOT: PSS | 173 | 55.2 | [23] |
| CNTs, PEDOT: PSS | 95.15 | 87.72 | [31] |
| CNTs, PEDOT: PSS | 89.1 | 91 | [55] |
| SWCNTs, AgNWs | 29.2 | 80 | [17] |
| CNTs, GO | 146 | 86 | [25] |
| PEDOT: PSS, GO | 84 | 87 | [56] |
| Type of TCFs | Type of Post-Treatment | |
|---|---|---|
| Methanol | Methanol+HNO3 | |
| CNT | Complete removal | Complete removal |
| CNT + TX-100 | Complete removal | Complete removal |
| CNT + TX-100 + PEDOT: PSS | Less removal | No removal |
Publisher’s Note: MDPI stays neutral with regard to jurisdictional claims in published maps and institutional affiliations. |
© 2021 by the authors. Licensee MDPI, Basel, Switzerland. This article is an open access article distributed under the terms and conditions of the Creative Commons Attribution (CC BY) license (https://creativecommons.org/licenses/by/4.0/).
Share and Cite
Tian, Y.; Wang, T.; Zhu, Q.; Zhang, X.; Ethiraj, A.S.; Geng, W.-M.; Geng, H.-Z. High-Performance Transparent PEDOT: PSS/CNT Films for OLEDs. Nanomaterials 2021, 11, 2067. https://doi.org/10.3390/nano11082067
Tian Y, Wang T, Zhu Q, Zhang X, Ethiraj AS, Geng W-M, Geng H-Z. High-Performance Transparent PEDOT: PSS/CNT Films for OLEDs. Nanomaterials. 2021; 11(8):2067. https://doi.org/10.3390/nano11082067
Chicago/Turabian StyleTian, Ying, Tao Wang, Qingxia Zhu, Xingcai Zhang, Anita Sagadevan Ethiraj, Wen-Ming Geng, and Hong-Zhang Geng. 2021. "High-Performance Transparent PEDOT: PSS/CNT Films for OLEDs" Nanomaterials 11, no. 8: 2067. https://doi.org/10.3390/nano11082067
APA StyleTian, Y., Wang, T., Zhu, Q., Zhang, X., Ethiraj, A. S., Geng, W.-M., & Geng, H.-Z. (2021). High-Performance Transparent PEDOT: PSS/CNT Films for OLEDs. Nanomaterials, 11(8), 2067. https://doi.org/10.3390/nano11082067

