Effect of Serum Albumin on Porphyrin-Quantum Dot Complex Formation, Characteristics and Spectroscopic Analysis
Abstract
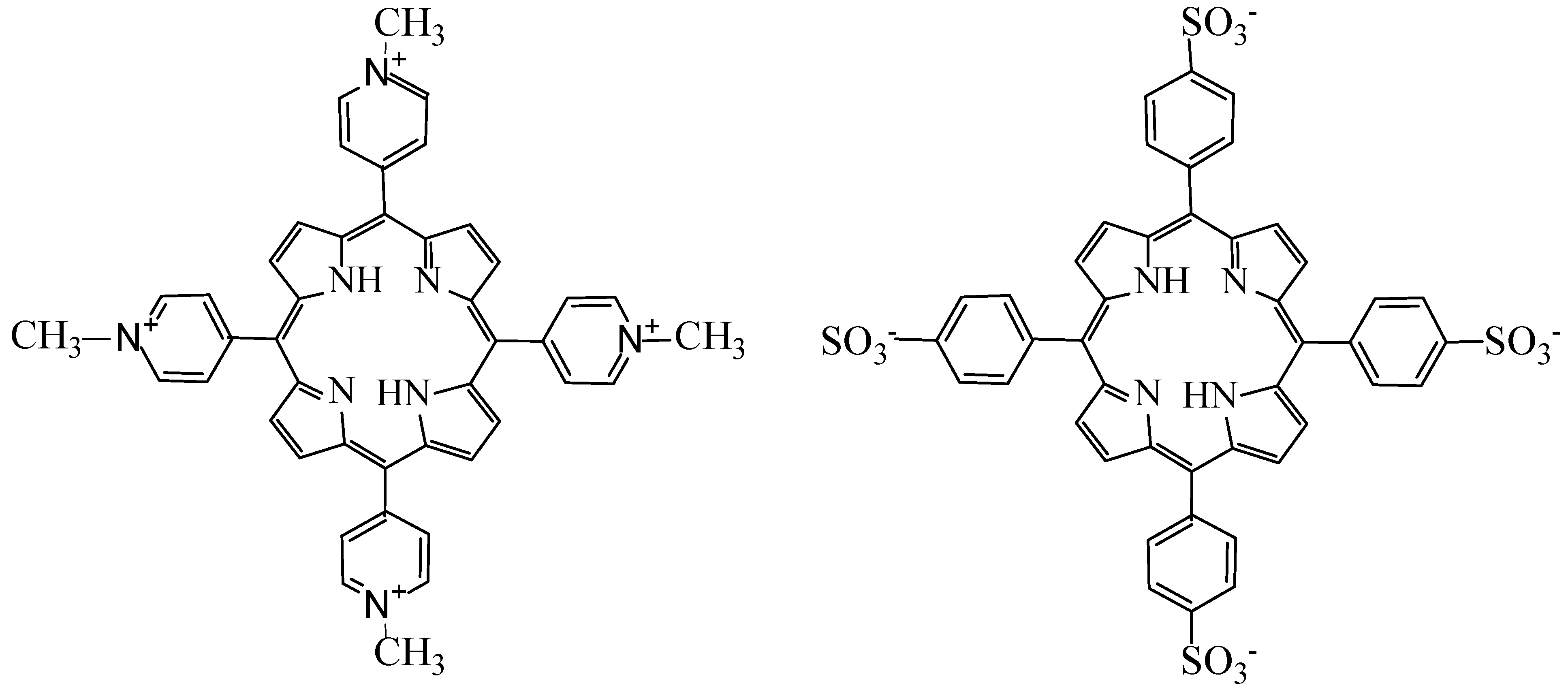
:1. Introduction
2. Materials and Methods
2.1. Steady-State Optical Absorption and Fluorescence Measurements
2.2. Measurements of Time Resolved Fluorescence
3. Results and Discussion
3.1. Quantum Dot Interaction with BSA
3.2. Effect of BSA upon QD Interaction with TMPyP Porphyrin
3.3. Effect of BSA on Interaction of QD with TPPS4 Porphyrin
3.3.1. Effect of BSA on Interaction of QD with TPPS4 Porphyrin at pH 7.0
3.3.2. Effect of BSA on Interaction of QD with TPPS4 Porphyrin at pH 4.0
4. Conclusions
Author Contributions
Funding
Data Availability Statement
Conflicts of Interest
References
- Xue, X.; Lindstrom, A.; Li, Y. Porphyrin-Based Nanomedicines for Cancer Treatment. Bioconj. Chem. 2019, 30, 1585–1603. [Google Scholar] [CrossRef]
- Gomes, A.T.P.C.; Neves, M.G.P.M.S.; Cavaleiro, J.A.S. Cancer, Photodynamic Therapy and Porphyrin-Type Derivatives. An. Acad. Bras. Ciênc. 2018, 90 (Suppl. 2). [Google Scholar] [CrossRef]
- Kou, J.; Dou, D.; Yang, L. Porphyrin photosensitizers in photodynamic therapy and its applications. Oncotarget. 2017, 8, 81591–81603. [Google Scholar] [CrossRef] [Green Version]
- Cui, L.; Chen, J.; Zheng, G. Chapter 7: Porphyrin Nanoparticles for Cancer Imaging and Phototherapy. In Handbook of Photodynamic Therapy, 1st ed.; World Scientific Publishing Company: Singapore, 2016; pp. 273–293. [Google Scholar] [CrossRef]
- Pushpan, S.K.; Venkatraman, S.; Anand, V.G.; Sankar, J.; Parmeswaran, D.; Ganesan, S.; Chandrashekar, T.K. Porphyrins in Photodynamic Therapy—A Search for Ideal Photosensitizers. Anti-Curr. Med. Chem.—Anti-Cancer Agents 2002, 2, 187–207. [Google Scholar] [CrossRef]
- Shi, J.; Liu, T.W.B.; Chen, J.; Green, D.; Jaffray, D.; Wilson, B.C.; Wang, F.; Zheng, G. Transforming a Targeted Porphyrin Theranostic Agent into a PET Imaging Probe for Cancer. Theranostics 2011, 1, 363–370. [Google Scholar] [CrossRef] [PubMed] [Green Version]
- Ricchelli, F.; Gobbo, S. Porphyrins as fluorescent probes for monitoring phase transitions of lipid domains in biological membranes. Factors influencing the microenvironment of haematoporphyrin and protoporphyrin in liposomes. J. Photochem. Photobiol. B Biol. 1995, 29, 65–70. [Google Scholar] [CrossRef]
- Liu, F.; Shen, Y.-C.; Chen, S.; Yan, G.-P.; Zhang, Q.; Guo, Q.-Z.; Gu, Y.-T. Tumor-Targeting Fluorescent Probe Based on Naphthalimide and Porphyrin Groups. Biol. Chem. Chem. Biol. 2020, 5, 7680–7684. [Google Scholar] [CrossRef]
- Burda, C.; Chen, X.; Narayanan, R.; El-Sayed, M.A. Chemistry and Properties of Nanocrystals of Different Shapes. Chem. Rev. 2005, 105, 1025–1102. [Google Scholar] [CrossRef] [PubMed]
- Buhbut, S.; Itzhakov, S.; Tauber, E.; Shalom, M.; Hod, I.; Geiger, T.; Garini, Y.; Oron, D.; Zaban, A. Built-in Quantum Dot Antennas in Dye-Sensitized Solar Cells. ACS Nano 2010, 4, 1293–1298. [Google Scholar] [CrossRef]
- Mokhlespour, S.; Haverkort, J.E.M.; Slepyan, G.Y.; Maksimenko, S.A.; Hoffmann, A. Quantum Dot Lattice as Nano-Antenna for Collective Spontaneous Emission. In Fundamental and Applied Nano-Electromagnetics; Maffucci, A., Maksimenko, S.A., Eds.; NATO Science for Peace and Security Series B: Physics and Biophysics; Springer: Dordrecht, The Netherlands, 2016. [Google Scholar] [CrossRef]
- Nabiev, I.; Rakovich, A.; Sukhanova, A.; Lukashev, E.; Zagidullin, V.; Pachenko, V.; Rakovich, Y.P.; Donegan, J.F.; Rubin, A.B.; Govorov, A.O. Fluorescent Quantum Dots as Artificial Antennas for Enhanced Light Harvesting and Energy Transfer to Photosynthetic Reaction Centers. Angew. Chem. Int. Ed. Engl. 2010, 49, 7217–7221. [Google Scholar] [CrossRef] [PubMed]
- Borissevitch, I.E.; Lukashev, E.P.; Oleinikov, I.P.; Pavanelli, A.L.S.; Gonçalves, P.J.; Knox, P.P. Electrostatic interactions and covalent binding effects on the energy transfer between quantum dots and reaction centers of purple bacteria. J. Lumin. 2019, 207, 129–136. [Google Scholar] [CrossRef]
- Zhang, Y. Surface Functionalization of Quantum Dots for Biotechnological Applications. Ph.D. Thesis, Iowa State University, Ames, IA, USA, April 2012. [Google Scholar]
- Karakoti, A.S.; Shukla, R.; Shanker, R.; Singh, S. Surface functionalization of quantum dots for biological applications. Adv. Colloid Interface Sci. 2015, 215, 28–45. [Google Scholar] [CrossRef]
- Chandan, R.H.; Schiffman, J.D.; Balakrishna, R.G. Quantum dots as fluorescent probes: Synthesis, surface chemistry, energy transfer mechanisms, and applications. Sens. Actuators B Chem. 2018, 258, 1191–1214. [Google Scholar] [CrossRef]
- Rizvi, S.B.; Ghaderi, S.; Keshtgar, M.; Seifalian, A.M. Semiconductor quantum dots as fluorescent probes for in vitro and in vivo bio-molecular and cellular imaging. Nano Rev. 2010, 1. [Google Scholar] [CrossRef] [PubMed]
- Frasco, M.F.; Chaniotakis, N. Bioconjugated quantum dots as fluorescent probes for bioanalytical applications. Anal. Bioanal Chem. 2010, 396, 229–240. [Google Scholar] [CrossRef]
- Samia, A.C.S.; Dayal, S.; Burda, C. Quantum Dot-based Energy Transfer: Perspectives and Potential for Applications in Photodynamic Therapy. Photochem. Photobiol. 2006, 82, 617–625. [Google Scholar] [CrossRef]
- Martynenko, I.V.; Kuznetsova, V.A.; Orlova, A.O.; Kanaev, P.A.; Maslov, V.G.; Loudon, A.; Zaharov, V.; Parfenov, P.; Gun’ko, Y.K.; Baranov, A.V. Chlorin e6–ZnSe/ZnS quantum dots based system as reagent for photodynamic therapy. Nanotechnology 2015, 26, 055102. [Google Scholar] [CrossRef] [PubMed]
- Dayal, S.; Krolicki, R.; Lou, Y.; Qiu, X.; Berlin, J.C.; Kenney, M.E.; Burda, C. Femtosecond time-resolved energy transfer from CdSe nanoparticles to phthalocyanines. Appl. Phys. B Lasers Opt. 2006, 84, 309–315. [Google Scholar] [CrossRef]
- Gromova, Y.A.; Orlova, A.O.; Maslov, V.G.; Fedorov, A.V.; Baranov, A.V. Fluorescence energy transfer in quantum dot/azo dye complexes in polymer track membranes. Nanoscale Res. Lett. 2013, 8, 452. [Google Scholar] [CrossRef] [PubMed] [Green Version]
- Białek, R.; Burdziński, G.; Gibasiewicz, K.; Worch, R.; Grzyb, J. Competition between Photoinduced Electron Transfer and Resonance Energy Transfer in an Example of Substituted Cytochrome c–Quantum Dot Systems. J. Phys. Chem. B 2021, 125, 3307–3320. [Google Scholar] [CrossRef]
- Jhonsi, A.M.; Renganathan, R. Investigations on the photoinduced interaction of water soluble thioglycolic acid (TGA) capped CdTe quantum dots with certain porphyrins. J. Colloid Interface Sci. 2010, 344, 596–602. [Google Scholar] [CrossRef]
- Zhang, X.; Liu, Z.; Ma, L.; Hossu, M.; Chen, W. Interaction of porphyrins with CdTe quantum dots. Nanotechnology 2011, 22, 195501–195510. [Google Scholar] [CrossRef] [PubMed]
- Borissevitch, I.E.; Parra, G.; Zagidullin, V.; Lukashev, E.; Knox, P.; Pashenko, V.; Rubin, A. Cooperative effects in CdSe/ZnS-PEGOH quantum dot luminescence quenching by a water soluble porphyrin. J. Lumin. 2013, 134, 83–87. [Google Scholar] [CrossRef]
- Parra, G.G.; Ferreira, L.P.; Gonçalves, P.J.; Sizova, S.V.; Oleinikov, V.A.; Morozov, V.N.; Kuzmin, V.A.; Borissevitch, I.E. Stimulation of Cysteine-Coated CdSe/ZnS Quantum Dot Luminescence by meso-Tetrakis (p-sulfonato-phenyl) Porphyrin. Nanoscale Res. Lett. 2018, 13. [Google Scholar] [CrossRef]
- Parra, G.G.; Pavanelli, A.L.S.; Franco, L.P.; Máximo, L.N.C.; da Silva, R.S.; Borissevitch, I. Interaction of CdTe-MPA quantum dots with meso-tetra methyl pyridyl porphyrin. Charge transfer complex formation. J. Photochem. Photobiol. A Chem. 2020, 398, 112580. [Google Scholar] [CrossRef]
- Pavanelli, A.L.S.; Máximo, L.N.C.; da Silva, R.S.; Borissevitch, I. Interaction between TPPS4 porphyrin and CdTe-3-MPA quantum dot: Proton and energy transfer. J. Lumin. 2021, 237, 118213. [Google Scholar] [CrossRef]
- Peters, T., Jr. All about Albumin. In Biochemistry, Genetics, and Medical Applications; Academic Press: Cambridge, MA, USA, 1996; ISBN 9780080527048. [Google Scholar]
- Kratz, F.; Beyer, U. Serum proteins as drug carriers of anticancer agents, a review. Drug Deliv. 1998, 5, 281–299. [Google Scholar] [CrossRef]
- Dennis, M.S.; Jin, H.; Dugger, D.; Yang, R.; McFarland, L.; Ogasawara, A.; Williams, S.; Cole, M.J.; Ross, S.; Schwall, R. Imaging Tumors with an Albumin-Binding Fab, a Novel Tumor-Targeting Agent. Cancer Res. 2007, 67, 254–261. [Google Scholar] [CrossRef] [Green Version]
- Franco, L.P.; Cicillini, S.; Biazzotto, J.; Schiavon, M.; Mikhailovsky, A.; Burks, P.; Garcia, J.; Ford, P.; Silva, R. Photoreactivity of a quantum dot-ruthenium nitrosyl conjugate. J. Phys. Chem. A 2014, 118, 12184–12191. [Google Scholar] [CrossRef] [Green Version]
- Yu, W.W.; Qu, L.; Guo, W.; Peng, X. Experimental Determination of the Extinction Coefficient of CdTe, CdSe, and CdS Nanocrystals. Chem. Mater. 2003, 15, 2854–2860. [Google Scholar] [CrossRef]
- Tabak, M.; Borisevitch, I.E. Interaction of dipyridamole with micelles of lysophosphatidylcholine and with bovine serum albumin: Fluorescence studies. BBA—Gen. Sub. 1992, 1116, 241–249. [Google Scholar] [CrossRef]
- Patty, F.A. (Ed.) Industrial Hygiene and Toxicology, 2nd ed.; John Wiley & Sons, Inc.: New York, NY, USA, 1963; Volume II. [Google Scholar] [CrossRef]
- Borissevitch, I.E.; Tominaga, T.T.; Imasato, H.; Tabak, M. Fluorescence and optical absorption study of interaction of two water soluble porphyrins with bovine serum albumin. The role of albumin and porphyrin aggregation. J. Lumin. 1996, 69, 65–76. [Google Scholar] [CrossRef]
- Aggarwal, L.P.F.; Borissevitch, I.E. On the dynamics of the TPPS4 aggregation in aqueous solutions: Successive formation of H and J aggregates. Spectrochim. Acta A Mol. Biomol. Spectrosc. 2006, 63, 227–233. [Google Scholar] [CrossRef] [PubMed]
- Gonçalves, P.J.; De Boni, L.; Barbosa Neto, N.M.; Rodrigues, J.J.; Zílio, S.C.; Borissevitch, I.E. Effect of protonation on the photophysical properties of meso-tetra(sulfonatophenyl) porphyrin. Chem. Phys. Lett. 2005, 407, 236–241. [Google Scholar] [CrossRef]










| [BSA], μM | τ1, ns | I1 | τ2, ns | I2 |
|---|---|---|---|---|
| 0 | 0.913 ± 0.004 | 0.196 ± 0.002 | 20.5 ± 0.02 | 0.804 ± 0.008 |
| 2 | 0.867 ± 0.004 | 0.169 ± 0.002 | 21.4 ± 0.02 | 0.831 ± 0.008 |
| 4 | 0.920 ± 0.003 | 0.176 ± 0.002 | 19.6 ± 0.01 | 0.824 ± 0.008 |
| 6 | 0.903 ± 0.004 | 0.156 ± 0.002 | 18.9 ± 0.03 | 0.844 ± 0.008 |
| 8 | 0.867 ± 0.005 | 0.160 ± 0.002 | 18.0 ± 0.03 | 0.841 ± 0.008 |
| 10 | 0.888 ± 0.005 | 0.148 ± 0.002 | 21.5 ± 0.04 | 0.852 ± 0.008 |
| 15 | 0.922 ± 0.003 | 0.157 ± 0.002 | 20.4 ± 0.03 | 0.843 ± 0.008 |
Publisher’s Note: MDPI stays neutral with regard to jurisdictional claims in published maps and institutional affiliations. |
© 2021 by the authors. Licensee MDPI, Basel, Switzerland. This article is an open access article distributed under the terms and conditions of the Creative Commons Attribution (CC BY) license (https://creativecommons.org/licenses/by/4.0/).
Share and Cite
Pavanelli, A.L.S.; Máximo, L.N.C.; da Silva, R.S.; Borissevitch, I.E. Effect of Serum Albumin on Porphyrin-Quantum Dot Complex Formation, Characteristics and Spectroscopic Analysis. Nanomaterials 2021, 11, 1674. https://doi.org/10.3390/nano11071674
Pavanelli ALS, Máximo LNC, da Silva RS, Borissevitch IE. Effect of Serum Albumin on Porphyrin-Quantum Dot Complex Formation, Characteristics and Spectroscopic Analysis. Nanomaterials. 2021; 11(7):1674. https://doi.org/10.3390/nano11071674
Chicago/Turabian StylePavanelli, André L. S., Leandro N. C. Máximo, Roberto S. da Silva, and Iouri E. Borissevitch. 2021. "Effect of Serum Albumin on Porphyrin-Quantum Dot Complex Formation, Characteristics and Spectroscopic Analysis" Nanomaterials 11, no. 7: 1674. https://doi.org/10.3390/nano11071674
APA StylePavanelli, A. L. S., Máximo, L. N. C., da Silva, R. S., & Borissevitch, I. E. (2021). Effect of Serum Albumin on Porphyrin-Quantum Dot Complex Formation, Characteristics and Spectroscopic Analysis. Nanomaterials, 11(7), 1674. https://doi.org/10.3390/nano11071674

