Strong Crystallographic Influence on Spin Hall Mechanism in PLD-Grown IrO2 Thin Films
Abstract
1. Introduction
2. Materials and Methods
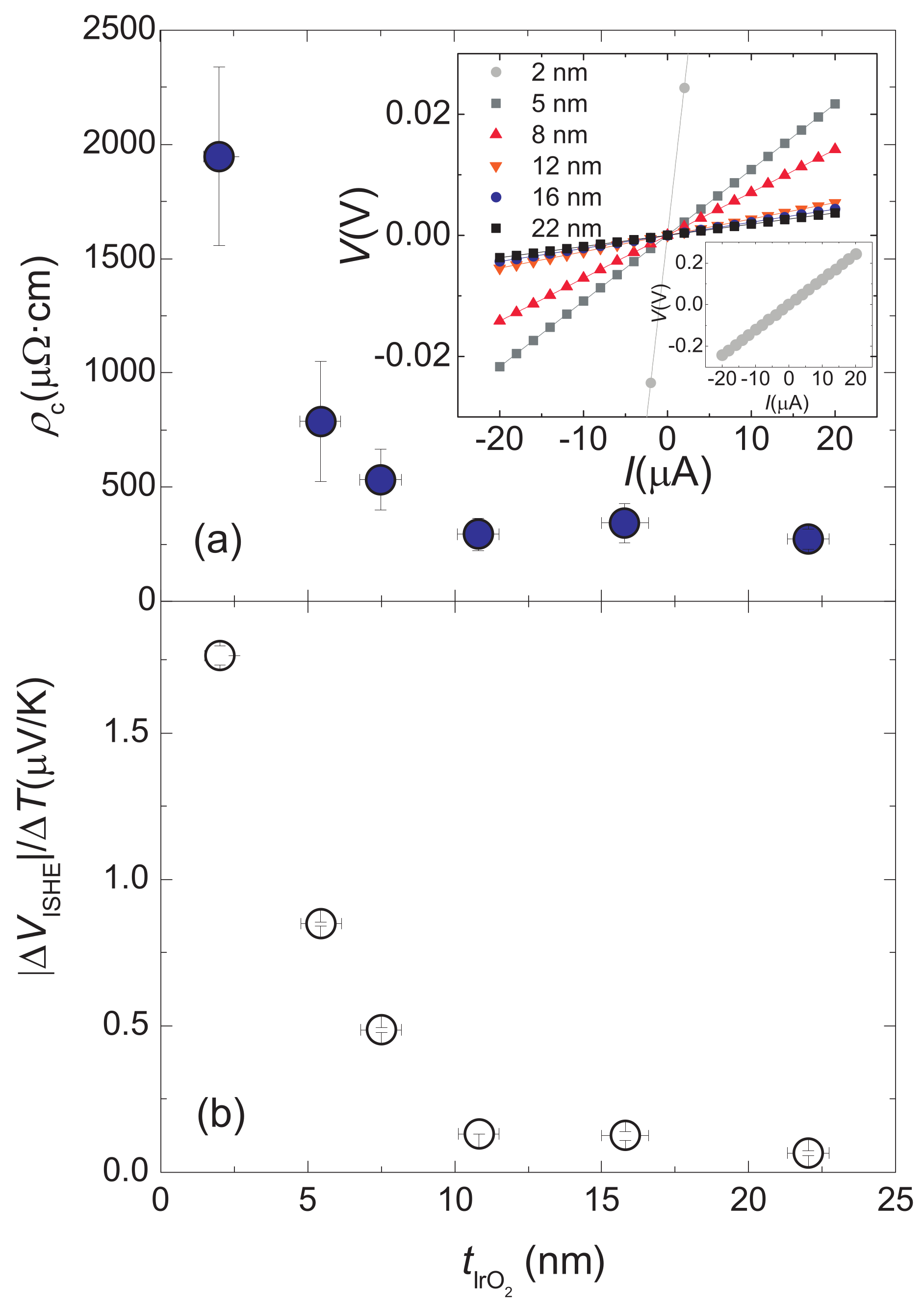
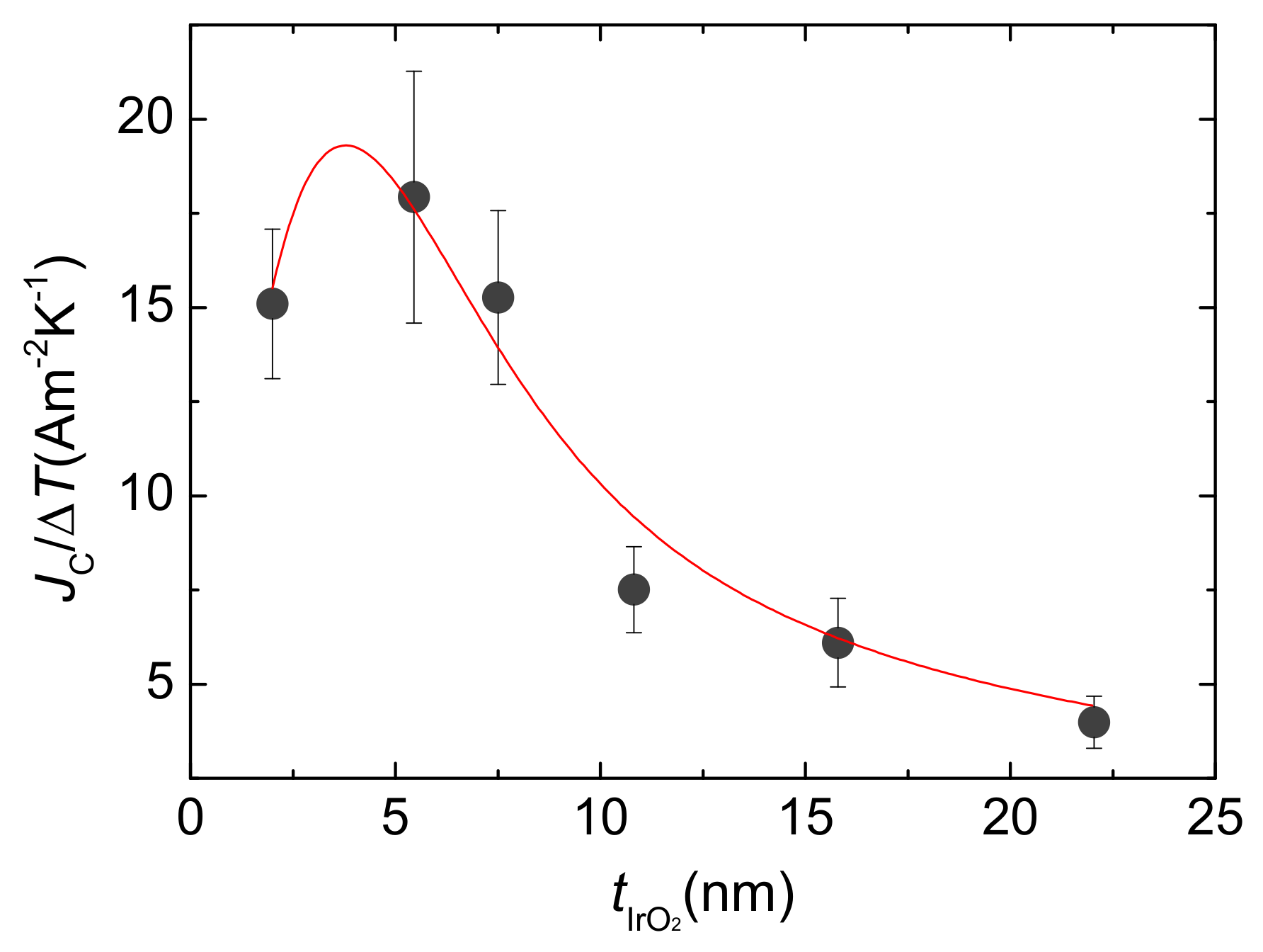
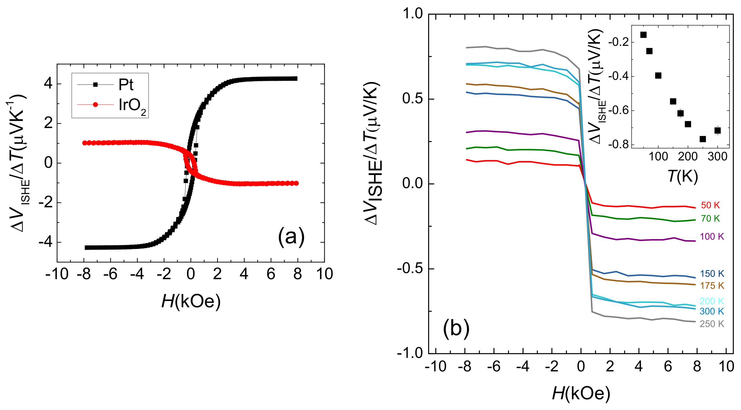
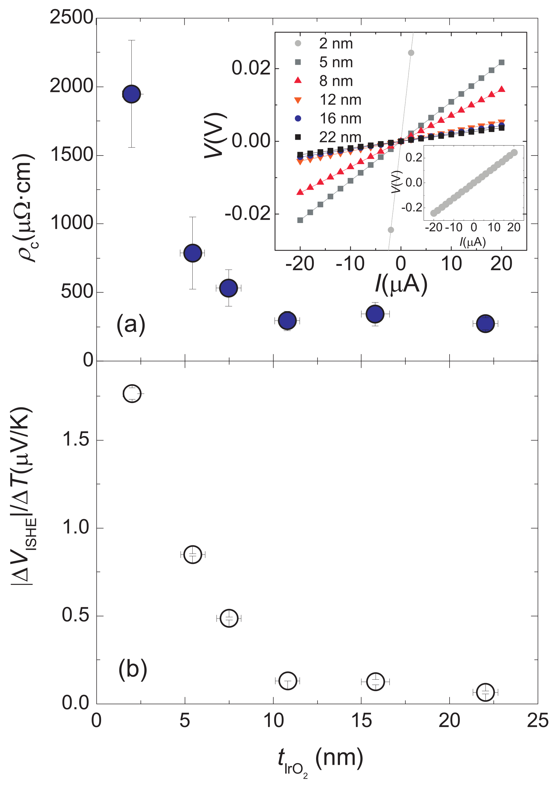
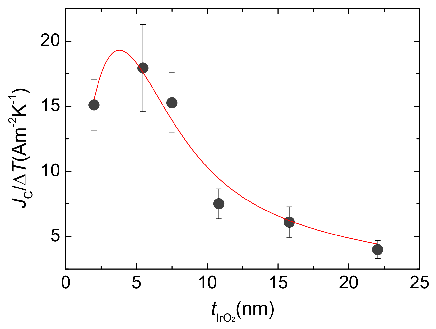
3. Results and Discussion
4. Conclusions
Author Contributions
Funding
Institutional Review Board Statement
Informed Consent Statement
Data Availability Statement
Acknowledgments
Conflicts of Interest
References
- Dyakonov, M.I.; Perel, V.I. Possibility of orienting electron spins with current. JETP Lett. 1971, 13, 467–469. [Google Scholar]
- Dyakonov, M.I.; Perel, V.I. Current-induced spin orientation of electrons in semiconductors. Phys. Lett. A 1971, 35, 459–460. [Google Scholar] [CrossRef]
- Hirsch, J.E. Spin Hall Effect. Phys. Rev. Lett. 1999, 83, 1834–1837. [Google Scholar] [CrossRef]
- Kato, Y.K.; Myers, R.C.; Gossard, A.C.; Awschalom, D.D. Observation of the spin hall effect in semiconductors. Science 2004, 306, 1910–1913. [Google Scholar] [CrossRef]
- Maekawa, S.; Valenzuela, S.; Saitoh, E.; Kimura, T. Spin Current; Oxford University Press: Oxford, UK, 2017. [Google Scholar] [CrossRef]
- Zhang, S. Spin Hall effect in the presence of spin diffusion. Phys. Rev. Lett. 2000, 85, 393–396. [Google Scholar] [CrossRef]
- Valenzuela, S.O.; Tinkham, M. Direct electronic measurement of the spin Hall effect. Nature 2006, 442, 176–179. [Google Scholar] [CrossRef] [PubMed]
- Saitoh, E.; Ueda, M.; Miyajima, H.; Tatara, G. Conversion of spin current into charge current at room temperature: Inverse spin-Hall effect. Appl. Phys. Lett. 2006, 88, 1–4. [Google Scholar] [CrossRef]
- Nagaosa, N.; Sinova, J.; Onoda, S.; MacDonald, A.H.; Ong, N.P. Anomalous Hall effect. Rev. Mod. Phys. 2010, 82, 1539–1592. [Google Scholar] [CrossRef]
- Sinova, J.; Valenzuela, S.O.; Wunderlich, J.; Back, C.H.; Jungwirth, T. Spin Hall effects. Rev. Mod. Phys. 2015, 87, 1213–1260. [Google Scholar] [CrossRef]
- Hoffmann, A. Spin Hall Effects in Metals. IEEE Trans. Magn. 2013, 49, 5172–5193. [Google Scholar] [CrossRef]
- Gradhand, M.; Fedorov, D.V.; Zahn, P.; Mertig, I. Extrinsic spin hall effect from first principles. Phys. Rev. Lett. 2010, 104, 2–5. [Google Scholar] [CrossRef] [PubMed]
- Smit, J. The Spontaneous Hall Effect in Ferromagnets. Physica 1958, 24, 39–51. [Google Scholar] [CrossRef]
- Berger, L. Side-jump mechanism for the hall effect of ferromagnets. Phys. Rev. B 1970, 2, 4559–4566. [Google Scholar] [CrossRef]
- Sinova, J.; Culcer, D.; Niu, Q.; Sinitsyn, N.A.; Jungwirth, T.; MacDonald, A.H. Universal intrinsic spin Hall effect. Phys. Rev. Lett. 2004, 92, 126603. [Google Scholar] [CrossRef]
- Murakami, S.; Nagaosa, N.; Zhang, S.C. Dissipationless Quantum Spin Current at Room Temperature. Science 2003, 301, 1348–1351. [Google Scholar] [CrossRef]
- Clancy, J.P.; Chen, N.; Kim, C.Y.; Chen, W.F.; Plumb, K.W.; Jeon, B.C.; Noh, T.W.; Kim, Y.J. Spin-orbit coupling in iridium-based 5d compounds probed by x-ray absorption spectroscopy. Phys. Rev. B 2012, 86, 195131. [Google Scholar] [CrossRef]
- Butler, S.R.; Gillson, J.L. Crystal growth, electrical resistivity and lattice parameters of RuO2 and IrO2. Mater. Res. Bull. 1971, 6, 81–89. [Google Scholar] [CrossRef]
- Fujiwara, K.; Fukuma, Y.; Matsuno, J.; Idzuchi, H.; Niimi, Y.; Otani, Y.; Takagi, H. 5d iridium Oxide As a Material for Spin-Current Detection. Nat. Commun. 2013, 4, 2893. [Google Scholar] [CrossRef] [PubMed]
- Matsuhira, K.; Wakeshima, M.; Nakanishi, R.; Yamada, T.; Nakamura, A.; Kawano, W.; Takagi, S.; Hinatsu, Y. Metal-insulator transition in pyrochlore iridates Ln2Ir2O7 (Ln = Nd, Sm, and Eu). J. Phys. Soc. Jpn. 2007, 76, 043706. [Google Scholar] [CrossRef]
- Yang, B.J.; Kim, Y.B. Topological insulators and metal-insulator transition in the pyrochlore iridates. Phys. Rev. B Condens. Matter Mater. Phys. 2010, 82, 085111. [Google Scholar] [CrossRef]
- Nakatsuji, S.; MacHida, Y.; Maeno, Y.; Tayama, T.; Sakakibara, T.; Van Duijn, J.; Balicas, L.; Millican, J.N.; MacAluso, R.T.; Chan, J.Y. Metallic spin-liquid behavior of the geometrically frustrated kondo lattice Pr2Ir2O7. Phys. Rev. Lett. 2006, 96, 087204. [Google Scholar] [CrossRef]
- Disseler, S.M.; Giblin, S.R.; Dhital, C.; Lukas, K.C.; Wilson, S.D.; Graf, M.J. Magnetization and Hall effect studies on the pyrochlore iridate Nd2Ir2O7. Phys. Rev. B 2013, 87, 060403. [Google Scholar] [CrossRef]
- Kim, B.J.; Ohsumi, H.; Komesu, T.; Sakai, S.; Morita, T.; Takagi, H.; Arima, T. Phase-Sensitive Observation of a Spin-Orbital Mott State in Sr2IrO4. Science 2009, 323, 1329–1332. [Google Scholar] [CrossRef] [PubMed]
- Kim, H.S.; Kim, C.H.; Jeong, H.; Jin, H.; Yu, J. Strain-induced topological insulator phase and effective magnetic interactions in Li2IrO3. Phys. Rev. B 2013, 87, 165117. [Google Scholar] [CrossRef]
- Qiu, Z.; Hou, D.; Kikkawa, T.; Uchida, K.I.; Saitoh, E. All-oxide spin Seebeck effects. Appl. Phys. Express 2015, 8, 083001. [Google Scholar] [CrossRef][Green Version]
- Uchida, K.; Ishida, M.; Kikkawa, T.; Kirihara, A.; Murakami, T.; Saitoh, E. Longitudinal spin seebeck effect: From fundamentals to applications. J. Phys. Condens. Matter 2014, 26, 343202. [Google Scholar] [CrossRef] [PubMed]
- Adachi, H.; Uchida, K.I.; Saitoh, E.; Maekawa, S. Theory of the spin Seebeck effect. Rep. Prog. Phys. 2013, 76, 036501. [Google Scholar] [CrossRef] [PubMed]
- Sola, A.; Basso, V.; Kuepferling, M.; Pasquale, M.; Ne Meier, D.C.; Reiss, G.; Kuschel, T.; Kikkawa, T.; Uchida, K.I.; Saitoh, E.; et al. Spincaloritronic Measurements: A Round Robin Comparison of the Longitudinal Spin Seebeck Effect. IEEE Trans. Instrum. Meas. 2019, 68, 1765–1773. [Google Scholar] [CrossRef]
- Bauer, G.E.W.; Saitoh, E.; Wees, B.J.V.; St, P. Spin caloritronics. Nat. Publ. Group 2012, 11, 391–399. [Google Scholar] [CrossRef]
- Mattheiss, L.F. Electronic structure of RuO2, OsO2, and IrO2. Phys. Rev. B 1976, 13, 2433–2450. [Google Scholar] [CrossRef]
- Wertheim, G.K.; Guggenheim, H.J. Conduction-electron screening in metallic oxides: IrO2. Phys. Rev. B 1980, 22, 4680–4683. [Google Scholar] [CrossRef]
- Kahk, J.M.; Poll, C.G.; Oropeza, F.E.; Ablett, J.M.; Céolin, D.; Rueff, J.P.; Agrestini, S.; Utsumi, Y.; Tsuei, K.D.; Liao, Y.F.; et al. Understanding the Electronic Structure of IrO2 Using Hard-X-ray Photoelectron Spectroscopy and Density-Functional Theory. Phys. Rev. Lett. 2014, 112, 117601. [Google Scholar] [CrossRef] [PubMed]
- Ping, Y.; Galli, G.; Goddard, W.A. Electronic Structure of IrO2: The Role of the Metal d Orbitals. J. Phys. Chem. C 2015, 119, 11570–11577. [Google Scholar] [CrossRef]
- Sun, Y.; Zhang, Y.; Liu, C.X.; Felser, C.; Yan, B. Dirac nodal lines and induced spin Hall effect in metallic rutile oxides. Phys. Rev. B 2017, 95, 235104. [Google Scholar] [CrossRef]
- Das, P.K.; Sławińska, J.; Vobornik, I.; Fujii, J.; Regoutz, A.; Kahk, J.M.; Scanlon, D.O.; Morgan, B.J.; McGuinness, C.; Plekhanov, E.; et al. Role of spin-orbit coupling in the electronic structure of IrO2. Phys. Rev. Mater. 2018, 2, 065001. [Google Scholar] [CrossRef]
- Daniels, R.R.; Margaritondo, G.; Georg, C.A.; Lévy, F. Electronic states of rutile dioxides: RuO2, IrO2, and RuxIr1-xO2. Phys. Rev. B 1984, 29, 1813–1818. [Google Scholar] [CrossRef]
- De Almeida, J.S.; Ahuja, R. Electronic and optical properties of RuO2 and IrO2. Phys. Rev. B 2006, 73, 165102. [Google Scholar] [CrossRef]
- Hirata, Y.; Ohgushi, K.; Yamaura, J.i.; Ohsumi, H.; Takeshita, S.; Takata, M.; Arima, T.h. Complex orbital state stabilized by strong spin-orbit coupling in a metallic iridium oxide IrO2. Phys. Rev. B 2013, 87, 161111. [Google Scholar] [CrossRef]
- Kawasaki, J.K.; Uchida, M.; Paik, H.; Schlom, D.G.; Shen, K.M. Evolution of electronic correlations across the rutile, perovskite, and Ruddelsden-Popper iridates with octahedral connectivity. Phys. Rev. B 2016, 94, 121104. [Google Scholar] [CrossRef]
- Kim, W.J.; Kim, S.Y.; Kim, C.H.; Sohn, C.H.; Korneta, O.B.; Chae, S.C.; Noh, T.W. Spin-orbit coupling induced band structure change and orbital character of epitaxial IrO2 films. Phys. Rev. B 2016, 93, 045104. [Google Scholar] [CrossRef]
- Riga, J.; Tenret-Noël, C.; Pireaux, J.J.; Caudano, R.; Verbist, J.J.; Gobillon, Y. Electronic structure of rutile oxides TiO2, RuO2 and IrO2 studied by X-ray Photoelectron Spectroscopy. Phys. Scr. 1977, 16, 351–354. [Google Scholar] [CrossRef]
- Jiménez-Cavero, P.; Lucas, I.; Anadón, A.; Ramos, R.; Niizeki, T.; Aguirre, M.H.; Algarabel, P.A.; Uchida, K.; Ibarra, M.R.; Saitoh, E.; et al. Spin Seebeck effect in insulating epitaxial γ-Fe2O3 thin films. APL Mater. 2017, 5, 026103. [Google Scholar] [CrossRef]
- Langford, J.I.; Wilson, A.J.C. Scherrer after sixty years: A survey and some new results in the determination of crystallite size. J. Appl. Cryst. 1978, 11, 102–113. [Google Scholar] [CrossRef]
- Ming, X.; Yamauchi, K.; Oguchi, T.; Picozzi, S. Metal-Insulator Transition and Jeff = 1/2 Spin-Orbit Insulating State in Rutile-based IrO2/TiO2 Superlattices. arXiv 2017, arXiv:1702.04408. [Google Scholar]
- Castel, V.; Vlietstra, N.; Ben Youssef, J.; Van Wees, B.J. Platinum thickness dependence of the inverse spin-Hall voltage from spin pumping in a hybrid yttrium iron garnet/platinum system. Appl. Phys. Lett. 2012, 101, 132414. [Google Scholar] [CrossRef]
- Saiga, Y.; Mizunuma, K.; Kono, Y.; Ryu, J.C.; Ono, H.; Kohda, M.; Okuno, E. Platinum thickness dependence and annealing effect of the spin-Seebeck voltage in platinum/yttrium iron garnet structures. Appl. Phys. Express 2014, 7, 093001. [Google Scholar] [CrossRef]
- Sushkov, O.P.; Milstein, A.I.; Mori, M.; Maekawa, S. Relativistic effects in scattering of polarized electrons. EPL Europhys. Lett. 2013, 103, 47003. [Google Scholar] [CrossRef]
- Fert, A.; Levy, P.M. Spin Hall Effect Induced by Resonant Scattering on Impurities in Metals. Phys. Rev. Lett. 2011, 106, 157208. [Google Scholar] [CrossRef]
- Chadova, K.; Fedorov, D.V.; Herschbach, C.; Gradhand, M.; Mertig, I.; Ködderitzsch, D.; Ebert, H. Separation of the individual contributions to the spin Hall effect in dilute alloys within the first-principles Kubo-Středa approach. Phys. Rev. B 2015, 92, 045120. [Google Scholar] [CrossRef]
- Li, Y.; Hou, D.; Ye, L.; Tian, Y.; Xu, J.; Su, G.; Jin, X. Evidence of the side jump mechanism in the anomalous Hall effect in paramagnets. EPL Europhys. Lett. 2015, 110, 27002. [Google Scholar] [CrossRef]
- Tian, Y.; Ye, L.; Jin, X. Proper Scaling of the Anomalous Hall Effect. Phys. Rev. Lett. 2009, 103, 087206. [Google Scholar] [CrossRef]
- Yue, D.; Jin, X. Towards a Better Understanding of the Anomalous Hall Effect. J. Phys. Soc. Jpn. 2017, 86, 011006. [Google Scholar] [CrossRef]
- Bose, A.; Nelson, J.N.; Zhang, X.S.; Jadaun, P.; Jain, R.; Schlom, D.G.; Ralph, D.C.; Muller, D.A.; Shen, K.M.; Buhrman, R.A. Effects of Anisotropic Strain on Spin-Orbit Torque Produced by the Dirac Nodal Line Semimetal IrO2. ACS Appl. Mater. Interfaces 2020, 12, 55411–55416. [Google Scholar] [CrossRef] [PubMed]
- Azevedo, A.; Vilela-Leão, L.H.; Rodríguez-Suárez, R.L.; Lacerda Santos, A.F.; Rezende, S.M. Spin pumping and anisotropic magnetoresistance voltages in magnetic bilayers: Theory and experiment. Phys. Rev. B 2011, 83, 144402. [Google Scholar] [CrossRef]
- Zhang, W.; Vlaminck, V.; Pearson, J.E.; Divan, R.; Bader, S.D.; Hoffmann, A. Determination of the Pt spin diffusion length by spin-pumping and spin Hall effect. Appl. Phys. Lett. 2013, 103, 242414. [Google Scholar] [CrossRef]
- Rojas-Sánchez, J.C.; Reyren, N.; Laczkowski, P.; Savero, W.; Attané, J.P.; Deranlot, C.; Jamet, M.; George, J.M.; Vila, L.; Jaffrès, H. Spin Pumping and Inverse Spin Hall Effect in Platinum: The Essential Role of Spin-Memory Loss at Metallic Interfaces. Phys. Rev. Lett. 2014, 112, 106602. [Google Scholar] [CrossRef] [PubMed]
- Isasa, M.; Villamor, E.; Hueso, L.E.; Gradhand, M.; Casanova, F. Temperature dependence of spin diffusion length and spin Hall angle in Au and Pt. Phys. Rev. B 2015, 91, 024402. [Google Scholar] [CrossRef]
- Tao, X.; Liu, Q.; Miao, B.; Yu, R.; Feng, Z.; Sun, L.; You, B.; Du, J.; Chen, K.; Zhang, S.; et al. Self-consistent determination of spin Hall angle and spin diffusion length in Pt and Pd: The role of the interface spin loss. Sci. Adv. 2018, 4, eaat1670. [Google Scholar] [CrossRef]





Publisher’s Note: MDPI stays neutral with regard to jurisdictional claims in published maps and institutional affiliations. |
© 2021 by the authors. Licensee MDPI, Basel, Switzerland. This article is an open access article distributed under the terms and conditions of the Creative Commons Attribution (CC BY) license (https://creativecommons.org/licenses/by/4.0/).
Share and Cite
Jiménez-Cavero, P.; Lucas, I.; Ara-Arteaga, J.; Ibarra, M.R.; Algarabel, P.A.; Morellón, L. Strong Crystallographic Influence on Spin Hall Mechanism in PLD-Grown IrO2 Thin Films. Nanomaterials 2021, 11, 1478. https://doi.org/10.3390/nano11061478
Jiménez-Cavero P, Lucas I, Ara-Arteaga J, Ibarra MR, Algarabel PA, Morellón L. Strong Crystallographic Influence on Spin Hall Mechanism in PLD-Grown IrO2 Thin Films. Nanomaterials. 2021; 11(6):1478. https://doi.org/10.3390/nano11061478
Chicago/Turabian StyleJiménez-Cavero, Pilar, Irene Lucas, Jorge Ara-Arteaga, M. Ricardo Ibarra, Pedro A. Algarabel, and Luis Morellón. 2021. "Strong Crystallographic Influence on Spin Hall Mechanism in PLD-Grown IrO2 Thin Films" Nanomaterials 11, no. 6: 1478. https://doi.org/10.3390/nano11061478
APA StyleJiménez-Cavero, P., Lucas, I., Ara-Arteaga, J., Ibarra, M. R., Algarabel, P. A., & Morellón, L. (2021). Strong Crystallographic Influence on Spin Hall Mechanism in PLD-Grown IrO2 Thin Films. Nanomaterials, 11(6), 1478. https://doi.org/10.3390/nano11061478

