Graphene/Reduced Graphene Oxide-Carbon Nanotubes Composite Electrodes: From Capacitive to Battery-Type Behaviour
Abstract
1. Introduction
2. General Information on Energy-Storage Materials
3. Composite Capacitive Electrodes Based on Graphene/Reduced Graphene Oxide-Carbon Nanotubes (G/rGO-CNT)
- commercially available graphene or graphene grown previously or directly in the process;
- rGO obtained after reduction of GO by high temperature, or by hydrazine hydrate (H6N2O), ammonium solution (NH4OH), vitamin C, acids, etc.
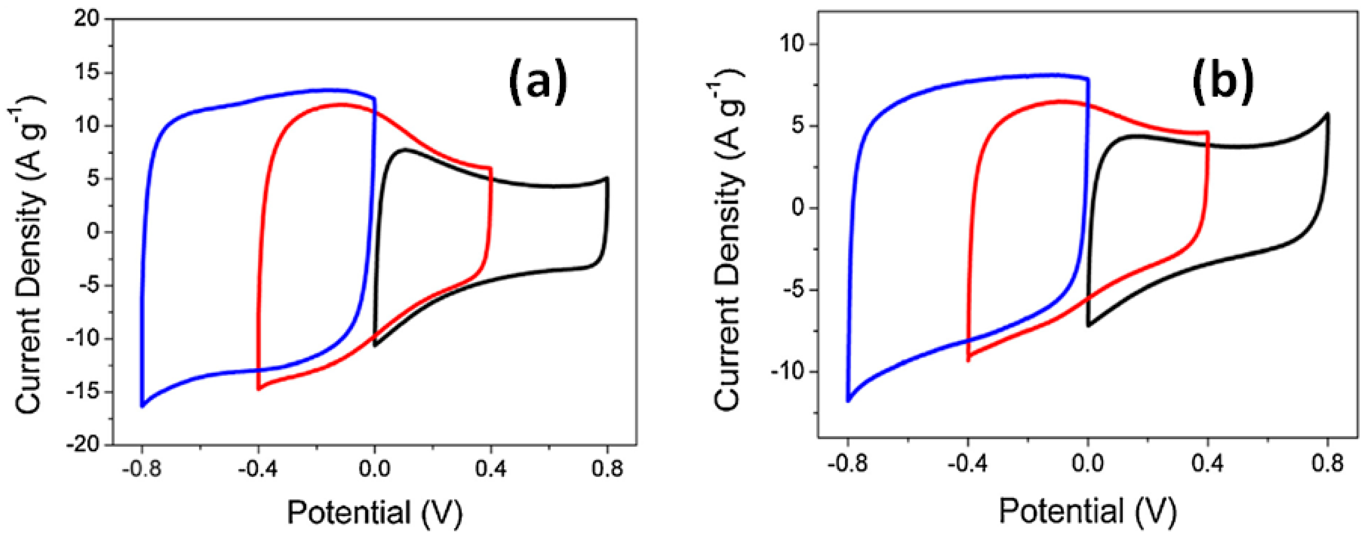
3.1. Temperature Effect on G/rGO-CNT-Based Composite Electrodes
3.2. Effect of CNT Length
3.3. CNT Concentration in G/rGO-CNT-Based Composite Electrodes
3.4. Influence of Electrolyte Type and Potential Window
4. Modified G/rGO-CNT Electrodes with Faradaic Contribution
4.1. Nitrogen Doping
4.2. Addition of Conductive Polymers
4.2.1. G/rGO-CNT with Polypyrrole
4.2.2. G/rGO-CNT with Polyaniline
4.3. Influence of Metal Catalysts, Metal Oxides and Hydroxides
4.3.1. G/CNT Grown with Me-Catalysts
4.3.2. MnO2 Induced Pseudocapacitance
4.3.3. Effect of Other Metal Oxides
4.3.4. G/rGO-CNT with Ni(OH)2
5. Specific Energy and Power of Supercapacitors with Electrodes Based on G/rGO-CNT and Their Cycling Stability
6. Conclusions and Perspective of G/rGO-CNT-Based Composite Electrodes
Supplementary Materials
Author Contributions
Funding
Data Availability Statement
Conflicts of Interest
Glossary
| AB | acetylene black |
| AC | active carbon |
| AM | active material |
| CB | carbon black |
| CNT | carbon nanotubes |
| CV | cyclic voltammogram |
| CVD | chemical vapor deposition |
| EDLC | electric double-layer capacitors |
| EMI-TFSI | 1-ethyl-3-methylimidazolium bis(trifluoromethylsulfonyl)imide |
| fG | functionalized graphene nanosheets |
| G | graphene |
| GCD | galvanostatic charge and discharge |
| GCE | glassy carbon electrode |
| GO | graphene oxide |
| HOPG | highly ordered pyrolytic graphite |
| LS | lignosulfonate |
| MC | mesoporous carbon |
| MWCNT | multiwall carbon nanotubes |
| NGC | Nitrogen-doped reduced graphene oxide with carbon nanotubes |
| PANI | polyaniline |
| PC | propylene carbonate |
| PDA | polydopamine |
| PDAA | poly(1,5-diaminoanthraquinone) |
| PNGC | porous nitrogen-doped reduced graphene oxide with carbon nanotubes |
| PPy | polypyrrole |
| PSS | poly(sodium 4-sterene sulfonate) |
| PTFE | polytetrafluoroethylene |
| PVDF | polyvinylidene fluoride |
| rGO | reduced graphene oxide |
| SC | supercapacitors |
| SEM | scanning electron microscopy |
| SSA | specific surface area |
| SSCNT | super short carbon nanotubes |
| SWCNT | single-wall carbon nanotubes |
| TEABF4 | tetraethylammonium tetrafluoroborate |
| TEM | transmission electron microscopy |
| VA | vertically aligned |
| VGNS | vertical graphene nanosheets |
| VF | vacuum filtration |
| XPS | X-ray photoelectron spectroscopy |
References
- Inagaki, M.; Konno, H.; Tanaike, O. Carbon materials for electrochemical capacitors. J. Power Sources 2010, 195, 7880–7903. [Google Scholar] [CrossRef]
- Terzyk, A.P.; Furmaniak, S.; Harris, P.J.F.; Gauden, P.A.; Włoch, J.; Kowalczyk, P.; Rychlicki, G. How realistic is the pore size distribution calculated from adsorption isotherms if activated carbon is composed of fullerene-like fragments? Phys. Chem. Chem. Phys. 2007, 9, 5919–5927. [Google Scholar] [CrossRef] [PubMed]
- Simon, P.; Burke, A. Nanostructured carbons: Double-layer capacitance and more. Electrochem. Soc. Interface 2008, 17, 38–43. [Google Scholar] [CrossRef]
- Sánchez-González, J.; Stoeckli, F.; Centeno, T.A. The role of the electric conductivity of carbons in the electrochemical capacitor performance. J. Electroanal. Chem. 2011, 657, 176–180. [Google Scholar] [CrossRef]
- Peigney, A.; Laurent, C.; Flahaut, E.; Bacsa, R.R.; Rousset, A. Specific surface area of carbon nanotubes and bundles of carbon nanotubes. Carbon 2001, 39, 507–514. [Google Scholar] [CrossRef]
- Marinho, B.; Ghislandi, M.; Tkalya, E.; Koning, C.E.; With, G. Electrical conductivity of compacts of graphene, multi-wall carbon nanotubes, carbon black, and graphite powder. Powder Technol. 2012, 221, 351–358. [Google Scholar] [CrossRef]
- Xia, J.; Chen, F.; Li, J.; Tao, N. Measurement of the quantum capacitance of graphene. Nat. Nanotechchnol. 2009, 4, 505–509. [Google Scholar] [CrossRef] [PubMed]
- Ebbesen, T.W.; Lezec, H.J.; Hiura, H.; Bennett, J.W.; Ghaemi, H.F.; Thio, T. Electrical conductivity of individual carbon nanotubes. Nature 1996, 382, 54–56. [Google Scholar] [CrossRef]
- An, K.H.; Kim, W.S.; Park, Y.S.; Moon, J.-M.; Bae, D.J.; Lim, S.C.; Lee, Y.S.; Lee, Y.H. Electrochemical properties of high-power supercapacitors using single-walled carbon nanotube electrodes. Adv. Funct. Mater. 2001, 11, 387–392. [Google Scholar] [CrossRef]
- Cui, X.; Lv, R.; Sagar, R.U.R.; Liu, C.; Zhang, Z. Reduced graphene oxide/carbon nanotube hybrid film as high performance negative electrode for supercapacitor. Electrochim. Acta 2015, 169, 342–350. [Google Scholar] [CrossRef]
- DeYoung, A.D.; Park, S.W.; Dhumal, N.R.; Shim, Y.; Jung, Y.J.; Kim, H.J. Graphene oxide supercapacitors: A computer simulation study. J. Phys. Chem. C 2014, 118, 18472–18480. [Google Scholar] [CrossRef]
- Chen, G.Z. Understanding supercapacitors based on nano-hybrid materials with interfacial conjugation. Prog. Nat. Sci. Mater. 2013, 23, 245–255. [Google Scholar] [CrossRef]
- Mathis, T.S.; Kurra, N.; Wang, X.; Pinto, D.; Simon, P.; Gogotsi, Y. Energy storage data reporting in perspective guidelines for interpreting the performance of electrochemical energy storage systems. Adv. Energy Mater. 2019, 9, 1902007. [Google Scholar] [CrossRef]
- Gogotsi, Y.; Penner, R.M. Energy Storage in Nanomaterials—Capacitive, pseudocapacitive, or battery-like? ACS Nano 2018, 12, 2081–2083. [Google Scholar] [CrossRef] [PubMed]
- Liu, J.; Wang, J.; Xu, C.; Jiang, H.; Li, C.; Zhang, L.; Lin, J.; Shen, Z.X. Advanced Energy Storage Devices: Basic Principles, Analytical Methods, and Rational Materials Design. Adv. Sci. 2018, 5, 1700322. [Google Scholar] [CrossRef] [PubMed]
- Wang, J.; Polleux, J.; Lim, J.; Dunn, B. Pseudocapacitive contributions to electrochemical energy storage in TiO2 (anatase) nanoparticles. J. Phys. Chem. C 2007, 111, 14925–14931. [Google Scholar] [CrossRef]
- Girard, H.-L.; Wang, H.; d’Entremont, A.; Pilon, L. Physical interpretation of cyclic voltammetry for hybrid pseudocapacitors. J. Phys. Chem. C 2015, 119, 11349–11361. [Google Scholar] [CrossRef]
- Conway, B.E.; Pel, W.G. Double-layer and pseudocapacitance types of electrochemical capacitors and their applications to the development of hybrid devices. J. Solid State Electrochem. 2003, 7, 637–644. [Google Scholar] [CrossRef]
- Zhou, Y.; Hu, X.C.; Guo, S.; Yu, C.; Zhong, S.; Liu, X. Multi-functional graphene/carbon nanotube aerogels for its applications in supercapacitor and direct methanol fuel cell. Electrochim. Acta 2018, 264, 12–19. [Google Scholar] [CrossRef]
- Okhay, O.; Tkach, A.; Gallo, M.J.H.; Otero-Irurueta, G.; Mikhalev, S.; Staiti, P.; Lufrano, F. Energy storage of supercapacitor electrodes on carbon cloth enhanced by graphene oxide aerogel reducing conditions. J. Energy Storage 2020, 32, 101839. [Google Scholar] [CrossRef]
- Ding, B.; Guo, D.; Wang, Y.; Wu, X.; Fan, Z. Functionalized graphene nanosheets decorated on carbon nanotubes networks for high performance supercapacitors. J. Power Sources 2018, 398, 113–119. [Google Scholar] [CrossRef]
- Zeng, F.; Kuang, Y.; Zhang, N.; Huang, Z.; Pan, Y.; Hou, Z.; Zhou, H.; Yan, C.; Schmidt, O.G. Multilayer super-short carbon nanotube/reduced graphene oxide architecture for enhanced supercapacitor properties. J. Power Sources 2014, 247, 396–401. [Google Scholar] [CrossRef]
- Lu, X.; Dou, H.; Gao, B.; Yuan, C.; Yang, S.; Hao, L.; Shen, L.; Zhang, X. A flexible graphene/multiwalled carbon nanotube film as a high performance electrode material for supercapacitors. Electrochim. Acta 2011, 56, 5115–5121. [Google Scholar] [CrossRef]
- Kumar, A.; Kumar, N.; Sharma, Y.; Leu, J.; Tseng, T.Y. Synthesis of free-standing flexible rGO/MWCNT films for symmetric supercapacitor application. Nanoscale Res. Lett. 2019, 14, 266. [Google Scholar] [CrossRef]
- Huang, Z.D.; Zhang, B.; Liang, R.; Zheng, Q.B.; Oh, S.W.; Lin, X.Y.; Yousefi, N.; Kim, J.K. Effects of reduction process and carbon nanotube content on the supercapacitive performance of flexible graphene oxide papers. Carbon 2012, 50, 4239–4251. [Google Scholar] [CrossRef]
- Lee, B.R.; Chang, D.W. Graphene/multi-walled carbon nanotubes hybrid materials for supercapacitors. Clean Technol. 2015, 21, 62–67. [Google Scholar] [CrossRef][Green Version]
- Lu, T.; Pan, L.; Li, H.; Nie, C.; Zhu, M.; Sun, Z. Reduced graphene oxide–carbon nanotubes composite films by electrophoretic deposition method for supercapacitors. J. Electroanal. Chem. 2011, 661, 270–273. [Google Scholar] [CrossRef]
- Ramachandran, R.; Wang, F. Chapter 3: Electrochemical Capacitor Performance: Influence of Aqueous Electrolytes. In Supercapacitors—Theoretical and Practical Solutions, in Supercapacitors: Theoretical and Practical Solutions; Liudvinavičius, L., Ed.; IntechOpen: London, UK, 2017. [Google Scholar] [CrossRef]
- Cheng, Q.; Tang, J.; Ma, J.; Zhang, H.; Shinya, N.; Qin, L.C. Graphene and carbon nanotube composite electrodes for supercapacitors with ultra-high energy density. Phys. Chem. Chem. Phys. 2011, 13, 17615–17624. [Google Scholar] [CrossRef]
- Zhang, X.; Samorì, P. Graphene/polymer nanocomposites for supercapacitors. ChemNanoMat 2017, 3, 362–372. [Google Scholar] [CrossRef]
- Huang, Z.; Li, L.; Wang, Y.; Zhang, C.; Liu, T. Polyaniline/graphene nanocomposites towards high-performance supercapacitors: A review. Compos. Commun. 2018, 8, 83–91. [Google Scholar] [CrossRef]
- Lin, T.T.; Lai, W.H.; Lü, Q.F.; Yu, Y. Porous nitrogen-doped graphene/carbon nanotubes composite with an enhanced supercapacitor performance. Electrochim. Acta 2015, 178, 517–524. [Google Scholar] [CrossRef]
- Zeng, R.; Deng, H.; Xiao, Y.; Huang, J.; Yuan, K.; Chen, Y. Cross-linked graphene/carbon nanotube networks with polydopamine “glue” for flexible supercapacitors. Compos. Commun. 2018, 10, 73–80. [Google Scholar] [CrossRef]
- Wang, S.; Liu, N.; Su, J.; Li, L.; Long, F.; Zou, Z.; Jiang, X.; Gao, Y. Highly stretchable and self-healable supercapacitor with reduced graphene oxide based fiber springs. ACS Nano 2017, 11, 2066–2074. [Google Scholar] [CrossRef]
- Lu, X.; Dou, H.; Yuan, C.; Yang, S.; Hao, L.; Zhang, F.; Shen, L.; Zhang, L.; Zhang, X. Polypyrrole/carbon nanotube nanocomposite enhanced the electrochemical capacitance of flexible graphene film for supercapacitors. J. Power Sources 2012, 197, 319–324. [Google Scholar] [CrossRef]
- Lu, X.; Zhang, F.; Dou, H.; Yuan, C.; Yang, S.; Hao, L.; Shen, L.; Zhang, L.; Zhang, X. Preparation and electrochemical capacitance of hierarchical graphene/polypyrrole/carbon nanotube ternary composites. Electrochim. Acta 2012, 69, 160–166. [Google Scholar] [CrossRef]
- Aphale, A.; Maisuria, K.; Mahapatra, M.K.; Santiago, A.; Singh, P.; Patra, P. Hybrid electrodes by in-situ integration of graphene and carbon-nanotubes in polypyrrole for supercapacitors. Sci. Rep. 2015, 5, 14445. [Google Scholar] [CrossRef]
- Huang, Y.; Zhou, J.; Gao, N.; Yin, Z.; Zhou, H.; Yang, X.; Kuang, Y. Synthesis of 3D reduced graphene oxide/unzipped carbon nanotubes/polyaniline composite for high-performance supercapacitors. Electrochim. Acta 2018, 269, 649–656. [Google Scholar] [CrossRef]
- Tran, V.C.; Nguyen, V.H.; Nguyen, T.T.; Lee, J.H.; Huynh, D.C.; Shim, J.J. Polyaniline and multi-walled carbon nanotube-intercalated graphene aerogel and its electrochemical properties. Synth. Met. 2016, 215, 150–157. [Google Scholar] [CrossRef]
- Liu, P.; Yan, J.; Gao, X.; Huang, Y.; Zhang, Y. Construction of layer-by-layer sandwiched graphene/polyaniline nanorods/carbon nanotubes heterostructures for high performance supercapacitors. Electrochim. Acta 2018, 272, 77–87. [Google Scholar] [CrossRef]
- Yan, J.; Wei, T.; Fan, Z.; Qian, W.; Zhang, M.; Shen, X.; Wei, F. Preparation of graphene nanosheet/carbon nanotube/polyaniline composite as electrode material for supercapacitors. J. Power Sources 2010, 195, 3041–3045. [Google Scholar] [CrossRef]
- Liu, D.; Du, P.; Wei, W.; Wang, H.; Wang, Q.; Liu, P. Skeleton/skin structured (RGO/CNTs)@PANI composite fiber electrodes with excellent mechanical and electrochemical performance for all solid-state symmetric supercapacitors. J. Colloid Interface Sci. 2018, 513, 295–303. [Google Scholar] [CrossRef]
- Huang, Z.D.; Liang, R.; Zhang, B.; He, Y.B.; Kim, J.K. Evolution of flexible 3D graphene oxide/carbon nanotube/polyaniline composite papers and their supercapacitive performance. Compos. Sci. Technol. 2013, 88, 126–133. [Google Scholar] [CrossRef]
- Seo, D.H.; Yick, S.; Han, Z.J.; Fang, J.H.; Ostrikov, K. Synergistic fusion of vertical graphene nanosheets and carbon nanotubes for high-performance supercapacitor electrodes. ChemSusChem 2014, 7, 2317–2324. [Google Scholar] [CrossRef]
- Fan, Z.; Yan, J.; Zhi, L.; Zhang, Q.; Wei, T.; Feng, J.; Zhang, M.; Qian, W.; Wei, F. A three-dimensional carbon nanotube/graphene sandwich and its application as electrode in supercapacitors. Adv. Mater. 2010, 22, 3723–3728. [Google Scholar] [CrossRef]
- Li, K.; Li, H.; Li, M.; Li, C.; Su, L.; Qian, L.; Yang, B. Carbon-nanotube@graphene core-shell nanostructures as active material in flexible symmetrical supercapacitors. Compos. Sci. Technol. 2019, 175, 92–99. [Google Scholar] [CrossRef]
- Bi, T.; Fang, H.; Jiang, J.; He, X.X.; Zhen, X.; Yang, H.; Wei, Z.; Jia, Z. Enhance supercapacitive performance of MnO2/3D carbon nanotubes graphene as a binder-free electrode. J. Alloys Compd. 2019, 787, 759–766. [Google Scholar] [CrossRef]
- Ramezani, M.; Fathi, M.; Mahboubi, F. Facile synthesis of ternary MnO2/graphene nanosheets/carbon nanotubes composites with high rate capability for supercapacitor applications. Electrochim. Acta 2015, 174, 345–355. [Google Scholar] [CrossRef]
- Liu, Y.; He, D.; Duan, J.; Wang, Y.; Li, S. Synthesis of MnO2/graphene/carbon nanotube nanostructured ternary composite for supercapacitor electrodes with high rate capability. Mater. Chem. Phys. 2014, 147, 141–146. [Google Scholar] [CrossRef]
- Lei, Z.; Shi, S.; Lu, L. Incorporation of MnO2-coated carbon nanotubes between graphene sheets as supercapacitor electrode. ACS Appl. Mater. Interfaces 2012, 4, 1058–1064. [Google Scholar] [CrossRef] [PubMed]
- Deng, L.; Hao, Z.; Wang, J.; Zhu, G.; Kang, L.; Liu, Z.-H.; Yang, Z.; Wang, Z. Preparation and capacitance of graphene/multiwall carbon nanotubes/MnO2 hybrid material for high-performance asymmetrical electrochemical capacitor. Electrochim. Acta 2013, 89, 191–198. [Google Scholar] [CrossRef]
- Li, W.; Xu, H.; Cui, M.; Zhao, J.; Liu, F.; Liu, T. Synthesis of sulfonated graphene/carbon nanotubes/manganese dioxide composite with high electrochemical properties. Ionics 2019, 25, 999–1006. [Google Scholar] [CrossRef]
- Cheng, Y.; Lu, S.; Zhang, H.; Varanasi, C.V.; Liu, J. Synergistic effects from graphene and carbon nanotubes enable flexible and robust electrodes for high-performance supercapacitors. Nano Lett. 2012, 12, 4206–4211. [Google Scholar] [CrossRef]
- Ramesh, S.; Khandelwal, S.; Rhee, K.Y.; Hui, D. Synergistic effect of reduced graphene oxide, CNT and metal oxides on cellulose matrix for supercapacitor applications. Compos. Part B Eng. 2018, 138, 45–54. [Google Scholar] [CrossRef]
- Tian, Y.; Hu, X.; Wang, Y.; Li, C.; Wu, X. Fe2O3 nanoparticles decorated on graphene-carbon nanotubes conductive networks for boosting the energy density of all-solid-state asymmetric supercapacitor. ACS Sustain. Chem. Eng. 2019, 7, 9211–9219. [Google Scholar] [CrossRef]
- Chen, L.; Li, D.; Zheng, X.; Chen, L.; Zhang, Y.; Liang, Z.; Feng, J.; Si, P.; Lou, J.; Ci, L. Integrated nanocomposite of LiMn2O4/graphene/carbon nanotubes with pseudocapacitive properties as superior cathode for aqueous hybrid capacitors. J. Electroanal. Chem. 2019, 842, 74–81. [Google Scholar] [CrossRef]
- Fan, W.; Shi, Y.; Gao, W.; Sun, Z.; Liu, T. Graphene-carbon nanotube aerogel with a scroll-interconnected-sheet structure as an advanced framework for a high-performance asymmetric supercapacitor electrode. ACS Appl. Nano Mater. 2018, 1, 4435–4441. [Google Scholar] [CrossRef]
- Chen, X.; Chen, X.; Zhang, F.; Yang, Z.; Huang, S. One-pot hydrothermal synthesis of reduced graphene oxide/carbon nanotube/α-Ni(OH)2 composites for high performance electrochemical supercapacitor. J. Power Sources 2013, 243, 555–561. [Google Scholar] [CrossRef]
- Du, F.; Yu, D.; Dai, L.; Ganguli, S.; Varshney, V.; Roy, A.K. Preparation of tunable 3D pillared carbon nanotube-graphene networks for high-performance capacitance. Chem. Mater. 2011, 23, 4810–4816. [Google Scholar] [CrossRef]
- Mao, S.; Wen, Z.; Bo, Z.; Chang, J.; Huang, X.; Chen, J. Hierarchical nanohybrids with porous CNT-networks decorated crumpled graphene balls for supercapacitors. ACS Appl. Mater. Interfaces 2014, 6, 9881–9889. [Google Scholar] [CrossRef]
- Okhay, O.; Tkach, A.; Staiti, P.; Lufrano, F. Long term durability of solid-state supercapacitor based on reduced graphene oxide aerogel and carbon nanotubes composite electrodes. Electrochim. Acta 2020, 353, 136540. [Google Scholar] [CrossRef]

























| Activated Carbon | Graphene | SWCNT | |
|---|---|---|---|
| SSA, m2/g | ~3000 (theor. [3]) | ∼2600 (theor. [5]) | 1315 (theor. [5]) |
| σ, S/m | 4.6 × 10−6 (exp. [4]) | ~108 (theor. [6]) | ~106 (exp. [8]) |
| ~103 (exp. [6]) | |||
| Csp, F/g | 200 (exp. [3]) | ~550 (theor. [7]) | 180 (exp. [9]) |
| Electrode Materials | Sub-Strate | Processing Details | Electrolyte, Voltage Window | Cin of Single Electrode at Current Density or Scan Rate | Number of Cycles | Capacitance Retention at Current Density or Scan Rate | Ref. | |
|---|---|---|---|---|---|---|---|---|
| Single Electrode | Full Cell | |||||||
| rGO, CNT, | - | VF, H6N2O, NH4OH, KMnO4 | Na2SO4 | 275 F/g | 1000 | 95% | - | [53] |
| +MnO2 | 1 V | 50 mV/s | 50 mV/s | |||||
| rGO, CNT, | C-cloth | GO freeze-drying, 180 °C | Na2SO4 | 129 F/g | 1000 | - | 90% | [61] |
| +PVDF | 80%rGO + 10%CNT + 10%PVDF | 1.6 V | 0.1 A/g | 0.1 A/g | ||||
| rGO, CNT, | GCE | H6N2O, 95 °C | H2SO4 | 359 F/g | 2000 | 80.5% | - | [38] |
| +PANI | in-situ polymerization | 1 V | 1 A/g | 50 mV/s | ||||
| rGO, CNT, | Ni foam | H6N2O, 95 °C, KMnO4 | Na2SO4 | 120 F/g | 2500 | - | 75% | [51] |
| +MnO2, AB, PTFE | 2 V | 1 A/g | 1 A/g | |||||
| rGO, CNT, | Ni foam | HT, 180 °C, coating | KOH | 165 F/g | 10,000 | - | 98.9% | [33] |
| +PDA, AB, PTFE | 80%AM + 10%PVDF + 10%AB | 0.8 V | 1 A/g | 1 A/g | ||||
| CNT/G balls, | Ni foam | Fe3O4 on G by aerosolization | KOH | - | 10,000 | - | 107.7% | [60] |
| +Fe3O4, PVDF | CNT by CVD, 700 °C | 0.9 V | 3.25 A/g | |||||
| rGO, CNT, | Ni foam | chemical oxidation, 200 °C | Na2SO4 | 202 F/g | 20,000 | 103% | 102% | [21] |
| +CB, PTFE | 1.6 V | 0.5 A/g | 200 mV/s | 200 mV/s | ||||
Publisher’s Note: MDPI stays neutral with regard to jurisdictional claims in published maps and institutional affiliations. |
© 2021 by the authors. Licensee MDPI, Basel, Switzerland. This article is an open access article distributed under the terms and conditions of the Creative Commons Attribution (CC BY) license (https://creativecommons.org/licenses/by/4.0/).
Share and Cite
Okhay, O.; Tkach, A. Graphene/Reduced Graphene Oxide-Carbon Nanotubes Composite Electrodes: From Capacitive to Battery-Type Behaviour. Nanomaterials 2021, 11, 1240. https://doi.org/10.3390/nano11051240
Okhay O, Tkach A. Graphene/Reduced Graphene Oxide-Carbon Nanotubes Composite Electrodes: From Capacitive to Battery-Type Behaviour. Nanomaterials. 2021; 11(5):1240. https://doi.org/10.3390/nano11051240
Chicago/Turabian StyleOkhay, Olena, and Alexander Tkach. 2021. "Graphene/Reduced Graphene Oxide-Carbon Nanotubes Composite Electrodes: From Capacitive to Battery-Type Behaviour" Nanomaterials 11, no. 5: 1240. https://doi.org/10.3390/nano11051240
APA StyleOkhay, O., & Tkach, A. (2021). Graphene/Reduced Graphene Oxide-Carbon Nanotubes Composite Electrodes: From Capacitive to Battery-Type Behaviour. Nanomaterials, 11(5), 1240. https://doi.org/10.3390/nano11051240
