Abstract
The dynamic behaviour of micro- and nano-beams is investigated by the nonlocal continuum mechanics, a computationally convenient approach with respect to atomistic strategies. Specifically, size effects are modelled by expressing elastic curvatures in terms of the integral mixture of stress-driven local and nonlocal phases, which leads to well-posed structural problems. Relevant nonlocal equations of the motion of slender beams are formulated and integrated by an analytical approach. The presented strategy is applied to simple case-problems of nanotechnological interest. Validation of the proposed nonlocal methodology is provided by comparing natural frequencies with the ones obtained by the classical strain gradient model of elasticity. The obtained outcomes can be useful for the design and optimisation of micro- and nano-electro-mechanical systems (M/NEMS).
1. Introduction
The modelling and design of advanced small-scale structures is a topic of major interest in nanoengineering. Many recent contributions in the literature concern the analysis and optimisation of new-generation composites and devices such as: biosensors [], DNA-based sensors [], nano/micro-resonators [], energy harvesters [], cantilever-based MEMS/NEMS [], nanogenerators [], and nanocomposites [,].
Analysis of micro and nanostructures has to be carried out by adequately modelling the effect of molecular interactions and inter-atomic forces which are technically significant. These long-range interactions result in size effects which cannot be overlooked. Continuum mechanics can be conveniently exploited to capture these small-scale phenomena and to predict the size-dependent responses of structural components of smaller and smaller devices, provided that some internal characteristic lengths are properly accounted for. Thus, nonlocal models of elastic continua can be conveniently adopted in place of atomistic methodologies which are computationally expensive.
Seminal works on nonlocal mechanics were contributed in [,,]. Subsequently, Eringen formulated a nonlocal model of elasticity based on a strain-driven integral convolution efficiently applied to screw dislocation and wave propagation problems involving unbounded domains [,].
Thanks to the choice of a special averaging integral kernel, the strain-driven integral model was reversed by Eringen himself, providing a simpler, but equivalent, differential formulation. However, when applied to bounded structural domains, Eringen’s strain-driven model leads to ill-posed problems due to incompatibility between constitutive law and equilibrium requirements [].
To bypass the aforementioned issues, a mixture strain-driven theory was developed, based on a convex combination of local and nonlocal contributions. First proposed by Eringen in [], strain-driven two-phase theory has been recently applied in several studies, such as [,,,,].
However, for a vanishing local fraction, Eringen’s mixture leads to singular structural problems []. All difficulties related to Eringen’s purely nonlocal model are overcome by the stress-driven nonlocal model [,,,] extended by the stress-driven two-phase elastostatic theory that, unlike the local/nonlocal strain-driven mixture, provides a well-posed methodology for any local fraction [,]. Since local/nonlocal mixtures are able to model both stiffening and softening behaviors of small-scale structures [], they can be conveniently adopted to solve applicative problems of nanoengineering.
Thus, the motivation of the present research is to develop a well-posed stress-driven two-phase methodology to model the size-dependent dynamic behaviour of small-scale elastic beams, generalising the treatment contributed in [] confined to stress-driven purely nonlocal nanomaterials. The proposed analytical approach, here applied to solve exemplary -D structural problems of technical interest, provides an advancement in nonlocal dynamics of beams with respect to the state of the art. Theoretical predictions obtained in the present research are in agreement with experimental evidence regarding small-scale inflected beams exposed in [,]. Extension of the stress-driven elasticity mixture to size-dependent buckling and dynamic problems of advanced materials and -D structures, such as graphene nanoribbons [], will be contributed in a forthcoming paper.
The plan is the following. Kinematics and equilibrium of slender beams are preliminarily recalled in Section 2. There, the mixture stress-driven model of integral elasticity and its equivalent differential formulation are also provided. The associated differential problem governing free bending vibrations of two-phase elastic beams is formulated in Section 3. A parametric study is accomplished in Section 4 to examine the size-dependent vibrational responses of simple structural schemes of technical interest. Comparisons with outcomes obtained by the strain gradient elasticity theory are also performed and discussed in detail. Closing remarks are provided in Section 5.
2. Stress-Driven Mixture of Integral Elasticity
Let us consider a slender straight beam under flexure. indicates the beam length, denotes the mass per unit length and is the local elastic bending stiffness, i.e., the second moment of Euler–Young moduli field on the beam cross-section.
The bending plane is described by the Cartesian axes , with coinciding with the beam axial abscissa. Denoting with the transverse displacement field of beam axis, the kinematic hypothesis of Bernoulli–Euler theory prescribes that the linearised geometric curvature field at a time is related to displacements as follows
where the symbol denotes -times differentiation along the beam axis . In Equation (1), is the elastic curvature and stands for all other non-elastic curvature fields. Hereinafter, dependence on time is omitted for the sake of brevity. Equilibrated stress fields in Bernoulli–Euler beams are described by bending moments fulfilling the differential equation of d’Alembert dynamic equilibrium, that is:
where is a transversely distributed loading and a superimposed dot denotes the time derivative. The shear force field is defined by .
According to the mixture stress-driven model of elasticity [], the elastic curvature is a convex combination of the source local field and of the convolution between the source field and a proper averaging kernel described by a characteristic length . That is,
Denoting with a positive nonlocal parameter, the characteristic length is defined as . In Equation (3), is the mixture parameter; for , the purely nonlocal stress-driven integral model is obtained, while for , the classic local law of elasticity is recovered.
The averaging kernel is assumed to be the bi-exponential function (Helmholtz’s kernel)
fulfilling symmetry, positivity and limit impulsivity [].
Adopting the special kernel in Equation (4), an equivalent differential formulation [] of the mixture nonlocal model in Equation (3) can be proven as follows. Indeed, the special kernel in Equation (4) is the Green’s function of the linear differential operator defined as . Thus, , where denotes the Dirac unit impulse. Now, let us rewrite Equation (3) as follows
and, applying the differential operator to Equation (5), we obtain the following expression:
Thus, the differential equation equivalent to the two-phase model in Equation (3) writes as
3. Scale-Dependent Free Vibrations
The structural problem of a Bernoulli–Euler nonlocal beam undergoing free vibrations is formulated by adopting the two-phase stress-driven model illustrated in Section 2.
Let us preliminarily take the second derivative of Equation (10) along the beam abscissa
where a uniform bending stiffness has been assumed. Enforcing the differential condition of kinematic compatibility in Equation (1) and prescribing the differential equilibrium Equation (2) with a vanishing loading, we obtain the differential equation governing bending-free vibrations of a nonlocal beam, that is
We are interested in synchronous motions ; that is, each abscissa of the beam axis executes the same motion in time. From a mathematical point of view, such a solution is separable in spatial and time variables and thus can be expressed as
Substituting Equation (14) in Equation (13) yields
Thus, from Equation (15), we obtain the following condition:
with being a constant value. The condition in Equation (16) provides thus two basic differential equations:
If were positive, then, according to the general integral of Equation (17), would be the sum of two exponential functions, one of them diverging along with the time variable and thus incompatible with the linearised Bernoulli–Euler theory. Hence, must be negative and, according to its dimension, it represents the square of natural frequency; that is . Thus, Equation (17) is the differential equation governing harmonic motions and its general integral is given by
where the pair of unknown constants can be evaluated by prescribing suitable initial conditions.
Evaluation of beam natural frequencies consists in solving the differential eigenvalue problem formulated as follows:
- Solving Equation (17) in terms of the vector of integration constants .
- Enforcing standard and constitutive boundary conditions to get a homogeneous algebraic linear system .
- Solving the characteristic nonlinear equation
4. Case-Problems: Numerical Outcomes
The differential eigenvalue problem for nonlocal beams illustrated in Section 3 is here adopted to numerically detect fundamental natural frequencies as functions of nonlocal and mixture parameters, for some exemplar structural schemes: clamped-free, simply supported, clamped-pinned and doubly clamped beams. Plots and results are provided in terms of the following non-dimensional fundamental natural frequency
The solution methodology explained in Section 3 requires the prescription of four kinematic and/or static boundary conditions depending on the structural scheme at hand. Thus, the following standard boundary conditions will be prescribed:
For all considered beams (see Figure 1), the following two constitutive boundary conditions must be enforced:

Figure 1.
Geometric sketches of adopted structural schemes.
It is worth noting that, by virtue of Equation (10), bending moment appearing in static boundary conditions (Equation (21)) and in constitutive boundary conditions (Equation (22)) can be expressed as follows:
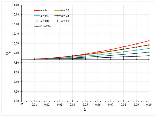
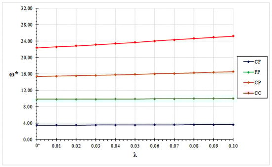
In all examined case studies, free vibration analysis based on the mixture stress-driven elasticity shows stiffening or softening structural behaviors for the increasing nonlocal or mixture parameter, respectively. Indeed, plots of non-dimensional fundamental natural frequencies in Figure 2, Figure 3, Figure 4 and Figure 5 show that frequency increases with and decreases with . Moreover, as shown in Figure 6, stiffening structural behaviours are obtained for increasing redundancy degree. Numerical results of non-dimensional fundamental natural frequencies of adopted structural schemes are shown in Table 1, Table 2, Table 3, Table 4 and Table 5.

Figure 2.
Cantilever beam: non-dimensional fundamental natural frequency vs. nonlocal parameter for .

Figure 3.
Pinned-pinned beam: non-dimensional fundamental natural frequency vs. nonlocal parameter for .

Figure 4.
Clamped-pinned beam: non-dimensional fundamental natural frequency vs. nonlocal parameter for .

Figure 5.
Clamped-clamped beam: non-dimensional fundamental natural frequency vs. nonlocal parameter for .

Figure 6.
Non-dimensional fundamental natural frequency vs. nonlocal parameter , evaluated for mixture parameter , for clamped-free (CP), pinned-pinned (PP), clamped-pinned (CP) and clamped-clamped (CC) structural schemes.

Table 1.
Cantilever beam: non-dimensional fundamental natural frequencies .

Table 2.
Pinned-pinned beam: non-dimensional fundamental natural frequencies .

Table 3.
Clamped-pinned beam: non-dimensional fundamental natural frequencies .

Table 4.
Clamped-clamped beam: non-dimensional fundamental natural frequencies .

Table 5.
Non-dimensional fundamental natural frequencies [] of clamped-free (CF), pinned-pinned (PP), clamped-pinned (CP) and clamped-clamped (CC) beams, for .
It is worth noting that for , local fundamental frequencies are recovered, while for , fundamental natural frequencies obtained by the stress-driven nonlocal model are achieved [].
Moreover, fundamental natural frequencies are compared with the ones obtained by the gradient elasticity theory [,,]. For all examined case studies, structural responses predicted by gradient elasticity theory (GradEla) are included between purely local () and nonlocal () cases, for increasing nonlocal parameter .
5. Concluding Remarks
Free bending vibration analysis of small-scale elastic beams has been carried out by adopting the stress-driven mixture model of elasticity. In particular, a consistent stress-driven two-phase nonlocal methodology has been presented to parametrically investigate the size-dependent dynamic behaviour of nanobeams. Thus, size effects on fundamental natural frequencies have been numerically investigated and assessed for selected case studies of current interest in nanomechanics, providing new benchmark results for the modelling and design of small-scale structures.
Moreover, the analytical and numerical findings of this research provide an extension of previous contributions in [], where free vibrations were studied by resorting to the special stress-driven purely nonlocal model []. A comparison with the gradient elasticity theory has also been carried out.
Thus, a well-posed methodology has been provided in the paper to capture the size-dependent dynamic behaviours of small-scale structures for a wide range of dynamic nanoengineering problems.
Indeed, the presented local/nonlocal mixture formulation represents a general approach which is able to simulate both softening and stiffening size-dependent dynamic behaviors characterising smaller and smaller technological devices, as experimentally confirmed in the literature (see, e.g., [,]). Accordingly, such a strategy can be efficiently exploited for the design and optimisation of nanoengineered materials, modern sensors and actuators.
Author Contributions
Conceptualisation, Methodology, Software, Validation, Investigation, Writing—Review and Editing: M.S.V., F.P.P., F.M.d.S. and R.B. All the authors contributed equally to this work. All authors have read and agreed to the published version of the manuscript.
Funding
This research received no external funding.
Institutional Review Board Statement
Not applicable.
Informed Consent Statement
Not applicable.
Data Availability Statement
The data presented in this study are available within this article. Further inquiries may be directed to the authors.
Acknowledgments
Financial support from the MIUR in the framework of the Project PRIN 2017—code 2017J4EAYB Multiscale Innovative Materials and Structures (MIMS); University of Naples Federico II Research Unit—is gratefully acknowledged.
Conflicts of Interest
The authors declare no conflict of interest.
References
- Zhang, J.; Zhang, X.; Wei, X.; Xue, Y.; Wan, H.; Wang, P. Recent advances in acoustic wave biosensors for the detection of disease-related biomarkers: A review. Anal. Chim. Acta 2021, 338321. [Google Scholar] [CrossRef]
- Soukarie, D.; Ecochard, V.; Salome, L. DNA-based nanobiosensors for monitoring of water quality. Int. J. Hyg. Environ. Health 2020, 226, 113485. [Google Scholar] [CrossRef]
- Ilyas, S.; Younis, M.I. Resonator-based M/NEMS logic devices: Review of recent advances. Sens. Actuators A 2020, 302, 111821. [Google Scholar] [CrossRef]
- Basutkar, R. Analytical modelling of a nanoscale series-connected bimorph piezoelectric energy harvester incorporating the flexoelectric effect. Int. J. Eng. Sci. 2019, 139, 42–61. [Google Scholar] [CrossRef]
- Udara, S.; Hadimani, H.C.; Krishnamurthy Revankar, P. Sensitivity and Selectivity Enhancement of MEMS/NEMS Cantilever by Coating of Polyvinylpyrrolidone. Mater. Today Proc. 2019, 18, 1610–1619. [Google Scholar] [CrossRef]
- De Bellis, M.L.; Bacigalupo, A.; Zavarise, G. Characterization of hybrid piezoelectric nanogenerators through asymptotic homogenization. Comput. Methods Appl. Mech. Eng. 2019, 355, 1148–1186. [Google Scholar] [CrossRef]
- Pourasghar, A.; Chen, Z. Effect of hyperbolic heat conduction on the linear and nonlinear vibration of CNT reinforced size-dependent functionally graded microbeams. Int. J. Eng. Sci. 2019, 137, 57–72. [Google Scholar] [CrossRef]
- Arora, R. Nanocomposite polyaniline for environmental and energy applications. Mater. Today Proc. 2020. [Google Scholar] [CrossRef]
- Rogula, D. Influence of spatial acoustic dispersion on dynamical properties of dislocations. Bull. Pol. Acad. Sci. 1965, 13, 337–385. [Google Scholar]
- Rogula, D. Nonlocal Theories of Material Systems; Ossolineum: Wrocław, Poland, 1965. [Google Scholar]
- Kröner, E. Elasticity theory of materials with long range cohesive forces. Int. J. Solids Struct. 1967, 3, 731–742. [Google Scholar] [CrossRef]
- Eringen, A.C. Linear theory of nonlocal elasticity and dispersion of plane waves. Int. J. Eng. Sci. 1972, 10, 425–435. [Google Scholar] [CrossRef]
- Eringen, A. On differential equations of nonlocal elasticity and solutions of screw dislocation and surface waves. J. Appl. Phys. 1983, 54, 4703–4710. [Google Scholar] [CrossRef]
- Romano, G.; Barretta, R.; Diaco, M.; Marotti de Sciarra, F. Constitutive boundary conditions and paradoxes in nonlocal elastic nanobeams. Int. J. Mech. Sci. 2017, 121, 151–156. [Google Scholar] [CrossRef]
- Eringen, A.C. Theory of nonlocal elasticity and some applications. Res. Mech. 1987, 21, 313–342. [Google Scholar]
- Zhu, X.; Wang, Y.; Dai, H.H. Buckling analysis of Euler–Bernoulli beams using Eringen’s two-phase nonlocal model. Int. J. Eng. Sci. 2017, 116, 130–140. [Google Scholar] [CrossRef]
- Wang, Y.B.; Zhu, X.W.; Dai, H.H. Exact solutions for the static bending of Euler-Bernoulli beams using Eringen’s two-phase local/nonlocal model. AIP Adv. 2016, 6, 085114. [Google Scholar] [CrossRef]
- Polizzotto, C. Nonlocal elasticity and related variational principles. Int. J. Solids Struct. 2001, 38, 7359–7380. [Google Scholar] [CrossRef]
- Pisano, A.A.; Fuschi, P. Closed form solution for a nonlocal elastic bar in tension. Int. J. Solids Struct. 2003, 40, 13–23. [Google Scholar] [CrossRef]
- Khodabakhshi, P.; Reddy, J. A unified integro-differential nonlocal model. Int. J. Eng. Sci. 2015, 95, 60–75. [Google Scholar] [CrossRef]
- Romano, G.; Barretta, R.; Diaco, M. On nonlocal integral models for elastic nano-beams. Int. J. Mech. Sci. 2017, 131–132, 490–499. [Google Scholar] [CrossRef]
- Romano, G.; Barretta, R. Nonlocal elasticity in nanobeams: The stress-driven integral model. Int. J. Eng. Sci. 2017, 115, 14–27. [Google Scholar] [CrossRef]
- Romano, G.; Barretta, R. Stress-driven versus strain-driven nonlocal integral model for elastic nano-beams. Compos. B Eng. 2017, 114, 184–188. [Google Scholar] [CrossRef]
- Zhang, P.; Qing, H.; Gao, C.F. Exact solutions for bending of Timoshenko curved nanobeams made of functionally graded materials based on stress-driven nonlocal integral model. Compos. Struct. 2020, 245, 112362. [Google Scholar] [CrossRef]
- Pinnola, F.P.; Vaccaro, M.S.; Barretta, R.; Marotti de Sciarra, F. Random vibrations of stress-driven nonlocal beams with external damping. Meccanica 2020. [Google Scholar] [CrossRef]
- Barretta, R.; Fabbrocino, F.; Luciano, R.; de Sciarra, F.M. Closed-form solutions in stress-driven two-phase integral elasticity for bending of functionally graded nano-beams. Phys. E Low-Dimens. Syst. Nanostruct. 2018, 97, 13–30. [Google Scholar] [CrossRef]
- Vaccaro, M.S.; Pinnola, F.P.; de Sciarra, F.M.; Canadija, M.; Barretta, R. Stress-driven two-phase integral elasticity for Timoshenko curved beams. Proc. Inst. Mech. Eng. Part J. Nanomater. Nanoeng. Nanosyst. 2021. [Google Scholar] [CrossRef]
- Apuzzo, A.; Barretta, R.; Luciano, R.; Marotti de Sciarra, F.; Penna, R. Free vibrations of Bernoulli-Euler nano-beams by the stress-driven nonlocal integral model. Compos. B Eng. 2017, 123, 105–111. [Google Scholar] [CrossRef]
- Lam, D.; Yang, F.; Chong, A.; Wang, J.; Tong, P. Experiments and theory in strain gradient elasticity. J. Mech. Phys. Solids 2003, 51, 1477–1508. [Google Scholar] [CrossRef]
- Abazari, A.M.; Safavi, S.M.; Rezazadeh, G.; Villanueva, L.G. Modelling the Size Effects on the Mechanical Properties of Micro/Nano Structures. Sensors 2015, 15, 28543–28562. [Google Scholar] [CrossRef] [PubMed]
- Savin, A.; Korznikova, E.; Dmitriev, S. Improving bending rigidity of graphene nanoribbons by twisting. Mech. Mater. 2019, 137, 103123. [Google Scholar] [CrossRef]
- Aifantis, E.C. On the role of gradients in the localization of deformation and fracture. Int. J. Eng. Sci. 1992, 30, 1279–1299. [Google Scholar] [CrossRef]
- Ru, C.; Aifantis, E. A simple approach to solve boundary-value problems in gradient elasticity. Acta Mech. 1993, 101, 59–68. [Google Scholar] [CrossRef]
- Altan, B.; Aifantis, E. On Some Aspects in the Special Theory of Gradient Elasticity. J. Mech. Behav. Mater. 1997, 8, 231–282. [Google Scholar] [CrossRef]
Publisher’s Note: MDPI stays neutral with regard to jurisdictional claims in published maps and institutional affiliations. |
© 2021 by the authors. Licensee MDPI, Basel, Switzerland. This article is an open access article distributed under the terms and conditions of the Creative Commons Attribution (CC BY) license (https://creativecommons.org/licenses/by/4.0/).