Functionalization and Characterization of Silicon Nanowires for Sensing Applications: A Review
Abstract
1. Introduction
2. Modification Methods and Their Characterization
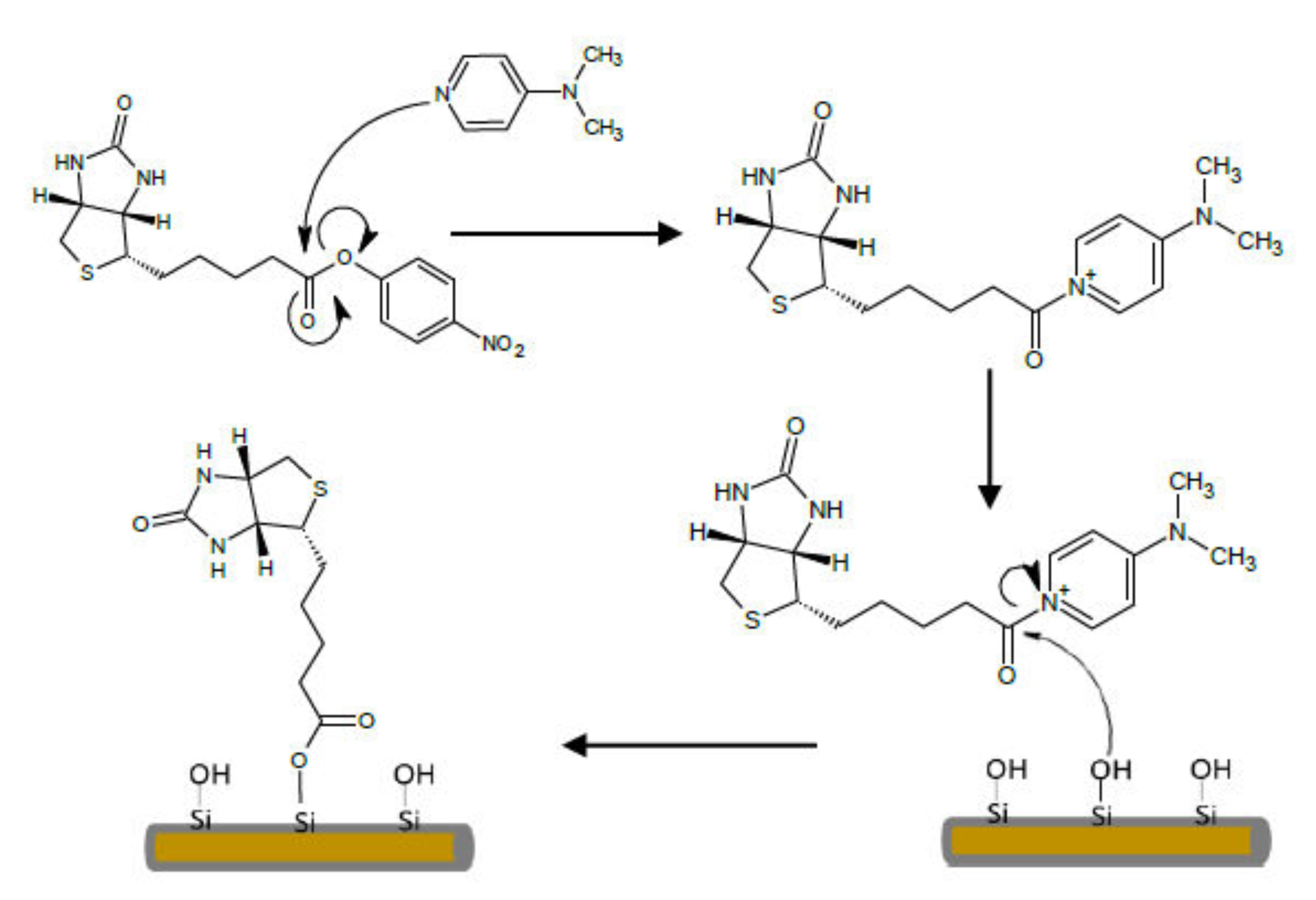
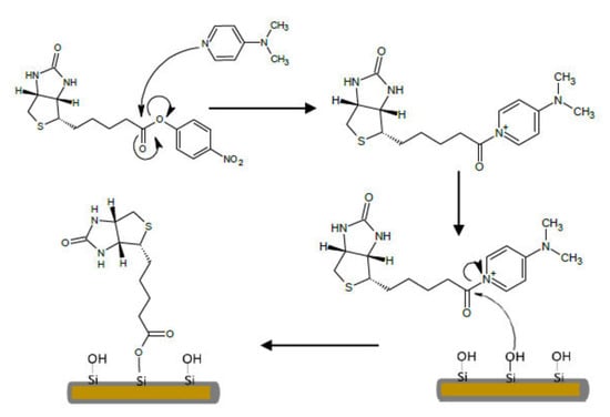
2.1. Esterification
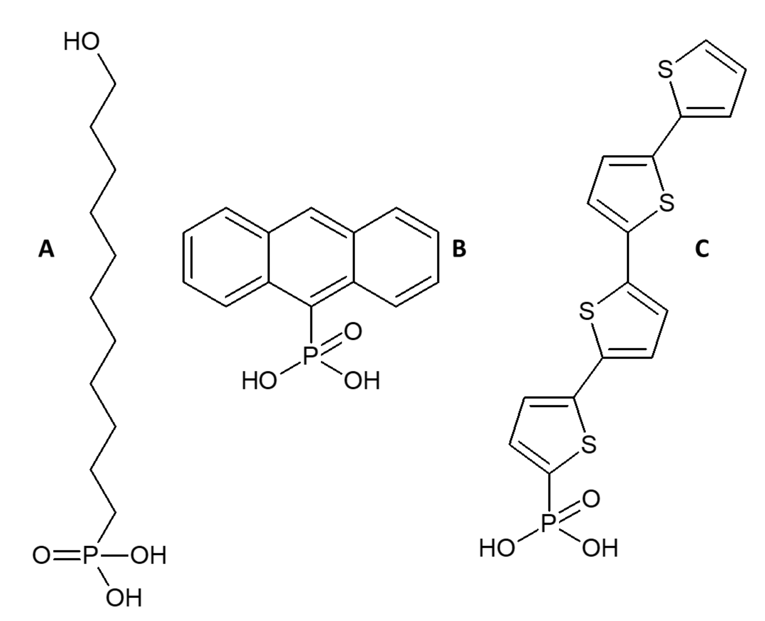
2.2. Phosphorization
2.3. Hydrosilylation
- Stable enough to handle at atmospheric pressure in the presence of solvent vapours.
- Inert to gas impurities and other contaminants.
- Reactive enough to undergo chemistry.
2.3.1. Thermally-Induced Hydrosilylation of Unsaturated Molecules
2.3.2. UV and Visible Light Irradiation-induced Hydrosilylation of Unsaturated Molecules
2.3.3. Electrochemical Approaches to Si-C-bound Hydrocarbon Monolayers
2.3.4. Silanization
3. Sensing Properties of Modified Silicon Nanowires
4. Concluding Remarks and Outlook
Author Contributions
Funding
Institutional Review Board Statement
Informed Consent Statement
Data Availability Statement
Conflicts of Interest
References
- Schmidt, V.; Wittemann, J.V.; Senz, S.; Gösele, U. Silicon nanowires: A review on aspects of their growth and their electrical properties. Adv. Mater. 2009, 21, 2681–2702. [Google Scholar] [CrossRef]
- Wagner, R.S.; Ellis, W.C. Vapor-liquid-solid mechanism of single crystal growth. Appl. Phys. Lett. 1964, 4, 89–90. [Google Scholar] [CrossRef]
- Li, Z.; Chen, X.; Kamins, T.; Nauka, K.; Williams, R.S. Sequence-Specific Label-Free DNA Sensors Based on Silicon Nanowires. Nano Lett. 2004, 4, 245–247. [Google Scholar] [CrossRef]
- Koren, E.; Elias, G.; Boag, A.; Hemesath, E.; Lauhon, L.; Rosenwaks, Y. Direct measurement of individual deep traps in single silicon nanowires. Nano Lett. 2011, 11, 2499–2502. [Google Scholar] [CrossRef]
- Guichard, A.R.; Barsic, D.N.; Sharma, S.; Kamins, T.I.; Brongersma, M.L. Tunable light emission from quantum-confined excitons in TiSi2-catalyzed silicon nanowires. Nano Lett. 2006, 6, 2140–2144. [Google Scholar] [CrossRef]
- Niu, J.J.; Wang, J.N. Effects of synthesis conditions on self-organized growth of aligned arrays of silicon nanowires. Chem. Vap. Depos. 2006, 12, 709–711. [Google Scholar] [CrossRef]
- Tian, B.; Zheng, X.; Kempa, T.J.; Fang, Y.; Yu, N.; Yu, G.; Huang, J.; Lieber, M. Coaxial silicon nanowires as solar cells and nanoelectronic power sources. Nature 2007, 449, 885–889. [Google Scholar] [CrossRef]
- Stelzner, T.; Andrä, G.; Wendler, E.; Wesh, W.; Scholz, R.; Gösele, U.; Christiansen, S. Growth of silicon nanowires by chemical vapour deposition on gold implanted silicon substrates. Nanotechnology 2006, 17, 2895–2898. [Google Scholar] [CrossRef]
- Kanungo, P.D.; Zakharov, N.; Bauer, J.; Breitenstein, O.; Werner, P.; Goesele, U. Controlled in situ boron doping of short silicon nanowires grown by molecular beam epitaxy. Appl. Phys. Lett. 2008, 92, 263107. [Google Scholar] [CrossRef]
- Taghinejad, H.; Taghinejad, M.; Abdolahad, M.; Saeidi, A.; Mohajerzadeh, S. Fabrication and modeling of high sensitivity humidity sensors based on doped silicon nanowires. Sens. Actuators B Chem. 2013, 176, 413–419. [Google Scholar] [CrossRef]
- Demami, F.; Ni, L.; Rogel, R.; Salaun, A.C.; Pichon, L. Silicon nanowires synthesis for chemical sensor applications. Procedia Eng. 2010, 5, 351–354. [Google Scholar] [CrossRef][Green Version]
- Gentile, P.; David, T.; Dhallium, F.; Buttard, D.; Pauc, N.; Hertog, M.; Ferret, P.; Baron, T. The growth of small diameter silicon nanowires to nanotrees. Nanotechnology 2008, 19. [Google Scholar] [CrossRef]
- Wan, L.J.; Gong, W.; Jiang, K.; Li, H.; Tao, B.; Zhang, J. Preparation and surface modification of silicon nanowires under normal conditions. Appl. Surf. Sci. 2008, 254, 4899–4907. [Google Scholar] [CrossRef]
- Hanrath, T.; Korgel, B.A. Supercritical fluid-liquid-solid (SFLS) synthesis of Si and Ge nanowires seeded by colloidal metal nanocrystals. Adv. Mater. 2003, 15, 437–440. [Google Scholar] [CrossRef]
- Korgel, B.A.; Tuan, H.Y.; Ghezelbash, A. Silicon nanowires and silica nanotubes seeded by copper nanoparticles in an organic solvent. Chem. Mater. 2008, 20, 2306–2313. [Google Scholar]
- Luo, L.; Jie, J.; Zhang, W.; He, Z.; Wang, J.; Yuan, G.; Zhang, W.; Wu, L.; Lee, S.-T. Silicon nanowire sensors for Hg2+ and Cd2+ ions. Appl. Phys. Lett. 2009, 94, 17–20. [Google Scholar] [CrossRef]
- Bunimovich, Y.L.; Shin, Y.; Yeo, W.-S.; Amori, M.; Kwong, G.; Heath, J. Quantitative Real-Time Measurements of DNA Hybridization with Alkylated Nonoxidized Silicon Nanowires in Electrolyte Solution. J. Am. Chem. Soc. 2006, 128, 16323–16331. [Google Scholar] [CrossRef]
- Masood, M.N.; Chen, S.; Carlen, E.T.; Berg, A. All-(111) Surface Silicon Nanowires: Selective Functionalization for Biosensing Applications. ACS Appl. Mater. Interfaces 2010, 2, 3422–3428. [Google Scholar] [CrossRef]
- Zhang, G.; Chua, J.; Chee, R.-E.; Agarwal, A.; Wong, S.; Buddharaju, K.; Balasubramanian, N. Highly sensitive measurements of PNA-DNA hybridization using oxide-etched silicon nanowire biosensors. Biosens. Bioelectron. 2008, 23, 1701–1707. [Google Scholar] [CrossRef]
- Zhou, X.T.; Hu, J.; Li, C.; Ma, D.; Lee, C.; Lee, S. Silicon nanowires as chemical sensors. Chem. Phys. Lett. 2003, 369, 220–224. [Google Scholar] [CrossRef]
- Demami, F.; Ni, L.; Rogel, R.; Salaun, A.C.; Pichon, L. Silicon nanowires based resistors as gas sensors. Sens. Actuators B Chem. 2012, 170, 158–162. [Google Scholar] [CrossRef]
- Zotti, G.; Vercelli, B.; Berlin, A. Monolayers and multilayers of conjugated polymers as nanosized electronic components. Acc. Chem. Res. 2008, 41, 1098–1109. [Google Scholar] [CrossRef] [PubMed]
- Cui, Y.; Wei, Q.; Park, H.; Lieber, C.M. Nanowire nanosensors for highly sensitive and selective detection of biological and chemical species. Science 2001, 293, 1289–1292. [Google Scholar] [CrossRef] [PubMed]
- Hahm, J.I.; Lieber, C.M. Direct Ultrasensitive Electrical Detection of DNA and DNA Sequence Variations Using Nanowire Nanosensors. Nano Lett. 2004, 4, 51–54. [Google Scholar] [CrossRef]
- Jin, Y.; Qiao, S.; Costa, C.; Wood, J.; Ladewig, P.; Lu, G. Hydrolytically stable phosphorylated hybrid silicas for proton conduction. Adv. Funct. Mater. 2007, 17, 3304–3311. [Google Scholar] [CrossRef]
- Gawalt, E.S.; Avaltroni, M.; Danahy, M.; Silverman, B.; Hanson, E.; Midwood, S.; Schwarbauer, J.; Schwartz, J. Bonding organics to Ti alloys: Facilitating human osteoblast attachment and spreading on surgical implant materials. Langmuir 2003, 19, 200–204. [Google Scholar] [CrossRef]
- Mutin, P.H.; Guerrero, G.; Vioux, A. Hybrid materials from organophosphorus coupling molecules. J. Mater. Chem. 2005, 15, 3761–3768. [Google Scholar] [CrossRef]
- Hanson, E.L.; Schwartz, J.; Nickel, B.; Koch, N. Bonding Self-Assembled, Compact Organophosphonate Monolayers to the Native Oxide Surface of Silicon. J. Am. Chem. Soc. 2003, 125, 16074–16080. [Google Scholar] [CrossRef]
- Sondag, A.H.M.; Raas, M.C. Order-disorder transition as a function of surface coverage for n-hexadecanoic acid chemisorbed on aluminium. J. Chem. Phys. 1989, 91, 4926–4931. [Google Scholar] [CrossRef]
- Shang, J.; Cheng, F.; Dubey, M.; Kaplan, M.; Rawal, M.; Jiang, X.; Newburg, D.; Sullivan, P.; Andrade, R.; Ratner, D. An organophosphonate strategy for functionalizing silicon photonic biosensors. Langmuir 2012, 28, 3338–3344. [Google Scholar] [CrossRef]
- Gouzman, I.; Dubey, M.; Carolus, M.D.; Schwartz, J.; Bernasek, S.L. Monolayer vs. multilayer self-assembled alkylphosphonate films: X-ray photoelectron spectroscopy studies. Surf. Sci. 2006, 600, 773–781. [Google Scholar] [CrossRef]
- Thissen, P.; Peixoto, T.; Longo, R.; Peng, W.; Schmidt, W.; Cho, K.; Chabal, Y. Activation of surface hydroxyl groups by modification of H-terminated Si(111) surfaces. J. Am. Chem. Soc. 2012, 134, 8869–8874. [Google Scholar] [CrossRef]
- Auernhammer, M.; Schoell, S.J.; Sachsenhauser, M.; Liao, K.-C.; Schwartz, J.; Sharp, I.D.; Cattani-Scholz, A. Surface functionalization of 6H-SiC using organophosphonate monolayers. Appl. Phys. Lett. 2012, 100, 101601. [Google Scholar] [CrossRef]
- Cattani-Scholz, A. Functional Organophosphonate Interfaces for Nanotechnology: A Review. ACS Appl. Mater. Interfaces 2017, 9, 25643–25655. [Google Scholar] [CrossRef]
- Queffélec, C.; Petit, M.; Janvier, P.; Knight, D.A.; Bujoli, B. Surface modification using phosphonic acids and esters. Chem. Rev. 2012, 112, 3777–3807. [Google Scholar] [CrossRef]
- Garipcan, B.; Odabas, S.; Demirel, G.; Burger, J.; Nonnenmann, S.; Coster, M.; Gallo, E.; Nabet, B.; Spanier, J.; Piskin, E. In vitro biocompatibility of n-type and undoped silicon nanowires. Adv. Eng. Mater. 2011, 13, 3–9. [Google Scholar] [CrossRef]
- Lew, K.K.; Pan, L.; Bogart, T.; Dilts, S.; Dickey, E.; Redwing, J. Structural and electrical properties of trimethylboron-doped silicon nanowires. Appl. Phys. Lett. 2004, 85, 3101–3103. [Google Scholar] [CrossRef]
- Cui, Y.; Duan, X.; Hu, J.; Lieber, C.M. Doping and electrical transport in silicon nanowires. J. Phys. Chem. B 2000, 104, 5215–5216. [Google Scholar] [CrossRef]
- Wang, Y.; Lew, K.-K.; Ho, T.-T.; Pan, L.; Novak, S.; Dickey, E.; Redwing, J.; Mayer, T. Use of phosphine as an n-type dopant source for vapor-liquid-solid growth of silicon nanowires. Nano Lett. 2005, 5, 2139–2143. [Google Scholar] [CrossRef]
- Calistri-Yeh, M.; Kramer, E.; Sharma, R.; Zhao, W.; Rafailovich, M.H.; Sokolov, J.; Brock, J.D. Thermal stability of self-assembled monolayers from alkylchlorosilanes. Langmuir 1996, 12, 2747–2755. [Google Scholar] [CrossRef]
- Higashi, G.S.; Becker, R.S.; Chabal, Y.J.; Becker, A.J. Comparison of Si(111) surfaces prepared using aqueous solutions of NH4F versus HF. Appl. Phys. Lett. 1991, 58, 1656–1658. [Google Scholar] [CrossRef]
- Higashi, G.S.; Chabal, Y.J.; Trucks, G.W.; Raghavachari, K. Ideal hydrogen termination of the Si (111) surface. Appl. Phys. Lett. 1990, 56, 656–658. [Google Scholar] [CrossRef]
- Allongue, P.; Costa-Kieling, V.; Gerische, H. Etching of Silicon in NaOH Solutions. J. Electrochem. Soc. 1993, 140, 1009–1018. [Google Scholar] [CrossRef]
- Wolkow, R.A. Controlled Molecular Adsorption on Silicon: Laying a Foundation for Molecular Devices. Annu. Rev. Phys. Chem. 1999, 50, 413–441. [Google Scholar]
- Linford, M.R.; Renter, P.; Eisenberger, P.M.; Chidsey, C.E.D. Alkyl Monolayers on Silicon Prepared from 1-Alkenes and Hydrogen-Terminated Silicon. J. Am. Chem. Soc. 1995, 117, 3145–3155. [Google Scholar] [CrossRef]
- Linford, M.R.; Chidsey, C.E.D. Alkyl monolayers covalently bonded to silicon surfaces. J. Am. Chem. Soc. 1993, 115, 12631–12632. [Google Scholar] [CrossRef]
- Bateman, J.E.; Eagling, R.D.; Worrall, D.R.; Horrocks, B.R.; Houlton, A. Alkylation of porous silicon by direct reaction with alkenes and alkynes. Angew. Chem. Int. Ed. 1998, 37, 2683–2685. [Google Scholar] [CrossRef]
- Feng, W.; Miller, B. Self-assembly and characterization of fullerene monolayers on Si(100) surfaces. Langmuir 1999, 15, 3152–3156. [Google Scholar] [CrossRef]
- Bain, C.D.; Evall, J.; Whitesides, G.M. Formation of monolayers by the co-adsorption of thiols on gold: Variation in the head group, tail group, and solvent. J. Am. Chem. Soc. 1989, 111, 7155–7164. [Google Scholar] [CrossRef]
- Sieval, A.B.; Opitz, R.; Maas, H.; Schoeman, M.; Meijer, G.; Vergeldt, F.; Zuilhof, H.; Sudhölter, R. Monolayers of 1-alkynes on the H-terminated Si(100) surface. Langmuir 2000, 16, 10359–10368. [Google Scholar] [CrossRef]
- Henriksson, A.; Friedbacher, G.; Hoffmann, H. Surface modification of silicon nanowires via copper-free click chemistry. Langmuir 2011, 27, 7345–7348. [Google Scholar] [CrossRef]
- Terry, J.; Linford, M.; Wigren, C.; Cao, R.; Pianetta, P.; Chidsey, C. Determination of the bonding of alkyl monolayers to the Si(111) surface using chemical-shift, scanned-energy photoelectron. Appl. Phys. Lett. 1997, 71, 1056–1058. [Google Scholar] [CrossRef]
- Sun, Q.-Y.; Smet, L.; Lagen, B.; Wright, A.; Zuilhof, H.; Sudhölter, E. Covalently Attached Monolayers on Hydrogen-Terminated Si(100): Extremely Mild Attachment by Visible Light. Angew. Chem. 2004, 116, 1376–1379. [Google Scholar] [CrossRef]
- Eves, B.J.; Sun, Q.Y.; Lopinski, G.P.; Zuilhof, H. Photochemical attachment of organic monolayers onto H-terminated Si(111): Radical chain propagation observed via STM studies. J. Am. Chem. Soc. 2004, 126, 14318–14319. [Google Scholar] [CrossRef][Green Version]
- Streifer, J.A.; Kim, H.; Nichols, B.M.; Hamers, R.J. Covalent functionalization and biomolecular recognition properties of DNA-modified silicon nanowires. Nanotechnology 2005, 16, 1868–1873. [Google Scholar] [CrossRef]
- Villeneuve, C.H.D.; Pinson, J.; Bernard, M.C.; Allongue, P. Electrochemical Formation of Close-Packed Phenyl Layers on Si (111). J. Phys. Chem. B 1997, 101, 2415–2420. [Google Scholar] [CrossRef]
- Allongue, P.; Villeneuve, C.; Pinson, J.; Ozanam, F.; Chazalviel, J.; Wallart, X. Organic monolayers on Si (111) by electrochemical method. Electrochim. Acta 1998, 43, 2791–2798. [Google Scholar] [CrossRef]
- Robins, E.G.; Stewart, M.P.; Buriak, J.M. Anodic and cathodic electrografting of alkynes on porous silicon. Chem. Commun. 1999, 2479–2480. [Google Scholar] [CrossRef]
- Buriak, J.M.; Allen, M.J. Lewis Acid Mediated Functionalization of Porous Silicon with Substituted Alkenes and Alkynes. J. Am. Chem. Soc. 1998, 120, 1339–1340. [Google Scholar] [CrossRef]
- Buriak, J.M.; Stewart, P.; Geders, T.; Allen, M.; Choi, H.; Smith, j.; Raftery, D.; Canham, L. Lewis Acid Mediated Hydrosilylation on Porous Silicon Surfaces. J. Am. Chem. Soc. 1999, 121, 11491–11502. [Google Scholar] [CrossRef]
- Whitman, L.; Joyce, S.; Yarmoff, J. The chemisorption of chlorosilanes and chlorine on Si (111) 7×7. Surf. Sci. 1990, 232, 297–306. [Google Scholar] [CrossRef]
- Haick, H.; Hurley, P.T.; Hochbaum, A.I.; Yang, P.; Lewis, N.S. Electrical characteristics and chemical stability of non-oxidized, methyl-terminated silicon nanowires. J. Am. Chem. Soc. 2006, 128, 8990–8991. [Google Scholar] [CrossRef][Green Version]
- Coffinier, Y.; Boukherroub, R. Surface modification of semiconducting silicon nanowires for biosensing applications. Semicond. Silicon Nanowires Biomed. Appl. 2014, 26–61. [Google Scholar] [CrossRef]
- Aissaoui, N.; Bergaoui, L.; Landoulsi, J.; Lambert, J.-F.; Boujday, S. Silane Layers on Silicon Surfaces: Mechanism of Interaction, Stability, and Influence on Protein Adsorption. Langmuir 2012, 28, 656–665. [Google Scholar] [CrossRef] [PubMed]
- Tesoro, G.; Wu, Y. Silane coupling agents: The role of the organofunctional group. J. Adhes. Sci. Technol. 1991, 5, 771–784. [Google Scholar] [CrossRef]
- Gun, J.; Iscovici, R.; Sagiv, J. On the Formation and Structure of Self-Assembling Monolayers II. A Comparative Study of Langmuir-Blodgett and Adsorbed Films Using Ellipsometry and IR Reflection-Absorption Spectroscopy. J. Colloid Interface Sci. 1984, 101, 201–213. [Google Scholar] [CrossRef]
- Kurth, D.G.; Bein, T. Surface Reactions on Thin Layers of Silane Coupling Agents. Langmuir 1993, 9, 2965–2973. [Google Scholar] [CrossRef]
- Langmuir, I. The mechanism of the surface phenomena of flotation. Trans. Faraday Soc. 1920, 15, 62–74. [Google Scholar] [CrossRef]
- Netzer, L.; Sagiv, J. A new approach to construction of artificial monolayer assemblies. J. Am. Chem. Soc. 1983, 105, 674–676. [Google Scholar] [CrossRef]
- Aswal, D.K.; Lenfant, S.; Guerin, D.; Yakhmi, J.V.; Vuillaume, D. Self-assembled monolayers on silicon for molecular electronics. Anal. Chim. Acta 2006, 568, 84–108. [Google Scholar] [CrossRef]
- Wasserman, S.R.; Tao, Y.; Whitesides, G.M. Structure and Reactivity of Alkylsiloxane Monolayers Formed by Reaction of Alkyltrichlorosilanes on Silicon Substrates. Langmuir 1989, 5, 1074–1087. [Google Scholar] [CrossRef]
- Tillman, N.; Ulman, A.; Schildkraut, J.S.; Penner, T.L. Incorporation of Phenoxy Groups in Self-Assembled Monolayers of Trichlorosilane Derivatives: Effects on Film. J. Am. Chem. Soc. 1988, 110, 6136–6144. [Google Scholar] [CrossRef]
- Patolsky, F.; Lieber, C.M. Nanowire nanosensors. Mater. Today 2005, 8, 20–28. [Google Scholar] [CrossRef]
- Patolsky, F.; Zheng, G.; Lieber, C.M. Fabrication of silicon nanowire devices for ultrasensitive, label-free, real-time detection of biological and chemical species. Nat. Protoc. 2006, 1, 1711–1724. [Google Scholar]
- Salhi, B.; Vaurette, F.; Grandidier, B.; Stiévenard, D.; Melnyk, O.; Coffinier, Y.; Boukherroub, R. The collagen assisted self-assembly of silicon nanowires. Nanotechnology 2009, 20, 235601–235606. [Google Scholar] [CrossRef]
- Liu, N.; Yao, Y.; Cha, J.; McDowell, M.; Han, Y.; Cu, Y. Functionalization of silicon nanowire surfaces with metal-organic frameworks. Nano Res. 2012, 5, 109–116. [Google Scholar] [CrossRef]
- Mirsian, S.; Khodadadiana, A.; Hedayatid, M.; Manzour-ol-Ajdadd, A.; Kalantarinejadd, R.; Heitzinger, C. A new method for selective functionalization of silicon nanowire sensors and Bayesian inversion for its parameters. Biosens. Bioelectron. 2019, 142, 111527. [Google Scholar] [CrossRef]
- Serre, P.; Ternon, C.; Stambouli, V.; Periwal, P.; Baron, T. Fabrication of silicon nanowire networks for biological sensing. Sensors Actuators B 2013, 182, 390–395. [Google Scholar] [CrossRef]
- Ghorbanpour, M.; Falamaki, C. A novel method for the fabrication of ATPES silanized SPR sensor chips: Exclusion of Cr or Ti intermediate layers and optimization of optical/adherence properties. Appl. Surf. Sci. 2014, 301, 544–550. [Google Scholar] [CrossRef]
- Howarter, J.A.; Youngblood, J.P. Optimization of Silica Silanization by 3-Aminopropyltriethoxysilane. Langmuir 2006, 26, 11142–11147. [Google Scholar] [CrossRef]
- Zou, J.; Kauzlarich, S.M. Functionalization of silicon nanoparticles via silanization: Alkyl, halide and ester. J. Clust. Sci. 2008, 19, 341–355. [Google Scholar] [CrossRef]
- Schmohl, A.; Khan, A.; Hess, P. Functionalization of oxidized silicon surfaces with methyl groups and their characterization. Superlattices Microstruct. 2004, 36, 113–121. [Google Scholar] [CrossRef]
- Almanza-Workman, A.M.; Raghavan, S.; Petrovic, S.; Gogoi, B.; Deymier, P.; Monk, D.; Roop, R. Characterization of highly hydrophobic coatings deposited onto pre-oxidized silicon from water dispersible organosilanes. Thin Solid Films 2003, 423, 77–87. [Google Scholar] [CrossRef]
- Cheng, W.; McCown, M. Effect of alkyl chain length on surface silanization of silica. J. Chromatogr. A 1985, 318, 173–185. [Google Scholar] [CrossRef]
- Costa, A.C.; Composto, R.J.; Vlček, P.; Geoghegan, M. Block copolymer adsorption from a homopolymer melt to an amine-terminated surface. Eur. Phys. J. E 2005, 18, 159–166. [Google Scholar] [CrossRef]
- Sapsford, K.E.; Ligler, F.S. Real-time analysis of protein adsorption to a variety of thin films. Biosens. Bioelectron. 2004, 19, 1045–1055. [Google Scholar] [CrossRef]
- Enders, D.; Nagao, T.; Pucci, A.; Nakayama, T. Reversible adsorption of Au nanoparticles on SiO2/Si: An in situ ATR-IR study. Surf. Sci. 2006, 600, 71–75. [Google Scholar] [CrossRef]
- Vandenberg, E.T.; Bertilsson, L.; Liedberg, B.; Erlandsson, R.; Elwing, H.; Lundström, I. Structure of 3-aminopropyl triethoxy silane on silicon oxide. J. Colloid Interface Sci. 1991, 147, 103–118. [Google Scholar] [CrossRef]
- Golub, A.A.; Zubenko, A.I.; Zhmud, B.V. γ-APTES modified silica gels: The structure of the surface layer. J. Colloid Interface Sci. 1996, 179, 482–487. [Google Scholar] [CrossRef]
- Lin, M.C.; Chu, C.J.; Tsai, L.C.; Lin, H.Y.; Wu, C.S.; Wu, Y.P.; Wu, Y.N.; Shieh, D.B.; Su, Y.W.; Chen, C.D. Control and Detection of Organosilane Polarization on Nanowire Field-Effect Transistors. Nano Lett. 2007, 12, 3656–3661. [Google Scholar] [CrossRef]
- Suspène, C.; Barattin, R.; Celle, C.; Carella, A.; Simonato, J.P. Chemical functionalization of silicon nanowires by an electroactive group: A direct spectroscopic characterization of the hybrid nanomaterial. J. Phys. Chem. C 2010, 114, 3924–3931. [Google Scholar] [CrossRef]
- Decher, G. Fuzzy nanoassemblies: Toward layered polymeric multicomposites. Science 1997, 277, 1232–1237. [Google Scholar] [CrossRef]
- Vu, X.T.; Stockmann, R.; Wolfrum, B.; Offenhäuser, A.; Ingebrandt, S. Fabrication and application of a microfluidic-embedded silicon nanowire biosensor chip. Phys. Status Solidi Appl. Mater. Sci. 2010, 207, 850–857. [Google Scholar] [CrossRef]
- Liu, Y.; Wang, A.; Claus, R.O. Layer-by-layer electrostatic self-assembly of nanoscale Fe3O4 particles and polyimide precursor on silicon and silica surfaces. Appl. Phys. Lett. 1997, 71, 2265–2267. [Google Scholar] [CrossRef]
- Vena, A.; Perret, E.; Kaddour, D.; Barron, T. Toward a Reliable Chipless RFID Humidity Sensor Tag Based on Silicon Nanowires. IEEE Trans. Microw Theory Tech. 2016, 64, 2977–2985. [Google Scholar] [CrossRef]
- Shao, M.; Ma, D.D.D.; Lee, S.T. Silicon nanowires–Synthesis, properties, and applications. Eur. J. Inorg. Chem. 2010, 2010, 4264–4278. [Google Scholar] [CrossRef]
- Paret, D. RFID at Ultra and Super High Frequencies: Theory and Application; John Wiley & Sons: New York City, NY, USA, 2009. [Google Scholar]
- Perret, E. Radio Frequency Identification and Sensors: From RFID to Chipless RFID; Wiley-ISTE: London, UK, 2014. [Google Scholar]
- Tedjini, N.; Karmakar, N.; Perret, E.; Vena, A.; Koswatta, R.; E-Azim, R. Hold the Chips: Chipless Technology, an alternativetechnique for RFID. IEEE Microw. Mag. 2013, 14, 56–65. [Google Scholar] [CrossRef]
- Saha, C.; Siddiqui, J.Y.; Guha, D.; Antar, Y.M.M. Square Split Ring Resonator: Modeling of resonant frequency and polarizability. IEEE Applied Electromagnetics Conference (AEMC), Kolkata, India, 19–20 December 2007; pp. 1–3. [Google Scholar] [CrossRef]
- Saha, C.; Siddiqui, J.Y. A comparative analysis for split ring resonators of different geometrical shapes. IEEE Applied Electromagnetics Conference (AEMC), Kolkata, India, 18–22 December 2011; pp. 1–4. [Google Scholar] [CrossRef]
- Collins, G.; Holmes, J.D. Chemical functionalisation of silicon and germanium nanowires. J. Mater. Chem. 2011, 21, 11052–11069. [Google Scholar] [CrossRef]
- Bashouti, M.Y.; Paska, Y.; Puniredd, S.R.; Stelzner, T.; Christiansen, S.; Haick, H. Silicon nanowires terminated with methyl functionalities exhibit stronger Si-C bonds than equivalent 2D surfaces. Phys. Chem. Chem. Phys. 2009, 11, 3845–3848. [Google Scholar] [CrossRef]
- Zhang, T.; Mu, L.; She, G.; Shi, W. 2×2 Fluorescent sensor array based on SiNWs for analysis of Pb2+, Cd2+, Cr3+ and Hg2+. J. Lumin 2019, 209, 267–273. [Google Scholar] [CrossRef]
- Madou, M.J.; Morrison, S.R. Chemical Sensing with Solid State Devices; Academic Press: San Diego, CA, USA, 1989; pp. 67–104. [Google Scholar]
- Galstyan, V. “Quantum dots: Perspectives in next-generation chemical gas sensors”—A review. Anal. Chim. Acta 2021, 1152, 238192. [Google Scholar] [CrossRef]
- Liu, Y.; Liu, Y.; Guo, Y.; Xu, J.; Xu, X.; Fang, X.; Liu, J.; Chen, W.; Arandiyan, H.; Wang, X. Tuning SnO2 Surface Area for Catalytic Toluene Deep Oxidation: On the Inherent Factors Determining the Reactivity. Ind. Eng. Chem. Res. 2018, 57, 14052–14063. [Google Scholar] [CrossRef]
- Wang, B.; Haick, H. Effect of functional groups on the sensing properties of silicon nanowires toward volatile compounds. ACS Appl. Mater. Interfaces 2013, 5, 2289–2299. [Google Scholar] [CrossRef]
- Wang, B.; Cancilla, J.C.; Torrecilla, J.S.; Haick, H. Artificial sensing intelligence with silicon nanowires for ultraselective detection in the gas phase. Nano Lett. 2014, 14, 933–938. [Google Scholar] [CrossRef]
- Paska, Y.; Stelzner, T.; Christiansen, S.; Haick, H. Enhanced sensing of nonpolar volatile organic compounds by silicon nanowire field effect transistors. ACS Nano 2011, 5, 5620–5626. [Google Scholar] [CrossRef]
- Yang, L.; Lin, H.; Zhang, Z.; Cheng, L.; Ye, S.; Shao, M. Gas sensing of tellurium-modified silicon nanowires to ammonia and propylamine. Sens. Actuators B 2013, 177, 260–264. [Google Scholar] [CrossRef]
- Sen, S.; Muthe, K.P.; Joshi, N.; Gadkari, S.C.; Gupta, S.K.; Roy, M.; Deshpande, S.K.; Yakhmi, J.V. Room temperature operating ammonia sensor based on tellurium thin films. Sens. Actuators B 2004, 98, 154–159. [Google Scholar] [CrossRef]
- Tsiulyanu, D.; Marian, S.; Liess, H.D. Sensing properties of tellurium based thin films to propylamine and carbon oxide. Sens. Actuators B 2002, 85, 232–238. [Google Scholar]
- Staffell, I.; Scamman, D.; Abad, A.; Balcombe, P.; Dodds, P.; Ekins, P.; Shah, N.; Ward, K. The role of hydrogen and fuel cells in the global energy system. Energy Environ. Sci. 2019, 12, 463–491. [Google Scholar] [CrossRef]
- Dryer, F.L.; Chaos, M.; Zhao, Z.; Stein, J.; Alpert, J.; Homer, C. Spontaneous ignition of pressurized releases of hydrogen and natural gas into air. Combust. Sci. Technol. 2007, 179, 663–694. [Google Scholar] [CrossRef]
- Chen, Z.H.; Jie, J.; Luo, L.; Wang, H.; Lee, C.; Lee, S. Applications of silicon nanowires functionalized with palladium nanoparticles in hydrogen sensors. Nanotechnology 2007, 18. [Google Scholar] [CrossRef]
- Wolfe, D.B.; Love, J.C.; Paul, K.E.; Chabinyc, M.L.; Whitesides, G.M. Fabrication of palladium-based microelectronic devices by microcontact printing. Appl. Phys. Lett. 2002, 80, 2222–2224. [Google Scholar] [CrossRef]
- Li, Z.; Rajendran, B.; Kamins, T.; Li, X.; Chen, Y.; Williams, R. Silicon nanowires for sequence-specific DNA sensing: Device fabrication and simulation. Appl. Phys. A Mater. Sci. Process. 2005, 80, 1257–1263. [Google Scholar] [CrossRef]
- Cattani-scholz, A.; Pedonne, D.; Dubey, M.; Neppl, S.; Nickel, B.; Feulner, P.; Schwartz, J.; Abstreiter, G.; Torrow, M. Organophosphonate-Based PNA- Functionalization of Silicon Nanowires for Label-Free DNA Detection. ACS Nano 2008, 2, 1653–1660. [Google Scholar] [CrossRef] [PubMed]
- Chen, W.; Yao, H.; Tzang, C.; Zhu, J.; Yang, M.; Lee, S.-T. Silicon nanowires for high-sensitivity glucose detection. Appl. Phys. Lett. 2006, 88, 5–8. [Google Scholar] [CrossRef]
- Li, H.; Zhang, J.; Tao, B.R.; Wan, L.J.; Gong, W.L. Investigation of capacitive humidity sensing behavior of silicon nanowires. Phys. E Low-Dimensional Syst. Nanostructures 2009, 41, 600–604. [Google Scholar] [CrossRef]
- Chen, X.; Zhang, J.; Wang, Z.; Yan, Q.; Hui, S. Humidity sensing behavior of silicon nanowires with hexamethyldisilazane modification. Sens. Actuators B 2011, 156, 631–636. [Google Scholar] [CrossRef]
- Tao, B.; Zhang, J.; Miao, F.; Li, H.; Wan, L.; Wang, Y. Capacitive humidity sensors based on Ni/SiNWs nanocomposites. Sens. Actuators B 2009, 136, 144–150. [Google Scholar] [CrossRef]
- Engel, Y.; Elnathan, R.; Pevzner, A.; Davidi, G.; Flaxer, E.; Patolsky, F. Supersensitive detection of explosives by silicon nanowire arrays. Angew. Chem. Int. Ed. 2010, 49, 6830–6835. [Google Scholar] [CrossRef]
- Ma, Y.; Zhang, J.; Zhang, G.; He, H. Polyaniline nanowires on Si surfaces fabricated with DNA templates. J. Am. Chem. Soc. 2004, 126, 7097–7101. [Google Scholar] [CrossRef]



















| Functionalization Method | Simplicity of Implementation | Sensor Designing | Advantages/Disadvantages | Process Temperature (°C) | Reference |
|---|---|---|---|---|---|
| Hydrosilylation | Versatile approach | Well adapted for large scale sensor development | Improve the sensing effect; High quality films obtained; Large excess of unsaturated molecules required | 100–230 | [17,46,48,52] |
| Silanization | Easy to implement | Most applied for sensor design | High surface loading; Plausible condensation of organosilanes on the surface | 25–130 | [68,76,84,91] |
| Esterification | Stepwise functionalization | Little used technique | Lower hydrolytic stability; Eco-friendly process | 25 | [24] |
| Phosphorization | difficult to prepare well-defined surface for functionalization | ill-adapted for industrial applications | High surface coverage; Excellent thermal stability; Stable P-O-C bonds upon hydrolysis. Unsuitable for attaching organic groups; Long processing time (48h) | 140 | [25,28,32,35] |
| Sensor Type | Surface Modification | Doping Agent | Receptor | Sensing | Type of Measurement | Reference |
|---|---|---|---|---|---|---|
| Gas | APTES | - | CH3, C6H5, COOH, COOCH3 | Volatile organic compounds, TNT, Ammonia, Propylamine | In touch | [104,105,106,107,108,109,112,124] |
| HTS | - | - | ||||
| Humidity | HDMS | - | - | Water | In touch | [18,113] |
| - | POCl3 | - | ||||
| Hydrogen | - | Pd | - | In touch | [115] | |
| Ions | Fluoroionophores | - | - | Pb2+, Cr3+, Cd2+, Hg2+ | remote | [104] |
| Biological | 11-hydroxyundecylphosphonate | - | PNA | DNA | [110,111,112] | |
| MPTMS | - | PNA | DNA | In touch | ||
| 10-undecylenic acid (UDA) | - | - | Glucose | |||
| pH | Polyaniline | - | DNA | H+ | In touch | [125] |
Publisher’s Note: MDPI stays neutral with regard to jurisdictional claims in published maps and institutional affiliations. |
© 2021 by the authors. Licensee MDPI, Basel, Switzerland. This article is an open access article distributed under the terms and conditions of the Creative Commons Attribution (CC BY) license (https://creativecommons.org/licenses/by/4.0/).
Share and Cite
Ahoulou, S.; Perret, E.; Nedelec, J.-M. Functionalization and Characterization of Silicon Nanowires for Sensing Applications: A Review. Nanomaterials 2021, 11, 999. https://doi.org/10.3390/nano11040999
Ahoulou S, Perret E, Nedelec J-M. Functionalization and Characterization of Silicon Nanowires for Sensing Applications: A Review. Nanomaterials. 2021; 11(4):999. https://doi.org/10.3390/nano11040999
Chicago/Turabian StyleAhoulou, Samuel, Etienne Perret, and Jean-Marie Nedelec. 2021. "Functionalization and Characterization of Silicon Nanowires for Sensing Applications: A Review" Nanomaterials 11, no. 4: 999. https://doi.org/10.3390/nano11040999
APA StyleAhoulou, S., Perret, E., & Nedelec, J.-M. (2021). Functionalization and Characterization of Silicon Nanowires for Sensing Applications: A Review. Nanomaterials, 11(4), 999. https://doi.org/10.3390/nano11040999

