Anomalous Temperature Dependence of Photoluminescence Caused by Non-Equilibrium Distributed Carriers in InGaN/(In)GaN Multiple Quantum Wells
Abstract
1. Introduction
2. Materials and Methods
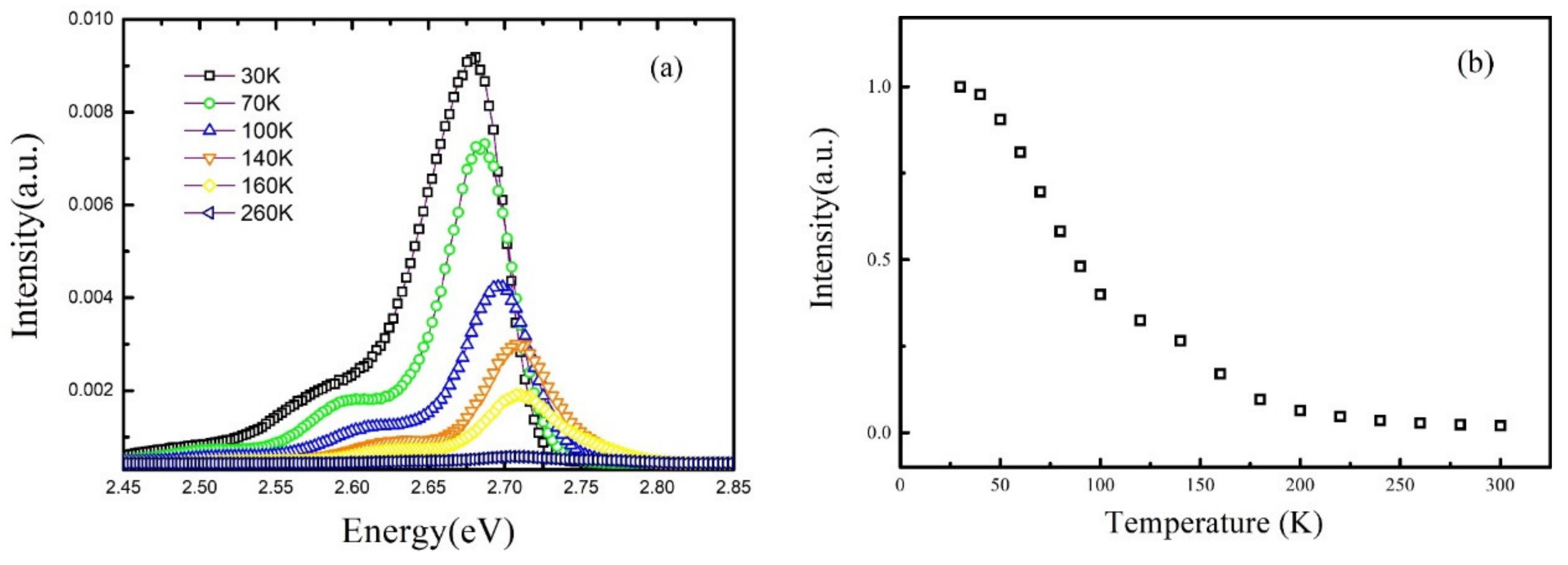
3. Results and Discussion
4. Conclusions
Author Contributions
Funding
Data Availability Statement
Conflicts of Interest
References
- Nakamura, S.; Senoh, M.; Nagahama, S.; Iwasa, N.; Yamada, T.; Matsushita, T.; Kiyoku, H.; Sugimoto, Y. InGaN-based multi-quantum-well-structure laser diodes. Jpn. J. Appl. Phys. 1996, 35, L74–L76. [Google Scholar] [CrossRef]
- Schubert, E.F.; Kim, J.K. Solid-state light sources getting smart. Science 2005, 308, 1274–1278. [Google Scholar] [CrossRef] [PubMed]
- Wu, J. When group-III nitrides go infrared: New properties and perspectives. J. Appl. Phys. 2009, 106. [Google Scholar] [CrossRef]
- Zhao, D.G. III-nitride based ultraviolet laser diodes. J. Semicond. 2019, 40, 120402. [Google Scholar] [CrossRef]
- König, H.; Gerhard, S.; Ali, M.; Heine, U.; Tautz, S.; Eichler, C.; Brüderl, G.; Peter, M.; Lell, A.; Behringer, M.; et al. Blue high power InGaN semiconductor laser diodes: Design optimization of laser bars and single emitters for best performance and reliability. In Proceedings of the High-Power Diode Laser Technology XVIII, San Francisco, CA, USA, 1–6 February 2020. [Google Scholar]
- Nakatsu, Y.; Nagao, Y.; Hirao, T.; Hara, Y.; Masui, S.; Yanamoto, T.; Nagahama, S.-I.; Morkoç, H.; Fujioka, H.; Schwarz, U.T. Blue and green InGaN semiconductor lasers as light sources for displays. In Proceedings of the Gallium Nitride Materials and Devices XV, San Francisco, CA, USA, 1–6 February 2020. [Google Scholar]
- Liang, F.; Yang, J.; Zhao, D.; Liu, Z.; Zhu, J.; Chen, P.; Jiang, D.; Shi, Y.; Wang, H.; Duan, L.; et al. Room-temperature continuous-wave operation of GaN-based blue-violet laser diodes with a lifetime longer than 1000 h. J. Semicond. 2019, 40, 022801. [Google Scholar] [CrossRef]
- Narukawa, Y.; Kawakami, Y.; Funato, M.; Fujita, S.; Fujita, S.; Nakamura, S. Role of self-formed InGaN quantum dots for exciton localization in the purple laser diode emitting at 420 nm. Appl. Phys. Lett. 1997, 70, 981–983. [Google Scholar] [CrossRef]
- Leroux, M.; Grandjean, N.; Beaumont, B.; Nataf, G.; Semond, F.; Massies, J.; Gibart, P. Temperature quenching of photoluminescence intensities in undoped and doped GaN. J. Appl. Phys. 1999, 86, 3721–3728. [Google Scholar] [CrossRef]
- Martin, R.W.; Middleton, P.G.; O’Donnell, K.P.; van der Stricht, W. Exciton localization and the Stokes’ shift in InGaN epilayers. Appl. Phys. Lett. 1999, 74, 263–265. [Google Scholar] [CrossRef]
- Hao, M.; Zhang, J.; Zhang, X.H.; Chua, S.J.A.P.L. Photoluminescence studies on InGaN/GaN multiple quantum wells with different degree of localization. Appl. Phys. Lett. 2002, 81, 5129–5131. [Google Scholar] [CrossRef]
- Yasan, A.; McClintock, R.; Mayes, K.; Kim, D.H.; Kung, P.; Razeghi, M. Photoluminescence study of AlGaN-based 280 nm ultraviolet light-emitting diodes. Appl. Phys. Lett. 2003, 83, 4083–4085. [Google Scholar] [CrossRef]
- Peng, L.; Zhao, D.; Zhu, J.; Wang, W.; Liang, F.; Jiang, D.; Liu, Z.; Chen, P.; Yang, J.; Liu, S.; et al. Achieving homogeneity of InGaN/GaN quantum well by well/barrier interface treatment. Appl. Surf. Sci. 2020, 505. [Google Scholar] [CrossRef]
- Cho, Y.-H.; Gainer, G.H.; Fischer, A.J.; Song, J.J.; Keller, S.; Mishra, U.K.; DenBaars, S.P. “S-shaped” temperature-dependent emission shift and carrier dynamics in InGaN/GaN multiple quantum wells. Appl. Phys. Lett. 1998, 73, 1370–1372. [Google Scholar] [CrossRef]
- Eliseev, P.G.; Perlin, P.; Lee, J.; Osiński, M. “Blue” temperature-induced shift and band-tail emission in InGaN-based light sources. Appl. Phys. Lett. 1997, 71, 569–571. [Google Scholar] [CrossRef]
- Liu, W.; Zhao, D.; Jiang, D.; Shi, D.; Zhu, J.; Liu, Z.; Chen, P.; Yang, J.; Liang, F.; Liu, S.; et al. Effect of carrier transfer process between two kinds of localized potential traps on the spectral properties of InGaN/GaN multiple quantum wells. Opt. Express 2018, 26, 3427–3434. [Google Scholar] [CrossRef] [PubMed]
- Zheng, X.H.; Chen, H.; Yan, Z.B.; Li, D.S.; Yu, H.B.; Huang, Q.; Zhou, J.M. Influence of the deposition time of barrier layers on optical and structural properties of high-efficiency green-light-emitting InGaN/GaN multiple quantum wells. J. Appl. Phys. 2004, 96, 1899–1903. [Google Scholar] [CrossRef]
- Yang, J.; Zhao, D.G.; Jiang, D.S.; Chen, P.; Liu, Z.S.; Zhu, J.J.; Li, X.; Liu, W.; Liang, F.; Zhang, L.Q. Physical implications of activation energy derived from temperature dependent photoluminescence of InGaN-based materials. Chin. Phys. B 2017, 26, 077101. [Google Scholar] [CrossRef]
- Lin, T.; Kuo, H.C.; Jiang, X.D.; Feng, Z.C. Recombination Pathways in Green InGaN/GaN Multiple Quantum Wells. Nanoscale Res. Lett. 2017, 12. [Google Scholar] [CrossRef]
- Dawson, P.; Schulz, S.; Oliver, R.A.; Kappers, M.J.; Humphreys, C.J. The nature of carrier localisation in polar and nonpolar InGaN/GaN quantum wells. J. Appl. Phys. 2016, 119. [Google Scholar] [CrossRef]
- Liu, W.; Zhao, D.G.; Jiang, D.S.; Chen, P.; Liu, Z.S.; Zhu, J.J.; Shi, M.; Zhao, D.M.; Li, X.; Liu, J.P.; et al. Temperature dependence of photoluminescence spectra for green light emission from InGaN/GaN multiple wells. Opt. Express 2015, 23, 15935–15943. [Google Scholar] [CrossRef] [PubMed]
- Lu, T.P.; Ma, Z.G.; Du, C.H.; Fang, Y.T.; Wu, H.Y.; Jiang, Y.; Wang, L.; Dai, L.G.; Jia, H.Q.; Liu, W.M.; et al. Temperature-dependent photoluminescence in light-emitting diodes. Sci. Rep. 2014, 4. [Google Scholar] [CrossRef]
- Miller, R.C.; Kleinman, D.A.; Nordland, W.A., Jr.; Gossard, A.C. Luminescence Studies of Optically Pumped Quantum Wells in GaAs-AlxGal-x As Multilayer Structures. Phys. Rev. B 1980, 22, 863–871. [Google Scholar] [CrossRef]
- Nakamura, S. The Roles of Structural Imperfections in InGaN-Based Blue Light-Emitting Diodes and Laser Diodes. Science 1998. [Google Scholar] [CrossRef] [PubMed]
- Zhu, Y.D.; Lu, T.P.; Zhou, X.R.; Zhao, G.Z.; Dong, H.L.; Jia, Z.G.; Liu, X.G.; Xu, B.S. Effect of hydrogen treatment temperature on the properties of InGaN/GaN multiple quantum wells. Nanoscale Res. Lett. 2017, 12. [Google Scholar] [CrossRef] [PubMed]
- Suihkonen, S.; Lang, T.; Svensk, O.; Sormunen, J.; Toermae, P.T.; Sopanen, M.; Lipsanen, H.; Odnoblyudov, M.A.; Bougrov, V.E. Control of the morphology of InGaN/GaN quantum wells grown by metalorganic chemical vapor deposition. J. Cryst. Growth 2007, 300, 324–329. [Google Scholar] [CrossRef]
- Chen, Y.; Takeuchi, T.; Amano, H.; Akasaki, I.; Yamano, N.; Kaneko, Y.; Wang, S.Y. Pit formation in GaInN quantum wells. Appl. Phys. Lett. 1998, 72, 710–712. [Google Scholar] [CrossRef]
- Piner, E.L.; Behbehani, M.K.; ElMasry, N.A.; McIntosh, F.G.; Roberts, J.C.; Boutros, K.S.; Bedair, S.M. Effect of hydrogen on the indium incorporation in InGaN epitaxial films. Appl. Phys. Lett. 1997, 70, 461–463. [Google Scholar] [CrossRef]
- Krukowski, S.; Plesiewicz, J.; Perlin, P.; Kret, S.; Grzanka, E.; Suski, T.; Kempisty, P.; Targowski, G.; Grzanka, S.; Smalc-Koziorowska, J.J. Influence of hydrogen and TMIn on indium incorporation in MOVPE growth of InGaN layers. J. Cryst. Growth 2014. [Google Scholar] [CrossRef]







Publisher’s Note: MDPI stays neutral with regard to jurisdictional claims in published maps and institutional affiliations. |
© 2021 by the authors. Licensee MDPI, Basel, Switzerland. This article is an open access article distributed under the terms and conditions of the Creative Commons Attribution (CC BY) license (https://creativecommons.org/licenses/by/4.0/).
Share and Cite
Ben, Y.; Liang, F.; Zhao, D.; Wang, X.; Yang, J.; Liu, Z.; Chen, P. Anomalous Temperature Dependence of Photoluminescence Caused by Non-Equilibrium Distributed Carriers in InGaN/(In)GaN Multiple Quantum Wells. Nanomaterials 2021, 11, 1023. https://doi.org/10.3390/nano11041023
Ben Y, Liang F, Zhao D, Wang X, Yang J, Liu Z, Chen P. Anomalous Temperature Dependence of Photoluminescence Caused by Non-Equilibrium Distributed Carriers in InGaN/(In)GaN Multiple Quantum Wells. Nanomaterials. 2021; 11(4):1023. https://doi.org/10.3390/nano11041023
Chicago/Turabian StyleBen, Yuhao, Feng Liang, Degang Zhao, Xiaowei Wang, Jing Yang, Zongshun Liu, and Ping Chen. 2021. "Anomalous Temperature Dependence of Photoluminescence Caused by Non-Equilibrium Distributed Carriers in InGaN/(In)GaN Multiple Quantum Wells" Nanomaterials 11, no. 4: 1023. https://doi.org/10.3390/nano11041023
APA StyleBen, Y., Liang, F., Zhao, D., Wang, X., Yang, J., Liu, Z., & Chen, P. (2021). Anomalous Temperature Dependence of Photoluminescence Caused by Non-Equilibrium Distributed Carriers in InGaN/(In)GaN Multiple Quantum Wells. Nanomaterials, 11(4), 1023. https://doi.org/10.3390/nano11041023
