Effect of Co3O4 Nanoparticles on Improving Catalytic Behavior of Pd/Co3O4@MWCNT Composites for Cathodes in Direct Urea Fuel Cells
Abstract
1. Introduction
2. Materials and Methods
2.1. Materials
2.2. Preparation of Co3O4/MWCNT Nanocomposite
2.3. Preparation of Pd/Co3O4@MWCNT Catalyst
2.4. Characterization of the Materials
2.5. Electrochemical Analyses
2.6. Membrane Electrode Assembly and Fuel Cell Testing
3. Results and Discussion
3.1. Physicochemical Characterization of Co3O4@MWCNT and Pd/Co3O4@MWCNT
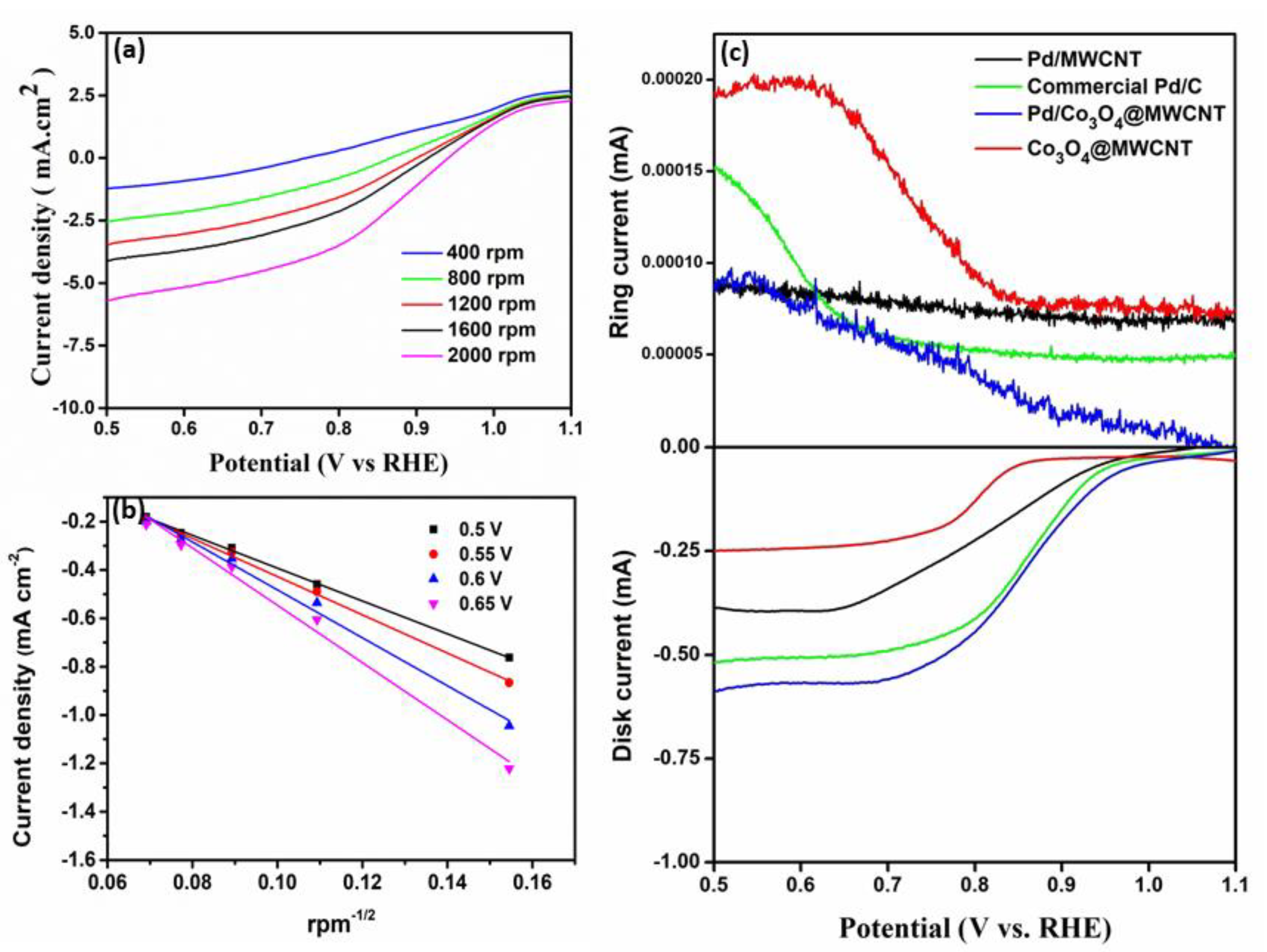
3.2. Electrochemical Characterization of Pd/Co3O4@MWCNT
4. Conclusions
Author Contributions
Funding
Institutional Review Board Statement
Informed Consent Statement
Data Availability Statement
Acknowledgments
Conflicts of Interest
References
- Sayed, E.T.; Eisa, T.; Mohamed, H.O.; Abdelkareem, M.A.; Allagui, A.; Alawadhi, H.; Alawadhi, H.; Chae, K.-J. Direct urea fuel cells: Challenges and opportunities. J. Power Sources 2019, 417, 159–175. [Google Scholar] [CrossRef]
- Kakati, N.; Maiti, J.; Lee, S.H.; Jee, S.H.; Viswanathan, B.; Yoon, Y.S. Anode catalysts for direct methanol fuel cells in acidic media: Do we have any alternative for Pt or Pt-Ru? Chem. Rev. 2014, 114, 12397–12429. [Google Scholar] [CrossRef]
- Lan, R.; Tao, S.; Irvine, J.T.S. A direct urea fuel cell—Power from fertiliser and waste. Energy Environ. Sci. 2010, 3, 438–441. [Google Scholar] [CrossRef]
- Carrión-Satorre, S.; Montiel, M.; Escudero-Cid, R.; Fierro, J.L.G.; Fatás, E.; Ocón, P. Performance of carbon-supported palladium and palladium-ruthenium catalysts for alkaline membrane direct ethanol fuel cells. Int. J. Hydrog. Energy 2016, 41, 8954–8962. [Google Scholar] [CrossRef]
- Bing, Y.; Liu, H.; Zhang, L.; Ghosh, D.; Zhang, J. Nanostructured Pt-alloy electrocatalysts for PEM fuel cell oxygen reduction reaction. Chem. Soc. Rev. 2010, 39, 2184–2202. [Google Scholar] [CrossRef] [PubMed]
- Chu, H.; Wei, L.; Cui, R.; Wang, J.; Li, Y. Carbon nanotubes combined with inorganic nanomaterials: Preparations and applications. Coord. Chem. Rev. 2010, 254, 1117–1134. [Google Scholar] [CrossRef]
- Ge, X.; Sumboja, A.; Wuu, D.; An, T.; Li, B.; Goh, F.W.T.; Hor, T.S.A.; Zong, Y.; Liu, Z. Oxygen Reduction in Alkaline Media: From Mechanisms to Recent Advances of Catalysts. ACS Catal. 2015, 5, 4643–4667. [Google Scholar] [CrossRef]
- Mallakpour, S.; Khadem, E. Carbon nanotube–metal oxide nanocomposites: Fabrication, properties and applications. Chem. Eng. J. 2016, 302, 344–367. [Google Scholar] [CrossRef]
- Xue, Y.; Sun, S.; Wang, Q.; Dong, Z.; Liu, Z. Transition metal oxide-based oxygen reduction reaction electrocatalysts for energy conversion systems with aqueous electrolytes. J. Mater. Chem. A 2018, 6, 10596–10626. [Google Scholar] [CrossRef]
- Bharti, A.; Cheruvally, G. Surfactant assisted synthesis of Pt-Pd/MWCNT and evaluation as cathode catalyst for proton exchange membrane fuel cell. Int. J. Hydrog. Energy 2018, 43, 14729–14741. [Google Scholar] [CrossRef]
- Liu, W.; Fu, Y.; Li, Y.; Chen, S.; Song, Y.; Wang, L. Three-dimensional carbon foam surrounded by carbon nanotubes and Co-Co3O4 nanoparticles for stable lithium-ion batteries. Compos. Part B Eng. 2019, 163, 464–470. [Google Scholar] [CrossRef]
- Zhu, H.; Zhang, S.; Huang, Y.-X.; Wu, L.; Sun, S. Monodisperse MxFe3-xO4 (M = Fe, Cu, Co, Mn) Nanoparticles and Their Electrocatalysis for Oxygen Reduction Reaction. Nano Lett. 2013, 13, 2947–2951. [Google Scholar] [CrossRef]
- Yoo, Y.S.; Namgung, Y.; Bhardwaj, A.; Song, S.J. A facile combustion synthesis route for performance enhancement of La0.6Sr0.4Co0.2Fe0.8O3-δ (LSCF6428) as a robust cathode material for IT-SOFC. J. Korean Ceram. Soc. 2019, 56, 497–505. [Google Scholar] [CrossRef]
- Peng, H.; Mo, Z.; Liao, S.; Liang, H.; Yang, L.; Luo, F.; Song, H.; Zhong, Y.; Zhang, B. High performance Fe- and N- Doped carbon catalyst with graphene structure for oxygen reduction. Sci. Rep. 2013, 3, 1–7. [Google Scholar] [CrossRef]
- Xiao, J.; Kuang, Q.; Yang, S.; Xiao, F.; Wang, S.; Guo, L. Surface structure dependent electrocatalytic activity of Co3O4 Anchored on Graphene Sheets toward Oxygen Reduction Reaction. Sci. Rep. 2013, 3, 1–8. [Google Scholar] [CrossRef]
- Odedairo, T.; Yan, X.; Ma, J.; Jiao, Y.; Yao, X.; Du, A.; Zhu, Z. Nanosheets Co3O4 Interleaved with Graphene for Highly Efficient Oxygen Reduction. ACS Appl. Mater. Interfaces 2015, 7, 21373–21380. [Google Scholar] [CrossRef]
- Mikolajczuk-Zychora, A.; Borodzinski, A.; Kedzierzawski, P.; Mierzwa, B.; Mazurkiewicz-Pawlicka, M.; Stobinski, L.; Ciecierska, E.; Zimoch, A.; Opałło, M. Highly active carbon supported Pd cathode catalysts for direct formic acid fuel cells. Appl. Surf. Sci. 2016, 388, 645–652. [Google Scholar] [CrossRef]
- Greeley, J.; Stephens, I.E.L.; Bondarenko, A.S.; Johansson, T.P.; Hansen, H.A.; Jaramillo, T.F.; Rossmeisl, J.; Chorkendorff, I.; Nørskov, J.K. Alloys of platinum and early transition metals as oxygen reduction electrocatalysts. Nat. Chem. 2009, 1, 552–556. [Google Scholar] [CrossRef]
- Yoon, J.; Lee, D.; Lee, Y.N.; Yoon, Y.S.; Kim, D.J. Solid solution palladium-nickel bimetallic anode catalysts by co-sputtering for direct urea fuel cells (DUFC). J. Power Sources 2019, 431, 259–264. [Google Scholar] [CrossRef]
- Kusada, K.; Kobayashi, H.; Ikeda, R.; Kubota, Y.; Takata, M.; Toh, S.; Yamamoto, T.; Matsumura, S.; Sumi, N.; Katsutoshi, S.; et al. Solid solution alloy nanoparticles of immiscible Pd and Ru elements neighboring on Rh: Changeover of the thermodynamic behavior for hydrogen storage and enhanced co-oxidizing ability. J. Am. Chem. Soc. 2014, 136, 1864–1871. [Google Scholar] [CrossRef]
- Gurunathan, P.; Ramesha, K.; Elumalai, P. [Co(salen)] derived Co/Co3O4 nanoparticle@carbon matrix as high-performance electrode for energy storage applications. J. Power Sources 2017, 344, 103–110. [Google Scholar]
- Xu, J.; Gao, P.; Zhao, T.S. Non-precious Co3O4 nano-rod electrocatalyst for oxygen reduction reaction in anion-exchange membrane fuel cells. Energy Environ. Sci. 2012, 5, 5333–5339. [Google Scholar] [CrossRef]
- Liang, Y.; Li, Y.; Wang, H.; Zhou, J.; Wang, J.; Regier, T.; Dai, H. Co3O4 nanocrystals on graphene as a synergistic catalyst for oxygen reduction reaction. Nat. Mater. 2011, 10, 780–786. [Google Scholar] [CrossRef]
- Xie, Z.; Jiang, C.; Xu, W.; Cui, X.; de los Reyes, C.; Martí, A.A.; Wang, Y. Facile Self-Assembly Route to Co3O4 Nanoparticles Confined into Single-Walled Carbon Nanotube Matrix for Highly Reversible Lithium Storage. Electrochim. Acta 2017, 235, 613–622. [Google Scholar] [CrossRef]
- Wang, C.; Wang, J.; Hu, W.; Wang, D. Controllable Synthesis of Hollow Multishell Structured Co3O4 with Improved Rate Performance and Cyclic Stability for Supercapacitors. Chem. Res. Chin. Univ. 2020, 36, 68–73. [Google Scholar] [CrossRef]
- Yamanaka, I.; Ichihashi, R.; Iwasaki, T.; Nishimura, N.; Murayama, T.; Ueda, W.; Takenaka, S. Electrocatalysis of heat-treated cobalt-porphyrin/carbon for hydrogen peroxide formation. Electrochim. Acta 2013, 108, 321–329. [Google Scholar] [CrossRef]
- Guo, F.; Cheng, K.; Ye, K.; Wang, G.; Cao, D. Preparation of nickel-cobalt nanowire arrays anode electro-catalyst and its application in direct urea/hydrogen peroxide fuel cell. Electrochim. Acta 2016, 199, 290–296. [Google Scholar] [CrossRef]
- Kim, H.K.; Seong, T.Y.; Lim, J.H.; Cho, W.; Soo Yoon, Y. Electrochemical and structural properties of radio frequency sputtered cobalt oxide electrodes for thin-film supercapacitors. J. Power Sources 2001, 102, 167–171. [Google Scholar] [CrossRef]
- Jung, C.H.; Shim, H.; Eum, D.; Hong, S.H. Challenges and recent progress in LiNixCoyMn1−x−yO2 (NCM) cathodes for lithium ion batteries. J. Korean Ceram. Soc. 2021, 58, 1–27. [Google Scholar] [CrossRef]
- Woo, S.; Cho, H.; Kim, J.; Lee, Y.; Lee, S. Microwave synthesis of MWCNT-supported PtRuNi catalysts and their electrocatalytic activity for direct methanol fuel cells. J. Korean Ceram. Soc. 2020, 57, 192–199. [Google Scholar] [CrossRef]
- Yoon, S.; Yun, J.Y.; Lim, J.H.; Yoo, B. Enhanced electrocatalytic properties of electrodeposited amorphous cobalt-nickel hydroxide nanosheets on nickel foam by the formation of nickel nanocones for the oxygen evolution reaction. J. Alloys Compd. 2017, 693, 964–969. [Google Scholar] [CrossRef]
- Guo, F.; Cao, D.; Du, M.; Ye, K.; Wang, G.; Zhang, W.; Gao, Y.; Cheng, K. Enhancement of direct urea-hydrogen peroxide fuel cell performance by three-dimensional porous nickel-cobalt anode. J. Power Sources 2016, 307, 697–704. [Google Scholar] [CrossRef]
- Jo, S.; Sharma, B.; Park, D.H.; Myung, J.-H. Materials and nano-structural processes for use in solid oxide fuel cells: A review. J. Korean Ceram. Soc. 2020, 57, 135–151. [Google Scholar] [CrossRef]
- Nhung, L.T.T.; Kim, I.Y.; Yoon, Y.S. Quaternized chitosan-based anion exchange membrane composited with quaternized poly(Vinylbenzyl chloride)/polysulfone blend. Polymers 2020, 12, 2714. [Google Scholar] [CrossRef] [PubMed]
- Zhang, H.; Wang, Y.; Wu, Z.; Leung, D.Y.C. A direct urea microfluidic fuel cell with flow-through Ni-supported-carbon- nanotube-coated sponge as porous electrode. J. Power Sources 2017, 363, 61–69. [Google Scholar] [CrossRef]
- Xu, W.; Zhang, H.; Li, G.; Wu, Z. A urine/Cr(VI) fuel cell—Electrical power from processing heavy metal and human urine. J. Electroanal. Chem. 2016, 764, 38–44. [Google Scholar] [CrossRef]
- Pham, T.N.T.; Yoon, Y.S. Development of nanosized Mn3O4-Co3O4 on multiwalled carbon nanotubes for cathode catalyst in urea fuel cell. Energies 2020, 13, 2322. [Google Scholar] [CrossRef]







| Cathode Catalyst | Anode Catalyst | Fuel (Anode/Cathode) | Membrane | Temperature (°C) | Maximum Power Density (mW cm−2) | Ref. |
|---|---|---|---|---|---|---|
| Pd/C | Pd-Ni/C | 0.33 M Urea/O2 | FAA (Fumasep FAA-3) | 25 | 1.12 | [19] |
| Pt/C | Ni/CNT | 1 M Urea + 3 M KOH/O2 | PMMA (Polymethyl-methacrylate) | 25 | 1.6 | [35] |
| Pt/C | NiCo/C | 1 M Urea + 1 M KOH/O2 | CEM&AEM (Cation Exchange Membranes and Anion Exchange Membranes) | 20 | 1.4 | [36] |
| Pt/C | Gr/Ni 3% | 0.3 3M Urea + 1 M KOH/Air | AEM (Anion Exchange Membranes) | 20 | 4.09 × 10−3 | [7] |
| Mn3O4-Co3O4 @MWCNT | Ni/C 20% | 0.33 M Urea + 1 M KOH/O2 | FAA (Fumasep FAA-3) | 50 | 0.422 | [37] |
| Pd/Co3O4 @MWCNT | Ni/C 20% | 0.33 M Urea + 1 M KOH/O2 | FAS (Fumasep FAS-30) | 20 | 2.792 | This work |
Publisher’s Note: MDPI stays neutral with regard to jurisdictional claims in published maps and institutional affiliations. |
© 2021 by the authors. Licensee MDPI, Basel, Switzerland. This article is an open access article distributed under the terms and conditions of the Creative Commons Attribution (CC BY) license (https://creativecommons.org/licenses/by/4.0/).
Share and Cite
Tuyen, N.-H.-H.; Kim, H.-G.; Yoon, Y.-S. Effect of Co3O4 Nanoparticles on Improving Catalytic Behavior of Pd/Co3O4@MWCNT Composites for Cathodes in Direct Urea Fuel Cells. Nanomaterials 2021, 11, 1017. https://doi.org/10.3390/nano11041017
Tuyen N-H-H, Kim H-G, Yoon Y-S. Effect of Co3O4 Nanoparticles on Improving Catalytic Behavior of Pd/Co3O4@MWCNT Composites for Cathodes in Direct Urea Fuel Cells. Nanomaterials. 2021; 11(4):1017. https://doi.org/10.3390/nano11041017
Chicago/Turabian StyleTuyen, Nguyen-Huu-Hung, Hyun-Gil Kim, and Young-Soo Yoon. 2021. "Effect of Co3O4 Nanoparticles on Improving Catalytic Behavior of Pd/Co3O4@MWCNT Composites for Cathodes in Direct Urea Fuel Cells" Nanomaterials 11, no. 4: 1017. https://doi.org/10.3390/nano11041017
APA StyleTuyen, N.-H.-H., Kim, H.-G., & Yoon, Y.-S. (2021). Effect of Co3O4 Nanoparticles on Improving Catalytic Behavior of Pd/Co3O4@MWCNT Composites for Cathodes in Direct Urea Fuel Cells. Nanomaterials, 11(4), 1017. https://doi.org/10.3390/nano11041017

