Highly Efficient Light Absorption of Monolayer Graphene by Quasi-Bound State in the Continuum
Abstract
1. Introduction
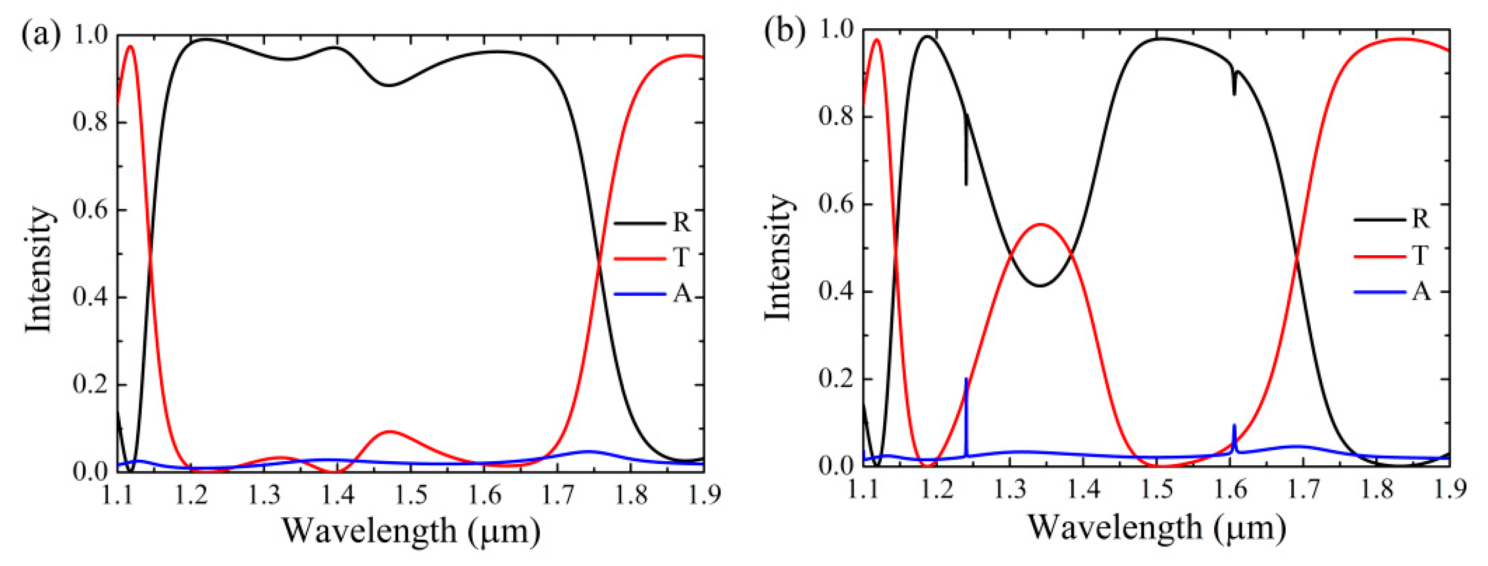
2. Basic Principles and CMT for Absorption Enhancement of Graphene
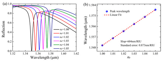
3. Performance Analysis and Sensing Application
4. Summary
Author Contributions
Funding
Conflicts of Interest
References
- Novoselov, K.S.; Fal’ko, V.I.; Colombo, L.; Gellert, P.R.; Schwab, M.G.; Kim, K. A roadmap for graphene. Nature 2012, 490, 192–200. [Google Scholar] [CrossRef] [PubMed]
- Papageorgiou, D.G.; Kinloch, I.A.; Young, R.J. Mechanical properties of graphene and graphene-based nanocomposites. Prog. Mater. Sci. 2017, 90, 75–127. [Google Scholar] [CrossRef]
- Liu, N.; Chortos, A.; Lei, T.; Jin, L.; Kim, T.R.; Bae, W.-G.; Zhu, C.; Wang, S.; Pfattner, R.; Chen, X.; et al. Ultratransparent and stretchable graphene electrodes. Sci. Adv. 2017, 3, e1700159. [Google Scholar] [CrossRef] [PubMed]
- Cao, Y.; Fatemi, V.; Fang, S.; Watanabe, K.; Taniguchi, T.; Kaxiras, E.; Jarillo-Herrero, P. Unconventional superconductivity in magic-angle graphene superlattices. Nature 2018, 556, 43–50. [Google Scholar] [CrossRef]
- Grigorenko, A.N.; Polini, M.; Novoselov, K.S. Graphene plasmonics. Nat. Photonics 2012, 6, 749–758. [Google Scholar] [CrossRef]
- Nair, R.R.; Blake, P.; Grigorenko, A.N.; Novoselov, K.S.; Booth, T.J.; Stauber, T.; Peres, N.M.R.; Geim, A.K. Fine structure constant defines visual transparency of graphene. Science 2008, 320, 1308. [Google Scholar] [CrossRef]
- Sahoo, P.K.; Pae, J.Y.; Murukeshan, V.M. Enhanced absorption in a graphene embedded 1D guided-mode-resonance structure without back-reflector and interferometrically written gratings. Opt. Lett. 2019, 44, 3661–3664. [Google Scholar] [CrossRef]
- Zheng, G.; Zhang, H.; Xu, L.; Liu, Y. Enhanced absorption of graphene monolayer with a single-layer resonant grating at the Brewster angle in the visible range. Opt. Lett. 2016, 41, 2274–2277. [Google Scholar] [CrossRef] [PubMed]
- Wang, R.; Sang, T.; Wang, L.; Gao, J.; Wang, Y.; Wang, J. Enhanced absorption of a monolayer graphene using encapsulated cascaded gratings. Optik 2018, 157, 651–657. [Google Scholar] [CrossRef]
- Luo, X.; Cheng, Z.-Q.; Zhai, X.; Liu, Z.-M.; Li, S.-Q.; Liu, J.-P.; Wang, L.-L.; Lin, Q.; Zhou, Y.-H. A tunable dual-band and polarization-insensitive coherent perfect absorber based on double-layers graphene hybrid waveguide. Nanoscale Res. Lett. 2019, 14, 337. [Google Scholar] [CrossRef]
- Furchi, M.; Urich, A.; Pospischil, A.; Lilley, G.; Unterrainer, K.; Detz, H.; Klang, P.; Andrews, A.M.; Schrenk, W.; Strasser, G.; et al. Microcavity-integrated graphene photodetector. Nano Lett. 2012, 12, 2773–2777. [Google Scholar] [CrossRef] [PubMed]
- Liu, J.-T.; Liu, N.-H.; Liu, J.; Li, X.J.; Huang, J.-H. Enhanced absorption of graphene with one-dimensional photonic crystal. Appl. Phys. Lett. 2012, 101, 052104. [Google Scholar] [CrossRef]
- Cai, Y.; Zhu, J.; Liu, Q.H. Tunable enhanced optical absorption of graphene using plasmonic perfect absorbers. Appl. Phys. Lett. 2015, 106, 043105. [Google Scholar] [CrossRef]
- Lu, H.; Cumming, B.P.; Gu, M. Highly efficient plasmonic enhancement of graphene absorption at telecommunication wavelengths. Opt. Lett. 2015, 40, 3647–3650. [Google Scholar] [CrossRef]
- Heo, H.; Lee, S.; Kim, S. Broadband absorption enhancement of monolayer graphene by prism coupling in the visible range. Carbon 2019, 154, 42–47. [Google Scholar] [CrossRef]
- Pirruccio, G.; Moreno, L.M.; Lozano, G.; Rivas, J.G. Coherent and broadband enhanced optical absorption in graphene. ACS Nano 2013, 7, 4810–4817. [Google Scholar] [CrossRef] [PubMed]
- Guo, C.-C.; Zhu, Z.-H.; Yuan, X.-D.; Ye, W.-M.; Liu, K.; Zhang, J.-F.; Xu, W.; Qin, S.-Q. Experimental demonstration of total absorption over 99% in the near infrared for monolayer-graphene-based subwavelength structures. Adv. Opt. Mater. 2016, 4, 1955–1960. [Google Scholar] [CrossRef]
- Lin, H.; Sturmberg, B.C.P.; Lin, K.-T.; Yang, Y.; Zheng, X.; Chong, T.K.; de Sterke, C.M.; Jia, B. 90-nm-thick graphene metamaterial for strong and extremely broadband absorption of unpolarized light. Nat. Photonics 2019, 13, 270–276. [Google Scholar] [CrossRef]
- Cao, S.; Zhang, D.; Wang, Q. Graphene-based dynamically tunable absorbers through guided mode resonance. Superlattice. Microst. 2020, 144, 106550. [Google Scholar] [CrossRef]
- Cen, C.; Chen, Z.; Xu, D.; Jiang, L.; Chen, X.; Yi, Z.; Wu, P.; Li, G.; Yi, Y. High quality factor, high sensitivity metamaterial graphene-perfect absorber based on critical coupling theory and impedance matching. Nanomaterials 2020, 10, 95. [Google Scholar] [CrossRef]
- Piper, J.R.; Fan, S. Total absorption in a graphene monolayer in the optical regime by critical coupling with a photonic crystal guided resonance. ACS Photonics 2014, 1, 347–353. [Google Scholar] [CrossRef]
- Sang, T.; Gao, J.; Yin, X.; Qi, H.; Wang, L.; Jiao, H. Angle-insensitive broadband absorption enhancement of graphene using a multi-grooved metasurface. Nanoscale Res. Lett. 2019, 14, 105. [Google Scholar] [CrossRef]
- Lin, K.-T.; Lin, H.; Yang, T.; Jia, B. Structured graphene metamaterial selective absorbers for high efficiency and omnidirectional solar thermal energy conversion. Nat. Commun. 2020, 11, 1389. [Google Scholar] [CrossRef]
- Xiang, Y.; Dai, X.; Guo, J.; Zhang, H.; Wen, S.; Tang, D. Critical coupling with graphene-based hyperbolic metamaterials. Sci. Rep. 2014, 4, 5483. [Google Scholar] [CrossRef]
- Long, Y.; Shen, L.; Xu, H.; Deng, H.; Li, Y. Achieving ultranarrow graphene perfect absorbers by exciting guided-mode resonance of one-dimensional photonic crystals. Sci. Rep. 2016, 6, 32312. [Google Scholar] [CrossRef]
- Jiang, X.; Wang, T.; Xiao, S.; Yan, X.; Cheng, L. Tunable ultra-high-efficiency light absorption of monolayer graphene using critical coupling with guided resonance. Opt. Express 2017, 25, 27028–27036. [Google Scholar] [CrossRef] [PubMed]
- Zheng, G.; Zhang, H.; Bu, L. Narrow-band enhanced absorption of monolayer graphene at near-infrared (NIR) sandwiched by dual gratings. Plasmonics 2017, 12, 271–276. [Google Scholar] [CrossRef]
- Qing, Y.M.; Ma, H.F.; Ren, Y.Z.; Yu, S.; Cui, T.J. Near-infrared absorption-induced switching effect via guided mode resonances in a graphene-based metamaterial. Opt. Express 2019, 27, 5253–5263. [Google Scholar] [CrossRef] [PubMed]
- Hu, J.; Qing, Y.; Yang, S.; Ren, Y.; Wu, X.; Gao, W.; Wu, C. Tailoring total absorption in a graphene monolayer covered subwavelength multilayer dielectric grating structure at near-infrared frequencies. J. Opt. Sci. Am. B 2017, 34, 861–868. [Google Scholar] [CrossRef]
- Lu, H.; Gan, X.; Jia, B.; Mao, D.; Zhao, J. Tunable high-efficiency light absorption of monolayer graphene via Tamm plasmon polaritons. Opt. Lett. 2016, 41, 4743–4746. [Google Scholar] [CrossRef]
- Zhou, K.; Lu, L.; Song, J.; Li, B.; Cheng, Q. Ultra-narrow-band and highly efficient near-infrared absorption of a graphene-based Tamm plasmon polaritons structure. J. Appl. Phys. 2018, 124, 123102. [Google Scholar] [CrossRef]
- Ha, S.T.; Fu, Y.H.; Emani, N.K.; Pan, Z.; Bakker, R.M.; Paniagua-Domínguez, R.; Kuznetsov, A.I. Directional lasing in resonant semiconductor nanoantenna arrays. Nat. Nanotechnol. 2018, 13, 1042–1047. [Google Scholar] [CrossRef]
- Chen, G.Y.; Zhang, W.X.; Zhang, X.D. Strong terahertz magneto-optical phenomena based on quasi-bound states in the continuum and Fano resonances. Opt. Express 2019, 27, 16449–16460. [Google Scholar] [CrossRef] [PubMed]
- Minkov, M.; Gerace, D.; Fan, S. Doubly resonant χ(2) nonlinear photonic crystal cavity based on a bound state in the continuum. Optica 2019, 6, 1039–1045. [Google Scholar] [CrossRef]
- Wu, F.; Wu, J.; Guo, Z.; Jiang, H.; Sun, Y.; Li, Y.; Ren, J.; Chen, H. Giant enhancement of the Goos-Hänchen shift assisted by quasibound states in the continuum. Phys. Rev. Appl. 2019, 12, 014028. [Google Scholar] [CrossRef]
- Jin, J.; Yin, X.; Ni, L.; Soljačić, M.; Zhen, B.; Peng, C. Topologically enabled ultrahigh-Q guided resonances robust to out-of-plane scattering. Nature 2019, 574, 501–504. [Google Scholar] [CrossRef]
- Zhang, M.; Zhang, X. Ultrasensitive optical absorption ingraphene based on bound states in the continuum. Sci. Rep. 2015, 5, 8266. [Google Scholar] [CrossRef] [PubMed]
- Wang, X.; Duan, J.; Chen, W.; Zhou, C.; Liu, T.; Xiao, S. Controlling light absorption of graphene at critical coupling through magnetic dipole quasi-bound states in the continuum resonance. Phys. Rev. B 2020, 102, 155432. [Google Scholar] [CrossRef]
- Kim, H.; Song, I.; Park, C.; Son, M.; Hong, M.; Kim, Y.; Kim, J.S.; Shin, H.-J.; Baik, J.; Choi, H.C. Copper-vapor-assisted chemical vapor deposition for high-quality and metal-free single-layer graphene on amorphous SiO2 substrate. ACS Nano 2013, 6575–6582. [Google Scholar] [CrossRef] [PubMed]
- Mateus, C.F.R.; Huang, M.C.Y.; Chen, L.; Chang-Hasnain, C.J.; Suzuki, Y. Broad-band mirror (1.12–1.62 μm) using a subwavelength grating. IEEE Photon. Lett. 2004, 16, 1676–1678. [Google Scholar] [CrossRef]
- Niraula, M.; Yoon, J.W.; Magnusson, R. Single-layer optical bandpass filter technology. Opt. Lett. 2015, 40, 5062–5065. [Google Scholar] [CrossRef] [PubMed]
- Hanson, G.W. Dyadic Green’s functions and guided surface waves for a surface conductivity model of graphene. J. Appl. Phys. 2008, 103, 064302. [Google Scholar] [CrossRef]
- Moharam, M.G.; Grann, E.B.; Pommet, D.A.; Gaylord, T.K. Formulation for stable and efficient implementation of the rigorous coupled-wave analysis of binary gratings. J. Opt. Soc. Am. A 1995, 12, 1068–1076. [Google Scholar] [CrossRef]
- Magnusson, R. Wideband reflectors with zero-contrast gratings. Opt. Lett. 2014, 39, 4337–4340. [Google Scholar] [CrossRef]
- Sang, T.; Wang, Z.; Zhou, X.; Cai, S. Resonant enhancement transmission in a Ge subwavelength periodic membrane. Appl. Phys. Lett. 2010, 97, 071107. [Google Scholar] [CrossRef]
- Yoon, J.W.; Song, S.H.; Magnusson, R. Critical field enhancement of asymptotic optical bound states in the continuum. Sci. Rep. 2015, 5, 18301. [Google Scholar] [CrossRef]
- Sang, T.; Yin, X.; Qi, H.; Gao, J.; Niu, X.; Jiao, H. Resonant excitation analysis on asymmetrical lateral leakage of light in finite zero-contrast grating mirror. IEEE Photon. J. 2020, 12, 4500111. [Google Scholar] [CrossRef]
- Foley, J.M.; Phillips, J.D. Normal incidence narrowband transmission filtering capabilities using symmetry-protected modes of a subwavelength, dielectric grating. Opt. Lett. 2015, 40, 2637–2640. [Google Scholar] [CrossRef]
- Yin, X.; Jin, J.; Soljačić, M.; Peng, C.; Zhen, B. Observation of topologically enabled unidirectional guided resonances. Nature 2020, 580, 467–471. [Google Scholar] [CrossRef] [PubMed]
- Rosenblatt, D.; Sharon, A.; Friesem, A.A. Resonant grating waveguide structure. IEEE J. Quantum. Elect. 1997, 33, 2038–2059. [Google Scholar] [CrossRef]
- Lin, Q.; Zhai, X.; Wang, L.; Wang, B.; Liu, G.; Xia, S. Combined theoretical analysis for plasmon-induced transparency in integrated graphene waveguides with direct and indirect couplings. EPL 2015, 111, 34004. [Google Scholar] [CrossRef]
- Cong, L.; Singh, R. Symmetry-protected dual bound states in the continuum in metamaterials. Adv. Opt. Mater. 2019, 7, 1900383. [Google Scholar] [CrossRef]
- Ko, Y.H.; Niraula, M.; Magnusson, R. Divergence-tolerant resonant bandpass filters. Opt. Lett. 2016, 41, 3305–3308. [Google Scholar] [CrossRef]
- Sang, T.; Wang, R.; Li, J.; Zhou, J.; Wang, Y. Approaching total absorption of graphene strips using a c-Si subwavelength periodic membrane. Opt. Commun. 2018, 413, 255–260. [Google Scholar] [CrossRef]
- Hu, J.-H.; Huang, Y.-Q.; Duan, X.-F.; Wang, Q.; Zhang, X.; Wang, J.; Ren, X.-M. Enhanced absorption of graphene strips with a multilayer subwavelength grating structure. Appl. Phys. Lett. 2014, 105, 221113. [Google Scholar] [CrossRef]
- Yang, Y.; Kravchenko, I.I.; Briggs, D.P.; Valentine, J. All-dielectric metasurface analogue of electromagnetically induced transparency. Nat. Commun. 2014, 5, 5753. [Google Scholar] [CrossRef] [PubMed]
- Hu, J.; Lang, T.; Shi, G.-H. Simultaneous measurement of refractive index and temperature based on all-dielectric metasurface. Opt. Express 2017, 25, 15241–15251. [Google Scholar] [CrossRef] [PubMed]
- Lu, X.; Zhang, L.; Zhang, T. Nanoslit-microcavity-based narrow band absorber for sensing applications. Opt. Express 2015, 23, 20715–20720. [Google Scholar] [CrossRef]
- Qian, L.; Wang, K.; Bykov, D.A.; Xu, Y.; Zhu, L.; Yan, C. Improving the sensitivity of guided-mode resonance sensors under oblique incidence condition. Opt. Express 2019, 27, 30563–30575. [Google Scholar] [CrossRef]
- Shen, Y.; Zhou, J.; Liu, T.; Tao, Y.; Jiang, R.; Liu, M.; Xiao, G.; Zhu, J.; Zhou, Z.-K.; Wang, X.; et al. Plasmonic gold mushroom arrays with refractive index sensing figures of merit approaching the theoretical limit. Nat. Commun. 2013, 4, 2381. [Google Scholar] [CrossRef]








| Parameters | Δs (nm) | p (nm) | d1 (nm) | d2 (nm) | ||||||||
|---|---|---|---|---|---|---|---|---|---|---|---|---|
| 0 | 40 | 80 | 670 | 690 | 710 | 420 | 440 | 460 | 230 | 250 | 270 | |
| λr(nm) | 1550 | 1538 | 1526 | 1518 | 1550 | 1582 | 1549 | 1550 | 1551 | 1512 | 1550 | 1592 |
| Apeak | 97.8% | 88.9% | 58.1% | 95.5% | 97.8% | 96.3% | 88.3% | 97.5% | 66.0% | 78.8% | 97.7% | 77.6% |
| FWHM (nm) | 4.0 | 6.1 | 6.2 | 3.7 | 4.0 | 4.2 | 4.9 | 3.9 | 3.4 | 3.3 | 4.0 | 6.2 |
Publisher’s Note: MDPI stays neutral with regard to jurisdictional claims in published maps and institutional affiliations. |
© 2021 by the authors. Licensee MDPI, Basel, Switzerland. This article is an open access article distributed under the terms and conditions of the Creative Commons Attribution (CC BY) license (http://creativecommons.org/licenses/by/4.0/).
Share and Cite
Sang, T.; Dereshgi, S.A.; Hadibrata, W.; Tanriover, I.; Aydin, K. Highly Efficient Light Absorption of Monolayer Graphene by Quasi-Bound State in the Continuum. Nanomaterials 2021, 11, 484. https://doi.org/10.3390/nano11020484
Sang T, Dereshgi SA, Hadibrata W, Tanriover I, Aydin K. Highly Efficient Light Absorption of Monolayer Graphene by Quasi-Bound State in the Continuum. Nanomaterials. 2021; 11(2):484. https://doi.org/10.3390/nano11020484
Chicago/Turabian StyleSang, Tian, Sina Abedini Dereshgi, Wisnu Hadibrata, Ibrahim Tanriover, and Koray Aydin. 2021. "Highly Efficient Light Absorption of Monolayer Graphene by Quasi-Bound State in the Continuum" Nanomaterials 11, no. 2: 484. https://doi.org/10.3390/nano11020484
APA StyleSang, T., Dereshgi, S. A., Hadibrata, W., Tanriover, I., & Aydin, K. (2021). Highly Efficient Light Absorption of Monolayer Graphene by Quasi-Bound State in the Continuum. Nanomaterials, 11(2), 484. https://doi.org/10.3390/nano11020484

