Optical Pulling Using Chiral Metalens as a Photonic Probe
Abstract
:1. Introduction
2. Methods
2.1. The Mechanisms of Optical Puling Force Generation
2.2. The Metalens Photonic Probe Design
2.3. The Optical Force Calculation
3. Simulation Results and Discussion
3.1. The Optical Force Calculation
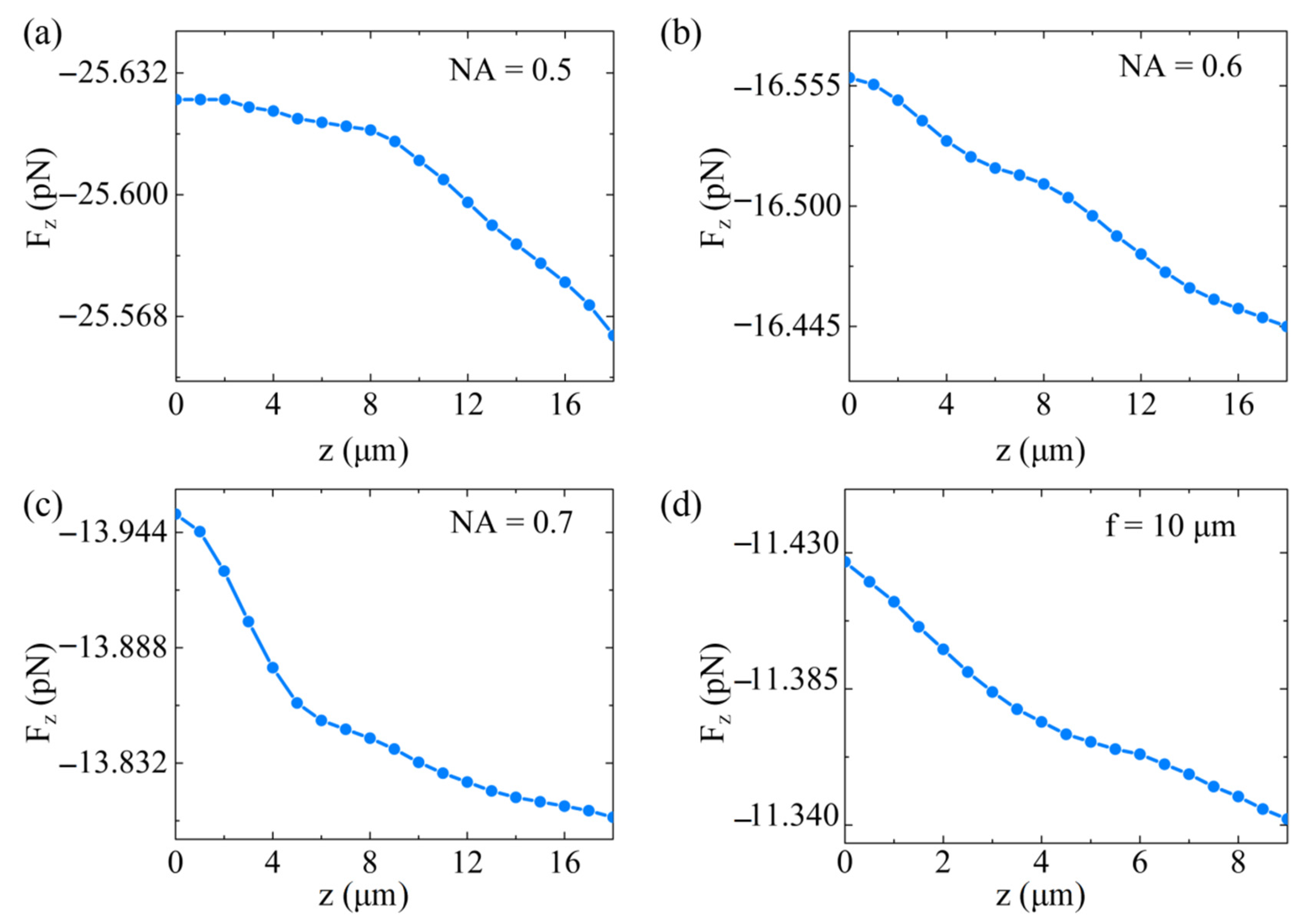
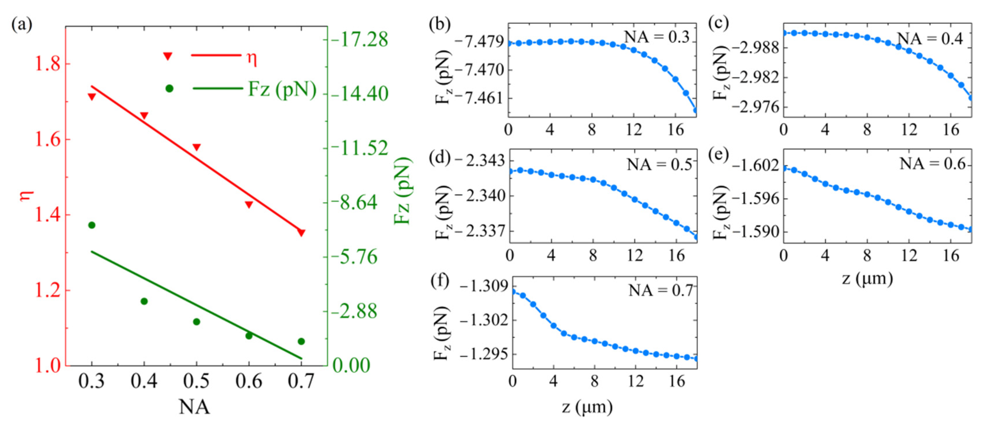
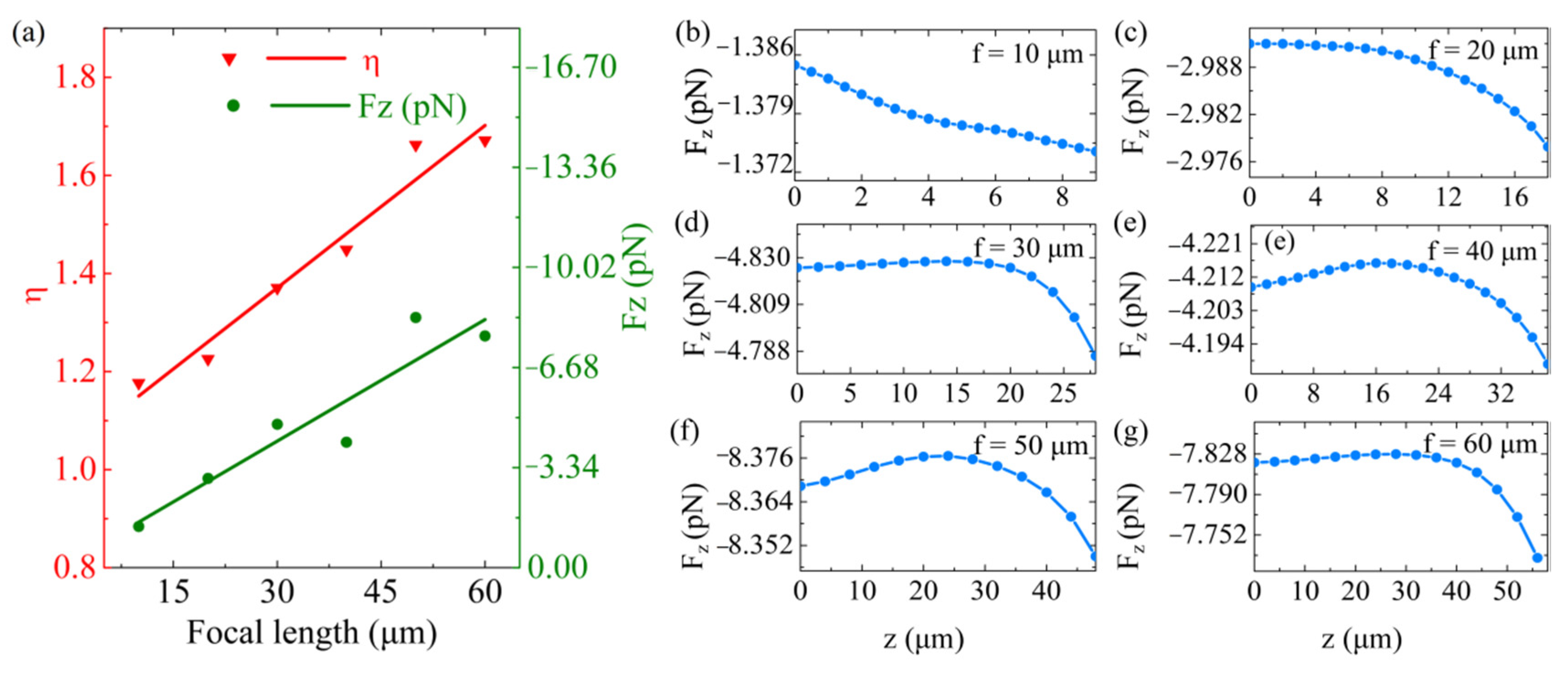
3.2. Parameter Analysis
4. Discussion
5. Conclusions
Author Contributions
Funding
Institutional Review Board Statement
Informed Consent Statement
Data Availability Statement
Acknowledgments
Conflicts of Interest
Appendix A. The Theoretical Analysis of the Metalens Photonic Probe
Appendix B. The Simulation Analysis of the Metalens Photonic Probe


Appendix C. The Dynamic Equation of the Metalens Photonic Probe

References
- Fazal, F.M.; Block, S.M. Optical tweezers study life under tension. Nat. Photon. 2011, 3, 318–321. [Google Scholar] [CrossRef]
- Pang, Y.J.; Song, H.; Kim, J.H.; Hou, X.M.; Chen, W. Optical trapping of individual human immunodeficiency viruses in culture fluid reveals heterogeneity with single-molecule resolution. Nat. Nanotechnol. 2014, 9, 624–630. [Google Scholar] [CrossRef] [Green Version]
- Pauzauskie, P.J.; Radenovic, A.; Trepagnier, E.; Shroff, H.; Yang, P.; Liphardt, J. Optical trapping and integration of semiconductor nanowire assemblies in water. Nat. Mater. 2006, 5, 97–101. [Google Scholar] [CrossRef]
- Marago, O.M.; Jones, P.H.; Gucciardi, P.G.; Volpe, G.; Ferrari, A.C. Optical trapping and manipulation of nanostructures. Nat. Nanotechnol. 2013, 8, 807–819. [Google Scholar] [CrossRef] [Green Version]
- Xiao, G.; Kuang, T.; Luo, B.; Xiong, W.; Han, X.; Chen, X.; Luo, H. Coupling between axial and radial motions of microscopic particle trapped in the intracavity optical tweezers. Opt. Express 2019, 27, 36653–36661. [Google Scholar] [CrossRef]
- Kuang, T.; Xiong, W.; Luo, B.; Chen, X.; Liu, Z.; Han, X.; Xiao, G.; Yang, K.; Luo, H. Optical confinement efficiency in the single beam intracavity optical tweezers. Opt. Express 2020, 28, 35734–35747. [Google Scholar] [CrossRef]
- Chu, Y.L.; Jansson, E.M.; Swartzlander, G.A. Measurements of Radiation Pressure Owing to the Grating Momentum. Phys. Rev. Lett. 2018, 121, 063903. [Google Scholar] [CrossRef] [Green Version]
- Siegel, J.; Wang, A.Y.; Menabde, S.G.; Kats, M.A.; Jang, M.S.; Brar, V.W. Self-Stabilizing Laser Sails Based on Optical Metasurfaces. ACS Photonics 2019, 6, 2032–2040. [Google Scholar] [CrossRef]
- Ilic, O.; Atwater, H.A. Self-stabilizing photonic levitation and propulsion of nanostructured macroscopic objects. Nat. Photon. 2019, 13, 289–295. [Google Scholar] [CrossRef] [Green Version]
- Li, H.; Cao, Y.; Zhou, L.M.; Xu, X.; Zhu, T.; Shi, Y.; Qiu, C.W.; Ding, W. Optical pulling forces and their applications. Adv. Opt. Photon. 2020, 12, 288–366. [Google Scholar] [CrossRef]
- Lee, E.; Luo, T. Long-distance optical pulling of nanoparticle in a low index cavity using a single plane wave. Sci. Adv. 2020, 6, eaaz3646. [Google Scholar] [CrossRef]
- Chen, J.; Ng, J.; Lin, Z.; Chan, C.T. Optical pulling force. Nat. Photon. 2011, 5, 531–534. [Google Scholar] [CrossRef] [Green Version]
- Zhang, L.; Marston, P.L. Geometrical interpretation of negative radiation forces of acoustical Bessel beams on spheres. Phys. Rev. E 2011, 84, 035601. [Google Scholar] [CrossRef]
- Li, X.; Chen, J.; Lin, Z.F.; Ng, J. Optical pulling at macroscopic distances. Sci. Adv. 2019, 5, eaau7814. [Google Scholar] [CrossRef] [Green Version]
- Ding, K.; Ng, J.; Zhou, L.; Chan, C.T. Realization of optical pulling forces using chirality. Phys. Rev. A 2014, 89, 105–109. [Google Scholar] [CrossRef] [Green Version]
- Tao, Z.L.; Zhang, J.; You, J.; Hao, H.; Ouyang, H.; Yan, Q.Q.; Du, S.Y.; Zhao, Z.Y.; Yang, Q.R.; Zheng, X.; et al. Exploiting deep learning network in optical chirality tuning and manipulation of diffractive chiral metamaterials. Nanophotonics 2020, 9, 2945–2956. [Google Scholar] [CrossRef]
- Novitsky, A.; Qiu, C.W.; Wang, H. Single gradientless light beam drags particles as tractor beams. Phys. Rev. Lett. 2011, 107, 203601. [Google Scholar] [CrossRef] [Green Version]
- Hadad, B.; Froim, S.; Nagar, H.; Admon, T.; Eliezer, Y.; Roichman, Y.; Bahabad, A. Particle trapping and conveying using an optical Archimedes’ screw. Optica 2018, 5, 551–556. [Google Scholar] [CrossRef] [Green Version]
- Sukhov, S.; Dogariu, A. Negative nonconservative forces: Optical “tractor beams” for arbitrary objects. Phys. Rev. Lett. 2011, 107, 203602. [Google Scholar] [CrossRef] [PubMed]
- Gong, L.; Zhang, X.; Gu, B.; Zhu, Z.; Rui, G.; He, J.; Zhan, Q.; Cui, Y. Optical pulling forces on Rayleigh particles using ambient optical nonlinearity. Nanophotonics 2019, 8, 1117–1124. [Google Scholar] [CrossRef]
- Li, H.; Cao, Y.; Shi, B.; Zhu, T.; Geng, Y.; Feng, R.; Wang, L.; Sun, F.; Shi, Y.; Miri, M.A.; et al. Momentum-Topology-Induced Optical Pulling Force. Phys. Rev. Lett. 2020, 124, 143901. [Google Scholar] [CrossRef] [PubMed]
- Zhu, T.; Novitsky, A.; Cao, Y.; Mahdy, M.R.C.; Wang, L.; Sun, F.; Jiang, Z.; Ding, W. Mode conversion enables optical pulling force in photonic crystal waveguides. Appl. Phys. Lett. 2017, 111, 061105. [Google Scholar] [CrossRef] [Green Version]
- Mizrahi, A.; Fainman, Y. Negative radiation pressure on gain medium structures. Opt. Lett. 2010, 35, 3405–3407. [Google Scholar] [CrossRef]
- Bian, X.; Gao, D.L.; Gao, L. Tailoring optical pulling force on gain coated nanoparticles with nonlocal effective medium theory. Opt. Express 2017, 25, 24566–245578. [Google Scholar] [CrossRef]
- Webb, K.J. Negative electromagnetic plane-wave force in gain media. Phys. Rev. E 2011, 84, 057602. [Google Scholar] [CrossRef] [Green Version]
- Novitsky, A.; Qiu, C.W. Pulling extremely anisotropic lossy particles using light without intensity gradient. Phys. Rev. A 2014, 90, 053815. [Google Scholar] [CrossRef] [Green Version]
- Fernandes, D.E.; Silveirinha, M.G. Optical tractor beam with chiral light. Phys. Rev. A 2015, 91, 061801. [Google Scholar] [CrossRef] [Green Version]
- Sun, Q.; Dholakia, K.; Greentree, A.D. Optical Forces and Torques on Eccentric Nanoscale Core–Shell Particles. ACS Photonics 2021, 8, 1103–1111. [Google Scholar] [CrossRef]
- Dogariu, A.; Sukhov, S.; Sáenz, J. Optically induced ‘negative forces’. Nat. Photon. 2012, 7, 24–27. [Google Scholar] [CrossRef]
- Wang, S.; Wu, P.C.; Su, V.C.; Lai, Y.C.; Chu, C.H.; Chen, J.W.; Lu, S.H.; Chen, J.; Xu, B.; Kuan, C.H.; et al. Broadband achromatic optical metasurface devices. Nat. Commun. 2017, 8, 187. [Google Scholar] [CrossRef] [PubMed]
- Aieta, F.; Kats, M.A.; Genevet, P.; Capasso, F. Multiwavelength achromatic metasurfaces by dispersive phase compensation. Science 2015, 347, 1342–1345. [Google Scholar] [CrossRef]
- Arbabi, A.; Horie, Y.; Bagheri, M.; Faraon, A. Dielectric metasurfaces for complete control of phase and polarization with subwavelength spatial resolution and high transmission. Nat. Nanotechnol. 2015, 10, 937–943. [Google Scholar] [CrossRef] [Green Version]
- Yu, N.; Genevet, P.; Kats, M.A.; Aieta, F.; Tetienne, J.P.; Capasso, F.; Gaburro, Z. Light propagation with phase discontinuities generalized laws of reflection and refraction. Science 2011, 334, 333–337. [Google Scholar] [CrossRef] [PubMed] [Green Version]
- Kildishev, A.V.; Boltasseva, A.; Shalaev, V.M. Planar Photonics with Metasurfaces. Science 2013, 339, 1232009. [Google Scholar] [CrossRef] [PubMed] [Green Version]
- Jahani, S.; Jacob, Z. All-dielectric metamaterials. Nat. Nanotechnol. 2016, 11, 23–36. [Google Scholar] [CrossRef]
- Andrén, D.; Baranov, D.G.; Jones, S.; Volpe, G.; Verre, R.; Käll, M. Microscopic Metavehicles Powered and Steered by Embedded Optical Metasurfaces. Nat. Nanotechnol. 2021, 16, 970–974. [Google Scholar] [CrossRef] [PubMed]
- Khorasaninejad, M.; Capasso, F. Metalenses: Versatile multifunctional photonic components. Science 2017, 358, eaam8100. [Google Scholar] [CrossRef] [Green Version]
- Chen, X.Z.; Huang, L.L.; Muhlenbernd, H.; Li, G.X.; Bai, B.F.; Tan, Q.F.; Jin, G.F.; Qiu, C.W.; Zhang, S.; Zentgraf, T. Dual-polarity plasmonic metalens for visible light. Nat. Commun. 2012, 3, 1198. [Google Scholar] [CrossRef]
- Khorasaninejad, M.; Chen, W.T.; Zhu, A.Y.; Oh, J.; Devlin, R.C.; Rousso, D.; Capasso, F. Multispectral Chiral Imaging with a Metalens. Nano Lett. 2016, 16, 4595–4600. [Google Scholar] [CrossRef]
- Chen, W.T.; Zhu, A.Y.; Sanjeev, V.; Khorasaninejad, M.; Shi, Z.; Lee, E.; Capasso, F. A broadband achromatic metalens for focusing and imaging in the visible. Nat. Nanotechnol. 2018, 13, 220–226. [Google Scholar] [CrossRef] [Green Version]
- Bai, W.; Yang, P.; Huang, J.; Chen, D.; Zhang, J.; Zhang, Z.; Yang, J.; Xu, B. Near-infrared tunable metalens based on phase change material Ge2Se2Te5. Sci. Rep. 2019, 9, 5368. [Google Scholar] [CrossRef] [Green Version]
- Zhang, J.; Liu, W.; Zhu, Z.; Yuan, X.; Qin, S. Towards nano-optical tweezers with graphene plasmons: Numerical investigation of trapping 10-nm particles with mid-infrared light. Sci. Rep. 2016, 6, 38086. [Google Scholar] [CrossRef] [PubMed]
- Chung, H.; Miller, O.D. High-NA achromatic metalenses by inverse design. Opt. Express 2020, 28, 6945–6965. [Google Scholar] [CrossRef] [PubMed]
- Chen, H.; Liu, S.; Zi, J.; Lin, Z. Fano Resonance-Induced Negative Optical Scattering Force on Plasmonic Nanoparticles. ACS Nano 2015, 9, 1926–1935. [Google Scholar] [CrossRef] [PubMed]
- Gao, D.; Shi, R.; Huang, Y.; Gao, L. Fano-enhanced pulling and pushing optical force on active plasmonic nanoparticles. Phys. Rev. A 2017, 96, 043826. [Google Scholar] [CrossRef] [Green Version]
- Guccione, G.; Hosseini, M.; Adlong, S.; Johnsson, M.T.; Hope, J.; Buchler, B.C.; Lam, P.K. Scattering-Free Optical Levitation of a Cavity Mirror. Phys. Rev. Lett. 2013, 111, 183001. [Google Scholar] [CrossRef] [Green Version]
- Ilic, O.; Kaminer, I.; Zhen, B.; Miller, O.D.; Buljan, H.; Soljačić, M. Topologically enabled optical nanomotors. Sci. Adv. 2017, 3, e1602738. [Google Scholar] [CrossRef] [PubMed] [Green Version]
- Devlin, R.C.; Khorasaninejad, M.; Chen, W.T.; Oh, J.; Capasso, F. Broadband high-efficiency dielectric metasurfaces for the visible spectrum. Proc. Natl. Acad. Sci. USA 2016, 113, 10473–10478. [Google Scholar] [CrossRef] [PubMed] [Green Version]
- Chen, X.; Xiao, G.; Luo, H.; Xiong, W.; Yang, K. Dynamics analysis of microsphere in a dual-beam fiber-optic trap with transverse offset. Opt. Express 2016, 24, 7575–7584. [Google Scholar] [CrossRef]







| Refs | Probes | Incident Light | Medium | Pz_max [Pa] 2 | |||
|---|---|---|---|---|---|---|---|
| Type | Radius [μm] | Type | Wavelength [μm] | Power [mW/μm2] 1 | |||
| [12] | Polystyrene sphere | 2.03 | Bessel | 1.064 | 1 | Air/Water | −3.9 × 10−3 |
| [19] | SiO2 triangular prism | 5 3 | Multiple beams | 0.532 | 785 | Air/Water | −4.6 × 10−2 |
| [20] | Si3N4 sphere | 0.04 | Femtosecond laser pulses | 0.42 | 5000 | CS2 solvent | −398 |
| [27] | Chiral metamaterial | 0.19 4 | RCP beam | 1.55 | 20 | Vacuum | −70 |
| [44] | Plasmonic sphere | 0.08 | Bessel beam | 0.39~0.48 | 100 | Water | −50 |
| [45] | Gain sphere | 0.06 | Plane wave | 0.457 5 | 1 | Air | −11 |
| This work | Metalens | 10 | LCP beam | 1.517~2.117 | 0.25 | Vacuum | −9 × 10−2 |
Publisher’s Note: MDPI stays neutral with regard to jurisdictional claims in published maps and institutional affiliations. |
© 2021 by the authors. Licensee MDPI, Basel, Switzerland. This article is an open access article distributed under the terms and conditions of the Creative Commons Attribution (CC BY) license (https://creativecommons.org/licenses/by/4.0/).
Share and Cite
Peng, M.; Luo, H.; Zhang, Z.; Kuang, T.; Chen, D.; Bai, W.; Chen, Z.; Yang, J.; Xiao, G. Optical Pulling Using Chiral Metalens as a Photonic Probe. Nanomaterials 2021, 11, 3376. https://doi.org/10.3390/nano11123376
Peng M, Luo H, Zhang Z, Kuang T, Chen D, Bai W, Chen Z, Yang J, Xiao G. Optical Pulling Using Chiral Metalens as a Photonic Probe. Nanomaterials. 2021; 11(12):3376. https://doi.org/10.3390/nano11123376
Chicago/Turabian StylePeng, Miao, Hui Luo, Zhaojian Zhang, Tengfang Kuang, Dingbo Chen, Wei Bai, Zhijie Chen, Junbo Yang, and Guangzong Xiao. 2021. "Optical Pulling Using Chiral Metalens as a Photonic Probe" Nanomaterials 11, no. 12: 3376. https://doi.org/10.3390/nano11123376
APA StylePeng, M., Luo, H., Zhang, Z., Kuang, T., Chen, D., Bai, W., Chen, Z., Yang, J., & Xiao, G. (2021). Optical Pulling Using Chiral Metalens as a Photonic Probe. Nanomaterials, 11(12), 3376. https://doi.org/10.3390/nano11123376

