Multi-Band Analogue Electromagnetically Induced Transparency in DoubleTuned Metamaterials
Abstract
:1. Introduction
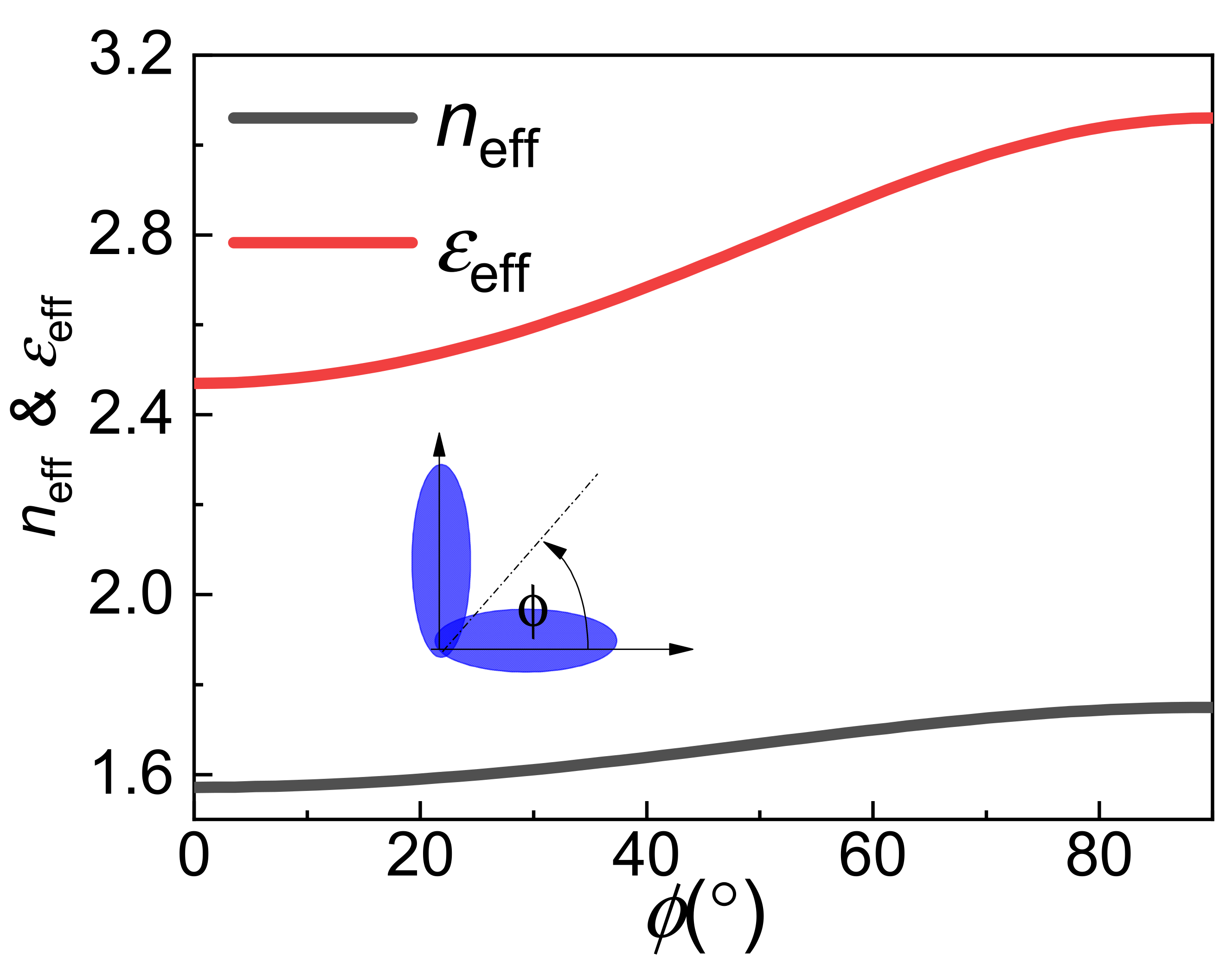
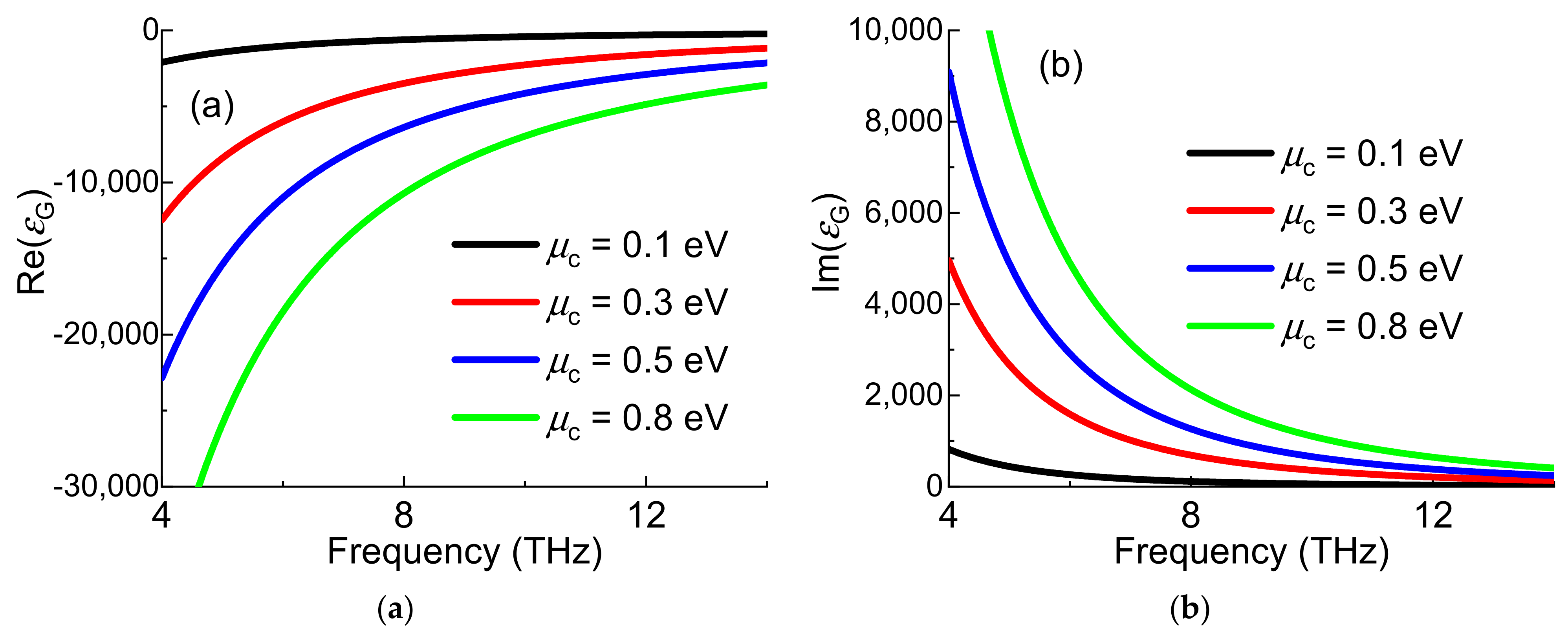
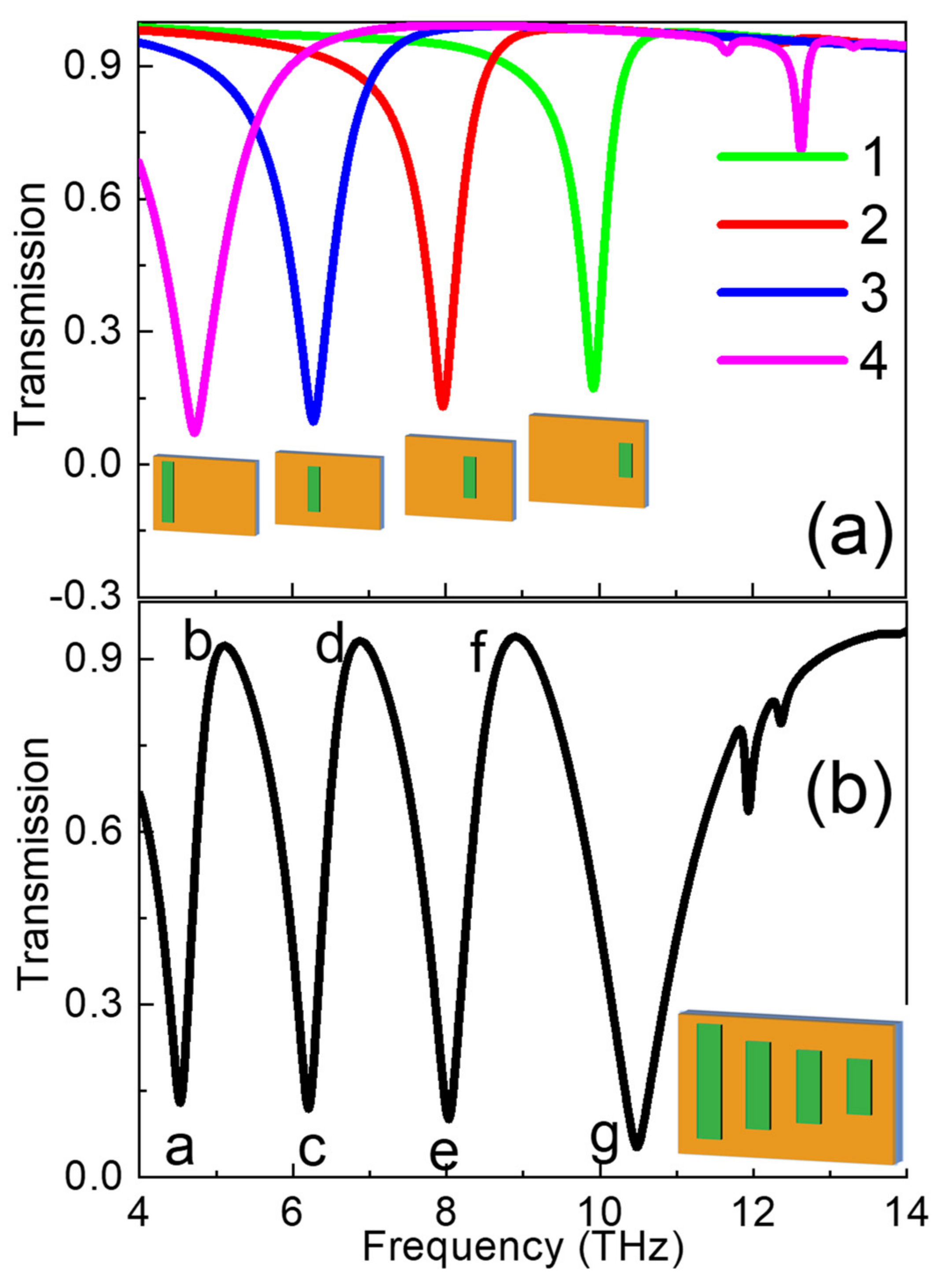
2. Geometric Model
3. Results and Discussions
4. Conclusions
Author Contributions
Funding
Institutional Review Board Statement
Informed Consent Statement
Data Availability Statement
Conflicts of Interest
References
- Bao, L.; Cui, T.J. Tunable, reconfigurable, and programmable metamaterials. Microw. Opt. Technol. Lett. 2019, 62, 9–32. [Google Scholar] [CrossRef]
- Nemati, A.; Wang, Q.; Hong, M.; Teng, J. Tunable and reconfigurable metasurfaces and metadevices. Opto-Electron. Adv. 2018, 1, 18000901–18000925. [Google Scholar] [CrossRef] [Green Version]
- Yin, Z.; Lu, Y.; Xia, T.; Lai, W.; Yang, J.; Lu, H.; Deng, G. Electrically tunable terahertz dual-band metamaterial absorber based on a liquid crystal. RSC Adv. 2018, 8, 4197. [Google Scholar] [CrossRef] [Green Version]
- Li, C.; Wang, J.; Zhang, T.; Liu, L.; Ying, X.; Liu, Z. Tunable Broadband Reflective Filter Based on a Graphene-Dielectric Multilayers. IOP Conf. Ser. Mater. Sci. Eng. 2019, 493, 012068. [Google Scholar] [CrossRef] [Green Version]
- Sargazi, M.; Linford, M.R.; Kaykhaii, M. Liquid Crystals in Analytical Chemistry: A Review. Crit. Rev. Anal. Chem. 2019, 49, 243–255. [Google Scholar] [CrossRef]
- Kowerdziej, R.; Olifierczuk, M.; Parka, J.; Wróbel, J. Terahertz characterization of tunable metamaterial based on electrically controlled nematic liquid crystal. Appl. Phys. Lett. 2014, 105, 022908. [Google Scholar] [CrossRef]
- Aruffo, E.; Chiuri, A.; Angelini, F.; Artuso, F.; Cataldi, D.; Colao, F.; Fiorani, L.; Menicucci, I.; Nuvoli, M.; Pistilli, M.; et al. Hyperspectral Fluorescence LIDAR Based on a Liquid Crystal Tunable Filter for Marine Environment Monitoring. Sensors 2020, 20, 410. [Google Scholar] [CrossRef] [Green Version]
- Harris, S.E.; Field, J.E.; Imamoğlu, A. Nonlinear optical processes using electromagnetically induced transparency. Phys. Rev. Lett. 1990, 64, 1107–1110. [Google Scholar] [CrossRef] [PubMed]
- Da, L.; Jiu-sheng, L. Dual-band terahertz switch based on EIT/Fano effect. Opt. Commun. 2020, 472, 125862. [Google Scholar] [CrossRef]
- Garrido Alzar, C.L.; Martinez, M.A.G.; Nussenzveig, P. Classical analog of electromagnetically induced transparency. Am. J. Phys. 2002, 70, 37–41. [Google Scholar] [CrossRef] [Green Version]
- Huang, B.; Meng, H.; Wang, Q.; Wang, H.; Zhang, X.; Yu, W.; Tan, C.; Huang, X.; Wang, F. Plasmonic-Induced Transparency and Slow-Light Effect Based on Stub Waveguide with Nanodisk Resonator. Plasmonics 2015, 11, 543–550. [Google Scholar] [CrossRef]
- Wu, W.; Liu, W.; Chun, Z.; Ling, Y.; Ding, J.; Wang, X.; Huang, L.; Li, H. Optical rotation and electromagnetically induced transparency in a chiral metamaterial with C4 symmetry. Opt. Express 2020, 28, 29496–29512. [Google Scholar] [CrossRef]
- Li, G.; Yang, J.; Zhang, Z.; Tao, Y.; Zhou, L.; Huang, H.; Zhang, Z.; Han, Y. Double Electromagnetically Induced Transparency and Its Slow Light Application Based On a Guided-Mode Resonance Grating Cascade Structure. Materials 2020, 13, 3710. [Google Scholar]
- Xu, X.; Zhang, C.; Lv, G.; Jiang, J.; He, X. Actively tunable and switchable electromagnetically induced transparency in hybrid metal-graphene metamaterials. Mater. Res. Express 2021, 8, 025802. [Google Scholar] [CrossRef]
- Xia, S.; Zhai, X.; Wang, L.; Wen, S. Plasmonically induced transparency in in-plane isotropic and anisotropic 2D materials. Opt. Express 2020, 28, 7980–8002. [Google Scholar] [CrossRef]
- Cheng, H.; Chen, S.; Yu, P.; Duan, X.; Xie, B.; Tian, J. Dynamically tunable plasmonically induced transparency in periodically patterned graphene nanostrips. Appl. Phys. Lett. 2013, 103, 203112. [Google Scholar] [CrossRef]
- Li, R.; Kong, X.-K.; Liu, S.-B.; Liu, Z.-M.; Li, Y.-M. Planar metamaterial analogue of electromagnetically induced transparency for a miniature refractive index sensor. Phys. Lett. A 2019, 383, 125947. [Google Scholar] [CrossRef]
- Xiang, Y.; Zhai, X.; Lin, Q.; Xia, S.; Qin, M.; Wang, L. Dynamically Tunable Plasmon-Induced Transparency Based on an H-Shaped Graphene Resonator. IEEE Photonics Technol. Lett. 2018, 30, 622–625. [Google Scholar] [CrossRef]
- Xiao, B.; Tong, S.; Fyffe, A.; Shi, Z. Tunable electromagnetically induced transparency based on graphene metamaterials. Opt. Express 2020, 28, 4048–4057. [Google Scholar] [CrossRef] [PubMed]
- Sun, G.; Peng, S.; Zhang, X.; Zhu, Y. Switchable Electromagnetically Induced Transparency with Toroidal Mode in a Graphene-Loaded All-Dielectric Metasurface. Nanomaterials 2020, 10, 1064. [Google Scholar] [CrossRef] [PubMed]
- Devi, K.M.; Islam, M.; Chowdhury, D.R.; Sarma, A.K.; Kumar, G. Plasmon-induced transparency in graphene-based terahertz metamaterials. EPL Europhys. Lett. 2017, 120, 27005. [Google Scholar] [CrossRef] [Green Version]
- Dziczek, D.; Chwirot, S. Dual control of slow light in reciprocal electromagnetically-induced-transparency conditions. Phys. Rev. A 2009, 79, 043807. [Google Scholar] [CrossRef]
- Khoo, I.C.; Saleh, B. Liquid Crystals: Physical Properties and Nonlinear Optical Phenomena, 2nd ed.; Wiley Professional, Reference & Trade: San Francisco, CA, USA, 2007. [Google Scholar]
- Mikhailov, S.A.; Ziegler, K. New electromagnetic mode in graphene. Phys. Rev. Lett. 2007, 99, 016803. [Google Scholar] [CrossRef] [PubMed] [Green Version]
- Falkovsky, L.A. Optical properties of graphene. J. Phys. Conf. Ser. 2008, 129, 012004. [Google Scholar] [CrossRef]
- Li, H.-M.; Liu, S.-B.; Liu, S.-Y.; Wang, S.-Y.; Zhang, H.-F.; Bian, B.-R.; Kong, X.-K. Electromagnetically induced transparency with large delay-bandwidth product induced by magnetic resonance near field coupling to electric resonance. Appl. Phys. Lett. 2015, 106, 114101. [Google Scholar] [CrossRef]
- Ning, R.; Liu, S.; Zhang, H.; Bian, B.; Kong, X. Tunable absorption in graphene-based hyperbolic metamaterials for mid-infrared range. Phys. B Condens. Matter 2015, 457, 144–148. [Google Scholar] [CrossRef]
- Tang, C.; Niu, Q.; He, Y.; Zhu, H.; Wang, B.-X. Tunable Triple-Band Plasmonically Induced Transparency Effects Based on Double π-Shaped Metamaterial Resonators. Plasmonics 2019, 15, 467–473. [Google Scholar] [CrossRef]
- Zhao, J.; Song, J.; Zhou, Y.; Zhao, R.; Zhou, J. Tunable multiple plasmon-induced transparency in a simple terahertz Dirac semimetal based metamaterial. Opt. Mater. Express 2019, 9, 3325. [Google Scholar] [CrossRef]
- Bagci, F.; Akaoglu, B. Single and multi-band electromagnetic induced transparency-like metamaterials with coupled split ring resonators. J. Appl. Phys. 2017, 122, 073103. [Google Scholar] [CrossRef]
- Chen, X.; Fan, W. Polarization-insensitive tunable multiple electromagnetically induced transparencies analogue in terahertz graphene metamaterial. Opt. Mater. Express 2016, 6, 2607. [Google Scholar] [CrossRef]
- Nam, M.H.; Hanh, V.T.H.; Tuong, N.B.; Tung, B.S.; Khuyen, B.X.; Lam, V.D.; Chen, L.Y.; Lee, Y.P. Multi-Band Electromagnetically-Induced-Transparency Metamaterial Based on the Near-Field Coupling of Asymmetric Split-Ring and Cut-Wire Resonators in the GHz Regime. Crystals 2021, 11, 164. [Google Scholar] [CrossRef]
- Guo, M.; Huang, L.; Liu, W.; Ding, J. Hybrid metasurface comprising epsilon-near-zero material for double transparent windows in optical communication band. Opt. Mater. 2021, 112, 110802. [Google Scholar] [CrossRef]
- Wang, J.; Zhang, J.; Fan, C.; Mu, K.; Liang, E.; Ding, P. Electromagnetic field manipulation in planar nanorod antennas metamaterial for slow light application. Opt. Commun. 2017, 383, 36–41. [Google Scholar] [CrossRef] [Green Version]
- Li, M.; Li, H.; Xu, H.; Xiong, C.; Zhao, M.; Liu, C.; Ruan, B.; Zhang, B.; Wu, K. Dual-frequency on–off modulation and slow light analysis based on dual plasmon-induced transparency in terahertz patterned graphene metamaterial. New J. Phys. 2020, 22, 103030. [Google Scholar] [CrossRef]












| Ref. | [28] | [29] | [30] | [31] | [32] |
|---|---|---|---|---|---|
| Band range | THz | THz | GHz | THz | GHz |
| material | Au | Dirac semimetal | Copper | Graphene | Copper |
| tunable | No | Single tunable | No | Single tunable | No |
| FOM | \ | 16, 50.9 and 9.6, | \ | \ | \ |
| group delay | \ | \ | 6.70, 0.76, 2.38 ns | \ | 1.1 and 0.7 ns |
| Ref. | [33] | [34] | [35] | [9] | Our Work |
| Band range | Optical | Optical | THz | THz | THz |
| material | ITO | Ag | Graphene | VO2 | Graphene, LC |
| tunable | NO | NO | Single tunable | Single tunable | Dual-tunable |
| FOM | \ | \ | \ | \ | 13, 16, 18 |
| group delay | \ | 17, 19 ps | \ | 14 ps and 35 ps | \ |
Publisher’s Note: MDPI stays neutral with regard to jurisdictional claims in published maps and institutional affiliations. |
© 2021 by the authors. Licensee MDPI, Basel, Switzerland. This article is an open access article distributed under the terms and conditions of the Creative Commons Attribution (CC BY) license (https://creativecommons.org/licenses/by/4.0/).
Share and Cite
Huang, W.; He, N.; Ning, R.; Chen, Z. Multi-Band Analogue Electromagnetically Induced Transparency in DoubleTuned Metamaterials. Nanomaterials 2021, 11, 2793. https://doi.org/10.3390/nano11112793
Huang W, He N, Ning R, Chen Z. Multi-Band Analogue Electromagnetically Induced Transparency in DoubleTuned Metamaterials. Nanomaterials. 2021; 11(11):2793. https://doi.org/10.3390/nano11112793
Chicago/Turabian StyleHuang, Wei, Ningye He, Renxia Ning, and Zhenhai Chen. 2021. "Multi-Band Analogue Electromagnetically Induced Transparency in DoubleTuned Metamaterials" Nanomaterials 11, no. 11: 2793. https://doi.org/10.3390/nano11112793
APA StyleHuang, W., He, N., Ning, R., & Chen, Z. (2021). Multi-Band Analogue Electromagnetically Induced Transparency in DoubleTuned Metamaterials. Nanomaterials, 11(11), 2793. https://doi.org/10.3390/nano11112793

