Next Article in Journal
Synthesis, Characterization, and Magnetoresistive Properties of the Epitaxial Pd0.96Fe0.04/VN/Pd0.92Fe0.08 Superconducting Spin-Valve Heterostructure
Previous Article in Journal
Perfect Absorption and Refractive-Index Sensing by Metasurfaces Composed of Cross-Shaped Hole Arrays in Metal Substrate
 
 
Font Type:
Arial Georgia Verdana
Font Size:
Aa Aa Aa
Line Spacing:
Column Width:
Background:
Article

Highly Flowable Nano TiO2/Porous Organic Polymer (POP) Supports for Efficient Metallocene Catalysts

Lanzhou Petrochemical Research Center, Petrochemical Research Institute, PetroChina, Lanzhou 730060, China
*
Author to whom correspondence should be addressed.
Nanomaterials 2021, 11(1), 60; https://doi.org/10.3390/nano11010060
Submission received: 30 October 2020 / Revised: 18 December 2020 / Accepted: 20 December 2020 / Published: 29 December 2020
(This article belongs to the Section Energy and Catalysis)

Abstract

Porous organic polymers (POPs) have proven to be an efficient support in the olefin polymerization catalyst field. In this paper, nano TiO2 beads were used to modulate the pore structure, bulk density, and surface morphology and flowability of the prepared POPs. With the incorporation of the hydrophilic nano TiO2 beads, the prepared TiO2/POP supports obtained reasonable specific surface area (100–300 m2/g) and higher bulk density (0.26–0.35 g/mL) and flowability than the pure POP supports. The results show that bulk density of the prepared TiO2/POP particles increased when adding an increased amount of TiO2, and when 37.5% TiO2 (weight percent to the total comonomers divinylbenzene (DVB) and 2-hydroxyethyl methacrylate (HEMA)) and 3:1 DVB/HEMA (molar ratio) were added, highly flowable TiO2/POP composites (POP-6 and POP-7) were obtained. With the modulation of the nano TiO2 template during the support synthesis, the prepared POP-7 particles successfully achieved a normal distribution with a narrow particle size distribution (PSD) of 0.717 and average particle size of 24.1 μm, a specific surface area (SSA) of 279 m2/g, and relatively high bulk density of 0.30 g/mL. Furthermore, all the prepared TiO2/POP supports obtained higher ethylene polymerization activity than silica gel-supported commercial metallocene catalyst. The immobilized (n-BuCp)2ZrCl2/MAO@POP-7 catalyst exhibited the highest ethylene polymerization activity of 4794 kg PE/mol Zr.bar.h and productivity of 389 g PE/g cat, more than twice that of the commercial counterpart. Even higher catalyst productivity (3197 g PE/g cat) and bulk density of the produced PE (0.36 g/mL) could be obtained in higher ethylene partial pressure at 80 °C for 2 h, and the prepared TiO2/POP catalyst shows no obvious Zr+ active sites decay during the ethylene polymerization.

1. Introduction

Polyolefins are undoubtedly one of the most robust fields in polymer production and consumption globally [1,2,3]. Along with continuously growing demand worldwide, there is the remarkable progress of polyolefin catalysts and polymerization process technologies [4,5,6,7,8,9,10]. The single-site metallocene catalysts have attracted extensive interest, both from academia and industry, due to their abilities to precisely control the polymer microstructure and stereospecificity by simply tailoring the ligands used [11,12,13,14,15].
Heterogeneous catalysis is required in the gas-phase or the slurry process for industrial applications to avoid reactor fouling and to control the polymer morphology or the forming granule reactor by immobilization of the homogeneous catalytic sites into a carrier [16,17,18,19,20]. Inorganic supports, such as silica gel, magnesium chloride, aluminum oxide, zeolite, molecular sieves, etc., have been reported as metallocene catalysts carriers in numerous literatures. Some of the inorganic supports used as metallocene catalysts were successfully commercialized. However, they often need fastidious treatment to remove the surface acidic groups, which leads to active sites deactivation of the supported metallocene catalysts, and the inorganic residual may affect the produced polymer properties [21,22,23,24].
The porous organic polymers (POPs) are a potential alternative for commercial immobilized metallocene catalysts, and they have attracted ever-increasing attention in a wide range of applications for the last two decades due to their unique properties, such as high surface area, varied synthesis strategy, easy functionality, excellent thermal stability, etc. [25,26,27,28,29,30]. They also provide a more homogeneous environment for active sites during the olefin polymerization, and they need no complex pre-treatment for immobilization and suffer from no severe catalytic deactivation due to the surface acidic group. A great deal of POPs with different functional groups were prepared for polyolefin catalysts support, and they exhibited excellent ethylene polymerization activity. We designed and synthesized a series of POPs with different functional comonomers, such as HEMA, 2-hydroxypropyl methacrylate (HPMA), and 4-vinylbenzyl chloride (VBC), and we also discussed the feasibility for synthesis of different pore structure, bulk density, and morphology via a dispersion polymerization method, and the highly porous polymers showed excellent catalytic performance [31,32,33,34].
However, the particle size, bulk density, and surface morphology of the prepared POPs are hard to control and generally have bad flowability as a catalysts support, due to the thermodynamic incompatibility between solvent, comonomers, and the prepared polymers, which limited their commercial applications as catalyst support. A small number of nano metal oxides [32], such as Fe3O4, Fe2O3, and CuO, were introduced in the preparation of POPs to tune pore structure, bulk density, morphology, etc., and then the added metal oxides were removed by acid etching for olefin polymerization catalysts.
In this paper, nano TiO2 beads were selected for an effective template agent to modulate the pore structure and particle morphology of the prepared TiO2/POP composites without needing to remove the metal oxide, and highly free-flowing TiO2/POP composites with higher bulk density, narrow particle size distribution, and high ethylene catalytic activity were obtained.

2. Experimental Section

2.1. Materials

Divinylbenzene (DVB, 55% and 80%, Aladinn Reagent, Shanghai, China), 2-hydroxyethylmethacrylate (HEMA), and 2,2-Azo-bis-isobutyronitrile (AIBN, A.R. Aladdin Reagent, Shanghai, China) were treated according to our previous work before use [31,32]. Ethanol (99.5%, Tianjing Yongda Chemical Co., Tianjing, China), POE-b-POP (Poloxamer 407, F127, BASF), deionized water (provided by Lanzhou Petrochemical Center, Lanzhou, China), and titanium (IV) oxide (≥99.8% metals basis, 100 nm beads, anatase, hydrophilic, Aladinn Reagent, Shanghai, China) were used as received. Methylaluminoxane (MAO) (10% in toluene, purchased from Albermarle, which is now known as GRACE) was vacuum distilled to remove toluene and the residual trimethylaluminum (TMA) and obtain white MAO powder. Bis (n-butylcyclopentadienyl) zirconium dichloride ((n-BuCp2)ZrCl2) (≥98%, DAL CHEM, Nizhny Novgorod, Russia) was directly used without further treatment.

2.2. Preparation of TiO2/POP Supports

The TiO2/POP composites were synthesized by free radical polymerization using a similar method adopted by our group [31,32]. Typically, a certain amount of hydrophilic nano TiO2 beads were added in 120 mL Ethanol and deionized water mixture solvent (V:V = 9:1) in a multi-necked glass reactor. They were then evenly-dispersed in solvent with ultrasonication for 3 min. At a stirring speed of 360 rpm, 4.80 g of DVB, 1.60 g of HEMA, and 0.128 g F127 (2 wt%) were added into the reactor. Then they were dissolved in the solvent by heating to 50 °C for 1 h. Then 0.128 g (2 wt%) AIBN was added into the reactor to initiate a radical polymerization reaction at 70 °C for 3 h and aging for another 5 h. After polymerization, the TiO2/POP composites were filtered at 70 °C, washed with hot ethanol or an ethanol/water mixture solvent and vacuum filtered three or four times to remove impurities. To complete the process, the prepared white or off-white TiO2/POP composites were vacuum treated at 70 °C for 8 h for further use.

2.3. Immobilization of Metallocene Catalysts

To begin, 2.84 g TiO2/POP support and 1.56 g MAO white powder were added in 80 mL dry toluene and stirred at ambient temperature for 1h. Then 0.114 g (n-BuCp)2ZrCl2 complex was added while stirring for another 2 h. The prepared light-yellow solids were washed in toluene and hexane three times, respectively, and were then were dried under vacuum to obtain free-flowing metallocene catalyst particles. The metallocene catalysts immobilized in TiO2/POPs were ready for use in ethylene homopolymerization.

2.4. Ethylene Polymerization

Ethylene homopolymerization was carried out in an 800 mL stainless steel reactor with an external oil bath for temperature control. 300 mL hexane solvent and 3 mL TEAL (10% in hexane) were added in the pressure reactor after high-purity nitrogen purging. After stirring for 5 min, about 130 mg of the prepared (n-BuCp)2ZrCl2/MAO@TiO2/POP catalyst was added. The polymerization was conducted at 80 °C and 4 bar ethylene pressure for 30 min. The ethylene pressure was kept constant during the whole process of ethylene polymerization. Ethylene polymerization was also conducted in a 10 L pressure reactor for polymerization kinetics at 80 °C.

2.5. Characterization

The pore structure of the TiO2/POPs support was evaluated on a Nova 2000e Nitrogen sorption porosimetry (Quantachrome Instruments, Boynton Beach, FL, USA). Before testing, these samples were vacuum-dried at 120 °C for 8 h to remove residuals on the surface, and then the testing was conducted at the temperature of liquid nitrogen (77.3 K). Particle size and particle size distribution were carried out on a Mastersizer 2000 (Malvern, Malvern city, UK) using ethanol as dispersion medium. The IR analysis was conducted on a NEXUS 670 FTIR (Glendale, WI, USA). A DSC Q2000 (New Castle, DE, USA) was used for thermogravimetric (TG) analysis in nitrogen protection with 20 °C heating rate from room temperature to 800 °C. X-ray diffraction (XRD) testing was performed on a Bruker D8 ADVANCE (Bruker, Karsruher, Germany) using Cu Kα radiation (λ = 1.5406 Å) with 2θ scanning angle from 10° to 70°. A scanning electron microscope (SEM) was used on a HITACHI S4800 (Tokyo, Japan) to analyze the surface morphology of the prepared support. The support particles were dispersed on electric glue mounted on a metallic base. Then the samples were sprayed with a thin layer of gold before the test. Element analysis of the metallocene catalysts was carried out on a VISTA ICP-MPX (VARIAN, Palo Alto, CA, USA) to obtain Al and Zr loading according to the literature [33].

3. Results and Discussion

3.1. Preparation of Nano TiO2/POP Particles

In this work, the nano TiO2 beads were used as a significant component to modulate the bulk density, surface morphology, and flowability of the produced POP particles. The TiO2/POP particles were prepared by a dispersion or precipitation method, and the pore structure parameters and the bulk density of the inorganic/organic composite supports are listed in Table 1. As seen in Table 1, the TiO2/POP particles obtained a variety of porous structures with specific surface area (SSA) from about 100 to 350 m2/g, and a pore volume from about 0.15 to 0.40 mL/g, which is suitable for a potential metallocene catalysts support. Moreover, the prepared free-flow TiO2/POP particles gained relatively higher bulk density of 0.25–0.35 g/mL, compared to the previous method [31,32,33].
Similar with the particle-forming mechanism of POPs by a metal oxide template, the hydrophilic TiO2 nano-aggregates could absorb functional monomers and play as a template during the radical polymerization. As illustrated in Figure 1, the POP particles grow around the nano TiO2 beads or nano aggregates. As the POPs grow larger around the inorganic particles, the nano TiO2 particles could be dispersed in the prepared POP matrix in order to regulate the pore structure, bulk density, and flowability of the TiO2/POP particles. Based on this mechanism, highly flowable TiO2/POP particles were prepared (See supplementary video clip).

3.2. Pore Structure of the Prepared TiO2/POP Particles

As seen from Table 1 and Figure 2, similar pore structure was obtained with the same comonomers formula and cross-linking degree of DVB. When 55% cross-linking degree DVB and a DVB/HEMA molar ratio of 3:1 were added, the pore structure of the prepared TiO2/POP particles (POP 1–4) varied a little with similar nitrogen isotherm and pore size distribution curves. The specific surface area and pore volume of the four samples were about 190–220 m2/g and 0.31–0.37 cm3/g, respectively. Compared to our previous work, the bulk density of the prepared P(DVB-co-HEMA) supports typically ranges from 0.15 to 0.30 g/mL. However, higher bulk density of the prepared TiO2/POP composites can be achieved by adding nano-TiO2, with bulk density ranging from 0.26 to 0.35 g/mL, which approved that the nano-TiO2 is an effective component to tune the bulk density of the prepared supports.
The cross-linking degree of DVB and the functional comonomer HEMA are also significant pore-modulating factors of the prepared TiO2/POP particles. Typically, when higher cross-linking DVB was used, more highly porous TiO2/POP particles can be obtained due to higher cross-linking degree in the produced polymer network. The characteristic pore size peak of around 1.475 nm due to a higher cross-linking of DVB could be clearly observed in POP-5, POP-7, and POP-8 (see Figure 2b). The SSA of POP-5 was increased to 309 m2/g from 204 m2/g of POP-3, and POP -7 had a higher SSA of 279 m2/g compared to 136 m2/g of POP-6. The SSA of POP-6 decreased from about 200 m2/g to 136 m2/g when decreasing the HEMA content from 3:2 to 3:1 of DVB/HEMA molar ratio. An obvious peak around 2.21 nm of POP-6 and POP-7 could be noticed in the curves of NLDFT pore size distribution, and the decrease in HEMA content also resulted in the less porous N2 isotherm in consequence of the reduced pore size distributions mainly from 2.3 to 5.0 nm. The reason why the HEMA content influences the pore size distribution was discussed in detail in our previous research [33]; it is mainly caused by the change in solubility parameter of the prepared polymer when increasing the HEMA content.

3.3. IR and TGA Analysis

The IR spectra of the prepared TiO2/POP particles are shown in Figure 3. The characteristic peaks of C=O in the HEMA units can be clearly observed around 1725 cm−1, and the bands around 1450 cm−1 of the in-plane bending mode of υ ˜ (C-H) of -CH2- also exist in all samples. There is little absorbance in the P(DVB-co-HEMA) of POP-8, while as a comparison, there are unambiguously broad absorbance bands of around 400–600 cm−1 in the prepared TiO2/POP composites, which can be ascribed to the characteristic peak of TiO2. Moreover, the HEMA unit and TiO2 relatively content in the TiO2/POP composites can be evaluated by the specific value of the C=O and TiO2 characteristic peak height (area) to the calibrated peak height (area) in 1450 cm−1. As a result, the HEMA unit and TiO2 relatively content in the TiO2/POP composites are in accordance with the added content of HEMA and TiO2.
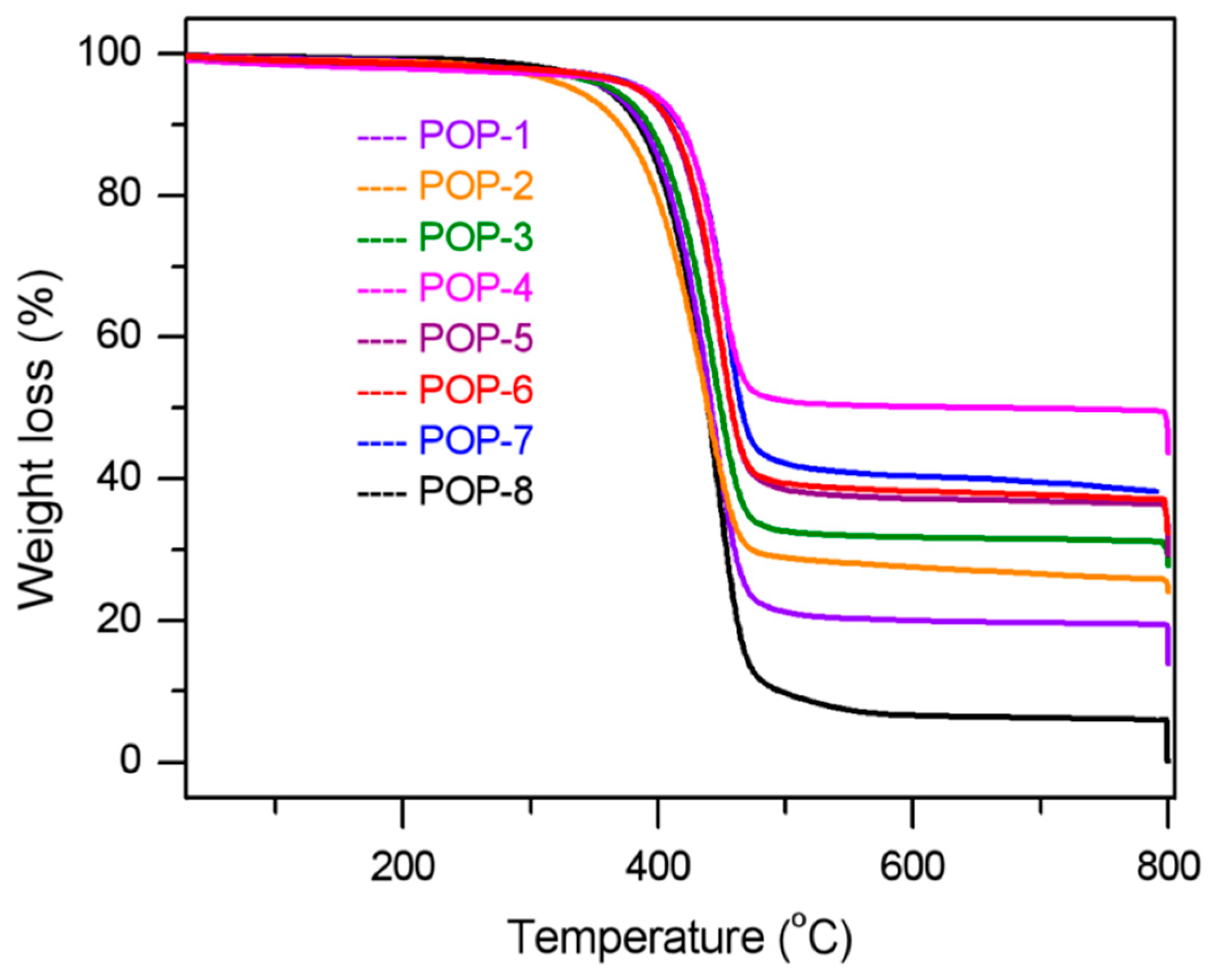
Figure 4 shows the thermogravimetric analysis (TGA) curves of the prepared TiO2/POP composites. The prepared TiO2/POP composites exhibited excellent heat stability as potential catalyst supports, and the major loss did not emerge below 300 °C. The calculated weight loss results were listed in Table 2. From Table 2, we can see that less than 3% weight loss arises under 300 °C due to slightly adsorbed monomers or solvent molecules. Take POP-8 as a reference sample without TiO2, the TiO2 content in the prepared TiO2/POP composites was calculated based on the weight loss value below 800 °C. The TiO2 content in the TiO2/POP composites rose from 13.8% to 44.0% when increasing the added TiO2 amount from 10% in POP-1 to 50% in POP-4 in the radical polymerization. The TiO2 content in the final product of POP-6 and POP-7 were 32.4% and 38.4%, respectively, and POP-6 and POP-7 gained better flowability than other samples.

3.4. XRD Analysis

Wide angle X-ray diffraction (XRD) analysis was adopted to determine the crystal type and their relative content of the nano TiO2 component. From Figure 5, the characteristic diffraction peaks of the anatase TiO2 crystal can be observed from the prepared TiO2/POP composites with the 2θ of 25.3°, which belongs to the (101) crystal face. In comparison, the XRD curve of the prepared POP particles (POP-9) without TiO2 contains no obvious diffuse peaks, indicating that the POPs prepared in the synthesis are amorphous. The relative content of TiO2 in the TiO2/POP composites could be evaluated from the value of peak height of (101) crystal face to the background peak height of around 8.8°, and the relative content of TiO2 is congruent to the added amount of TiO2 in the synthesis. Therefore, the POP-4 obtained the highest TiO2 amount from the XRD analysis. There are also other anatase TiO2 crystal faces, which could be observed in 37.8° of the (004), 48.2° of (200), and 62.8° of (204). The peaks around 27.6°, which is the characteristic peak of the rutile TiO2, are unobserved in these TiO2/POP composites.

3.5. Particle Size and Particle Size Distribution

Due to the replication effect during the olefin polymerization, the particle size and particle size distribution of a potential catalyst support also need to be evaluated. Generally, for a suitable olefin polymerization catalyst support in commercial applications, the particle size of D(0.5) of the support ranges from 20 to 60 μm and the particle size distribution is less than 2. The particle size and particle size distribution results of the prepared TiO2/POP composites are presented in Table 3 and Figure 6.
From Table 3, we can see that relatively narrow particle size distribution with a span of less than 2 was obtained from the TiO2/POP composites. The average particle size D(0.5) of POP-8 was 47.3 μm, and when nano TiO2 beads were added, an obvious decreasing trend of particle size of the prepared TiO2/POP particles could be observed when increasing the TiO2 amount in the support synthesis. The average particle size D(0.5) reduced from 31 μm of POP-1 to 17.6 μm of POP-4. The trend could be well explained by the hydrophilic nature of the nano TiO2 beads absorbing the hydrophilic functional HEMA molecules, and its template role as a seed during the radical polymerization. As seen from the schematic preparation of TiO2/POP particles (Figure 1), the nano TiO2 beads (about 100 nm) could absorb HEMA, AIBN initiator, and even DVB molecules around their surfaces, and radical polymerization was initiated around the nano beads. When HEMA and DVB molecules diffuse around the nano beads, and the polymer would grow around the nano template as the copolymerization and cross-linking reaction happened. When the added nano template beads increased, more DVB/HEMA molecules polymerize around the nano beads, so narrower particle size distribution and less fine particles (1–10 μm) were noticed.
When a DVB/HEMA molar ratio of 3:1 was adopted in the synthesis of POP-6 and POP-7, narrower particle size distributions with a span of less than 1.0 were achieved, and the average particle sizes were 24.7 and 24.1 μm, respectively. From Figure 6, POP-7 obtained a normal distribution of its particle sizes with the same average particle size D(0.5) and mode values. Contrary to other samples (except POP-6 and POP-7), there exists no minor peak around 1–10 μm in POP-7, which is very common in the preparation of POP supports. The elimination of the minor peak and the acquiring of narrower normal distribution of particle size by nano TiO2-doping are demonstrated to be a very significant and practical approach for particle size control.

3.6. Surface Morphology

A scanning electron microscope (SEM) was employed to examine the surface morphology of the nano-TiO2 beads and the prepared TiO2/POP particles. As illustrated in Figure 7, the TiO2 raw materials consists of nano aggregates, and the prepared TiO2/POP particles are made up of submicron spheres, which congregate to form granule units. The porous surface morphology of POP-6 and POP-7 is quite different with the TiO2 nano aggregates, and a great deal of nano pores in the submicron spheres could be observed. Based on the proposed particle-forming mechanism mentioned above, it is reasonable to infer that the nano TiO2 beads were well-dispersed in the final TiO2/POP particles.

3.7. Ethylene Polymerization and Kinetic Curve of the Supported Metallocene Catalysts

In order to investigate the effect of the inorganic-organic supports, the metallocene complex (n-BuCp)2ZrCl2 and the MAO cocatalyst were immobilized in the prepared TiO2/POP composites, and then ethylene polymerization was conducted to evaluate their catalytic activity and kinetic behaviors using the produced (n-BuCp)2ZrCl2/MAO@TiO2/POP catalysts. From the ethylene polymerization results listed in Table 4, all four TiO2/POP supports supported metallocene catalysts achieved higher catalytic activity compared to the silica gel-supported commercial catalysts, indicating that the TiO2/POP composites could act as an excellent metallocene support in terms of ethylene polymerization. POP-7 obtained the highest catalytic activity of 4794 Kg PE/mol Zr.bar.h and productivity of 389 g PE/g cat, respectively, which is above the twice of the silica gel-supported counterpart. Moreover, POP-6 gained higher ethylene polymerization activity with low SSA (136 m2/g) than POP-4 with relatively higher SSA (204 m2/g), and we can infer that the pore structure of the support might not be the determinant factors of the catalyst polymerization activity. Apart from the Al/Zr ratio discussed in other literature and our previous work, the TiO2 might play an important role to influence the active sites for ethylene polymerization. The prepared TiO2/POP composites obtained improved activity compared to the POP support without TiO2 reported in our previous work, despite that the bulk densities of the prepared PE were still below that of the silica gel.
To evaluate the ethylene polymerization kinetics, 2.0 kg hexane, 20 mL TEAL (10% wt in hexane), and 0.67g Zr/MAO@POP-7 catalyst were added into a 10 L stainless steel autoclave, and then ethylene was fed into the reactor constantly to maintain 6 bar ethylene partial pressure at 80 °C for 2 h. After the polymerization, 2142 g dry PE powder with higher ethylene polymerization activity (3197 g PE/g cat) was collected. As for the prepared TiO2/POP supports, the ethylene polymerization conditions seemed to play a significant role in the bulk density of the produced polymer. In the ethylene polymerization kinetic curve of Zr/MAO@POP-7 catalyst, the bulk density of the produced ethylene homo-polymer improved dramatically from 0.24 to 0.36 g/mL in higher ethylene partial pressure and polymerization activity. Significantly, the catalyst showed no obvious decay of ethylene consumption during the polymerization as illustrated in Figure 8a, and the formed Zr+ active sites in the Zr/MAO@POP catalyst were stable and suffered no apparent deactivation during the ethylene polymerization at about 80 °C [35].
As a comparison, 2283 g dry PE powder with 0.42 g/mL bulk density was obtained from 0.83 g commercial catalyst. The polymerization activity of the Zr/MAO/POP-7 catalyst (6562 kg PE/mol Zr.bar.h) was still higher than the silica gel-based metallocene catalyst (2908 kg PE/mol Zr.bar.h), partly due to a similar analogue to homogeneous polymerization, and the bulk density of mPE-2 from the Zr/MAO/POP-7 catalyst was closer to inorganic counterparts. From Figure 8b, we can see that the average molecular weight of mPE-1 (Mw = 170,300 g/mol) was less than that of mPE-2 (Mw = 211,100), and the molecular weight distribution of the mPE-2 (PDI = 2.71) was narrower than that of mPE-1 (PDI = 2.90) prepared from the silica gel-based metallocene catalyst.

4. Conclusions

Free-flow Nano TiO2/POP particles with tunable pore structure, bulk density, and narrow pore size distribution were synthesized by precipitation polymerization with hydrophilic nano TiO2 beads as a template. By incorporating the inorganic nano TiO2 into the POPs, higher bulk density and smaller particle size of the prepared TiO2/POP composites could be achieved when adding a higher amount of TiO2. In optimalization of DVB monomer, functional HEMA comonomer and the amount of TiO2 added narrow pore size distribution or normal distribution curves of the prepared composites with excellent flowability and surface morphology as a catalyst support could be obtained. The ethylene polymerization evaluation showed that the prepared TiO2/POP composites supported metallocene catalysts obtained higher ethylene catalytic activity than the commercial counterpart. Moreover, the TiO2/POP composites-based metallocene catalysts exhibited excellent stable polymerization kinetics showing no obvious active sites decay during the polymerization. This inorganic-organic hybrid approach of POP synthesis would be a practical and facile way for overcoming the drawbacks of the pure organic support-based polyolefin catalysts for potential industrialization.

Supplementary Materials

The following are available online at https://www.mdpi.com/2079-4991/11/1/60/s1, Video S1: Highly flowable TiO2/POP support.

Author Contributions

Conceptualization and writing, X.W.; formal analysis, W.K. and L.G.; investigation, Y.G.; writing—review and editing, X.W. and X.C.; project administration, G.L. All authors have read and agreed to the published version of the manuscript.

Funding

This research was funded by PetroChina Company Limited (2020B-2621).

Institutional Review Board Statement

Not applicable.

Informed Consent Statement

Not applicable.

Data Availability Statement

The data presented in this study are available in article.

Acknowledgments

The financial support of this work by PetroChina Company Limited is gratefully acknowledged.

Conflicts of Interest

The authors declare no conflict of interest.

References

  1. Sauter, D.W.; Popoff, N.; Bashir, M.A.; Szeto, K.C.; Gauvin, R.M.; Delevoye, L.; Taoufik, M.; Boisson, C. The design of a bipodalbis(pentafluorophenoxy)aluminate supported on silica as an activator for ethylene polymerization using surface organometallic chemistry. Chem. Commun. 2016, 52, 4776–4779. [Google Scholar] [CrossRef] [PubMed]
  2. Stürzel, M.; Mihan, S.; Mülhaupt, R. From Multisite Polymerization Catalysis to Sustainable Materials and All-Polyolefin Composites. Chem. Rev. 2016, 116, 1398–1433. [Google Scholar] [CrossRef] [PubMed]
  3. Alt, H.G.; Köppl, A. Effect of the nature of metallocene complexes of group IV metals on their performance in catalytic ethylene and propylene polymerization. Chem. Rev. 2000, 100, 1205–1222. [Google Scholar] [CrossRef]
  4. Wang, X.; Han, X.Y.; Xu, R.W. Polypropylene—Polymerization and Characterization of Mechanical and Thermal Properties. In Versatile Propylene-Based Polyolefins with Tunable Molecular Structure through Tailor-Made Catalysts and Polymerization Process; Wang, W.Y., Zeng, Y.M., Eds.; IntechOpen: London, UK, 2020; Chapter 2; ISBN 978-1-83880-414-5. [Google Scholar]
  5. Galli, P.; Vecellio, G. Technology: Driving force behind innovation and growth of polyolefins. Prog. Polym. Sci. 2001, 26, 1287–1336. [Google Scholar] [CrossRef]
  6. Yagaguchi, M.; Miyata, H.; Nitta, K.-H. Structure and properties for binary blends of isotactic-polypropylene with ethylene-α-olefin copolymer. 1. Crystallization and morphology. J. Polym. Sci. Part B 1997, 35, 953. [Google Scholar] [CrossRef]
  7. Phulkerd, P.; Funahashi, Y.; Ito, A.; Iwasaki, S.; Yamaguchi, M. Perpendicular orientation between dispersed rubber and polypropylene molecules in an oriented sheet. Polym. J. 2018, 50, 309. [Google Scholar] [CrossRef]
  8. Chum, P.S.; Swogger, K.W. Olefin polymerization technologies--History and recent progress at Dow Chemical Company. Prog. Polymer Sci. 2008, 33, 797–819. [Google Scholar] [CrossRef]
  9. CHang, M.; Liu, X.; Nelson, P.J.; MUnzing, G.R.; Gegan, T.A.; Kission, Y.V. Ziegler–Natta catalysts for propylene polymerization: Morphology and crystal structure of a fourth-generation catalyst. J. Catal. 2006, 239, 347. [Google Scholar] [CrossRef]
  10. Peil, K.P.; Neithamer, D.R.; Patrick, D.W.; WIlson, B.E.; Tucker, C.J. Applications of high throughput research at the Dow Chemical Company. Macromol. Rapid Commun. 2004, 25, 119. [Google Scholar] [CrossRef]
  11. Jüngling, S.; Koltzenberg, S.; Mülhaupt, R. Propene homo- and copolymerization using homogeneous and supported metallocene catalysts based on Me2Si (2-Me-Benz[e]lnd)2ZrCl2. J. Polym. Sci. Part A Polym. Chem. 1997, 35, 1–8. [Google Scholar] [CrossRef]
  12. Resconi, L.; Cavallo, L.; Fait, A.; Piemontesi, F. Selectivity in propene polymerization with metallocene catalysts. Chem. Rev. 2000, 100, 1253–1345. [Google Scholar] [CrossRef] [PubMed]
  13. Corradini, P.; Guera, G.; Cavallo, L. New Century Catalysts Unravel the Mechanism of Stereocontrol of Old Ziegler−Natta Catalysts? Acc. Chem. Res. 2004, 37, 231–241. [Google Scholar] [CrossRef] [PubMed]
  14. Coates, G.W.; Waymouth, R.M. Oscillating stereocontrol:A strategy for the synthesis of thermoplastic elastomeric polyproopylene. Science 1995, 267, 217–219. [Google Scholar] [CrossRef] [PubMed]
  15. Lin, S.; Waymouth, R.M. 2-Arylindene metallocenes: Conformationally dynamic catalysts to control the structure and properties of Polypropylenes. Acc. Chem. Res. 2002, 35, 765–773. [Google Scholar] [CrossRef]
  16. Tisse, V.F.; Prades, F.; Briquel, R.; Boisson, C.; Mckenna, T.F.L. Role of silica properties in the polymerisation of ethylene using supported metallocene catalysts. Macromol. Chem. Phys. 2010, 211, 91–102. [Google Scholar] [CrossRef]
  17. Kumkaew, P.; Wanke, S.E.; Praserthdam, P.; Danumah, C.; Kaliaguine, S. Gas-phase ethylene polymerization using zirconocene supported on mesoporous molecular sieves. J. Appl. Polym. Sci. 2003, 87, 1161–1177. [Google Scholar] [CrossRef]
  18. Meshkova, I.N.; Kudinova, O.I.; Kovaleva, N.Y.; Grinev, V.G.; Ladygina, T.A.; Kiseleva, E.V.; Novokshonova, L.A. Effect of the zeolite support on the polymerization of propylene with immobilized ansa-zirconocene catalysts. Polym. Sci. Ser. B 2009, 51, 401–408. [Google Scholar] [CrossRef]
  19. Huang, R.; Duchateau, R.; Koning, C.E.; Chadwick, J.C. Zirconocene Immobilization and Activation on MgCl2-Based Supports:  Factors Affecting Ethylene Polymerization Activity. Macromolecules 2008, 41, 579–590. [Google Scholar] [CrossRef]
  20. Michelotti, M.; Altomare, A.; Ciardelli, F.; Roland, E. Zeolite supported polymerization catalysts: Copolymerization of ethylene and α-olefins with metallocenes supported on HY zeolite. J. Mol. Catal. Part A Chem. 1998, 129, 241–248. [Google Scholar] [CrossRef]
  21. Severn, J.R.; Chadwick, J.C.; Duchateau, R.; Friederichs, N. “Bound but not gagged” immobilizing single-site α-olefin polymerization catalysts. Chem. Rev. 2005, 105, 4073–4147. [Google Scholar] [CrossRef]
  22. Vaya, V.I.; Belelli, P.G.; Santos, J.H.Z.; Ferreia, M.L.; Damiani, D.E. Influence of acidic support in metallocene catalysts for ethylene polymerization. J. Catal. 2001, 2004, 1–10. [Google Scholar] [CrossRef]
  23. Zhang, Y.; Riduan, S.N. Functional porous organic polymers for heterogeneous catalysis. Chem. Soc. Rev. 2012, 41, 2083–2094. [Google Scholar] [CrossRef] [PubMed]
  24. Kaur, P.; Hupp, J.T.; Nguyen, S.T. Porous organic polymers in catalysis: Opportunities and challenges. ACS Catal. 2011, 1, 819–835. [Google Scholar] [CrossRef]
  25. Lei, J.; Li, D.; Wang, H.; Zhou, G. Porous polyethylene spheres with nanofiber structure from Ziegler-Natta catalyst supported on porous polymer particles. Polymer 2011, 52, 602–605. [Google Scholar]
  26. Hong, S.C.; Teranishi, T.; Soga, K. Investigation on the polymer particle growth in ethylene polymerization with PS beads supported rac-Ph2Si(Ind)2ZrCl2 catalyst. Polymer 1998, 39, 7153–7157. [Google Scholar] [CrossRef]
  27. Das, S.; Heasman, P.; Ben, T.; Qiu, S.-L. Porous Organic Materials: Strategic Design and Structure–Function Correlation. Chem. Rev. 2017, 117, 1515–1563. [Google Scholar] [CrossRef] [PubMed]
  28. Wang, X.; Li, Z.; Han, X.; Han, Z.; Bai, Y. Highly tunable porous organic polymer (POP) supports for metallocene-based ethylene polymerization. Appl. Surface Sci. 2017, 420, 496–503. [Google Scholar] [CrossRef]
  29. Rosco, S.B.; Frechet, J.M.; Walzer, J.F.; Dias, A.J. Polyolefin spheres from metallocenes supported on noninteracting polystyrene. Science 1998, 280, 270–273. [Google Scholar] [CrossRef]
  30. Nishida, H.; Uozumi, T.; Arai, T.; Soga, K. Polystyrene-supported metallocene catalysts for olefin polymerizations. Macromol. Rapid. Commun. 1995, 16, 821–830. [Google Scholar] [CrossRef]
  31. Wang, X.; Han, X.; Ren, F.; Xu, R.; Bai, Y. Porous organic polymers-supported metallocene catalysts for ethylene/1-hexene copolymerization. Catalysts 2018, 8, 146. [Google Scholar] [CrossRef]
  32. Wang, X.; Xu, R.; Zhu, B.; Li, Y.; Han, X. Metal oxide as a template in the preparation of porous poly (2-hydroxyethylmethylacrylate-co-divinylbenzene) particles as a metallocene catalyst support. RSC Adv. 2016, 6, 52464–52474. [Google Scholar] [CrossRef]
  33. Wang, X.; Xu, R.; Zhu, B.; Li, Y.; Ma, Y. Synthesis and characterization of functional porous organic polymers as efficient metallocene catalyst supports. New J. Chem. 2016, 40, 8324–8333. [Google Scholar] [CrossRef]
  34. Wang, X.; Zhang, C.-L.; Liu, W.-X.; Zhang, P.-S. Feasibility study on the design and synthesis of functional porous organic polymers with tunable pore structure as metallocene catalyst supports. Polymers 2018, 10, 944. [Google Scholar] [CrossRef] [PubMed]
  35. Chen, E.Y.-X.; Marks, T.J. Cocatalysts for Metal-Catalyzed Olefin Polymerization: Activators, Activation Processes, and Structure−Activity Relationships. Chem. Rev. 2000, 100, 1391–1434. [Google Scholar] [CrossRef]
Figure 1. Preparation of TiO2/POP particles.
Figure 1. Preparation of TiO2/POP particles.
Nanomaterials 11 00060 g001
Figure 2. (a) N2 isotherms, (b) non-local density functional theory (NLDFT) pore size distribution curves of the prepared TiO2/POPs.
Figure 2. (a) N2 isotherms, (b) non-local density functional theory (NLDFT) pore size distribution curves of the prepared TiO2/POPs.
Nanomaterials 11 00060 g002
Figure 3. IR spectra of the prepared TiO2/POP particles.
Figure 3. IR spectra of the prepared TiO2/POP particles.
Nanomaterials 11 00060 g003
Figure 4. Thermogravimetric analysis (TGA) curves of the prepared TiO2/POP particles.
Figure 4. Thermogravimetric analysis (TGA) curves of the prepared TiO2/POP particles.
Nanomaterials 11 00060 g004
Figure 5. Wide angle X-ray diffraction (XRD) spectra of the prepared TiO2/POP particles.
Figure 5. Wide angle X-ray diffraction (XRD) spectra of the prepared TiO2/POP particles.
Nanomaterials 11 00060 g005
Figure 6. Particle size distribution curves of the prepared TiO2/POP particles. (a) Particle size distribution curves of POP-1/POP-3/POP-7/POP-8. (b) Cumulative curves of POP-1/POP-3/POP-7/POP-8.
Figure 6. Particle size distribution curves of the prepared TiO2/POP particles. (a) Particle size distribution curves of POP-1/POP-3/POP-7/POP-8. (b) Cumulative curves of POP-1/POP-3/POP-7/POP-8.
Nanomaterials 11 00060 g006
Figure 7. SEM images of TiO2 and the prepared TiO2/POP particles. (a,b) TiO2 nanoparticles; (c,d) POP-6; (e,f) POP-7.
Figure 7. SEM images of TiO2 and the prepared TiO2/POP particles. (a,b) TiO2 nanoparticles; (c,d) POP-6; (e,f) POP-7.
Nanomaterials 11 00060 g007
Figure 8. (a) Kinetic curves of ethylene polymerization. 0.83 g Zr/MAO@Silica gel was evaluated at 80 °C in 10 bar ethylene pressure; 0.67 g Zr/MAO@SPOP-7 was evaluated at 80 °C in 6 bar ethylene pressure. (b) GPC curves of two mPEs from the two catalysts.
Figure 8. (a) Kinetic curves of ethylene polymerization. 0.83 g Zr/MAO@Silica gel was evaluated at 80 °C in 10 bar ethylene pressure; 0.67 g Zr/MAO@SPOP-7 was evaluated at 80 °C in 6 bar ethylene pressure. (b) GPC curves of two mPEs from the two catalysts.
Nanomaterials 11 00060 g008
Table 1. Pore structure from N2 sorption and bulk density results of nano TiO2/POP particles.
Table 1. Pore structure from N2 sorption and bulk density results of nano TiO2/POP particles.
EntryTiO2 Adding Amount/Total Monomer
wt%
DVB DVB:HEMA (Molar Ratio)Specific Surface Area
m2/g
Total Pore
Volume
cm3/g
Average Pore Diameter
nm
Bulk Density
g/cm3
POP-110%55%3:22240.3686.580.26
POP-220%55%3:21910.3677.710.26
POP-330%55%3:21980.3507.060.33
POP-450%55%3:22040.3126.120.35
POP-530%80%3:23090.3154.080.31
POP-637.5%55%3:11360.1504.410.25
POP-737.5%80%3:12790.2463.530.30
POP-8080%3:24240.4103.860.26
Table 2. The thermogravimetric analysis results of the prepared TiO2/POP particles.
Table 2. The thermogravimetric analysis results of the prepared TiO2/POP particles.
SampleTemperature ZoneWeight Loss, %TiO2 Content (Calculated), %
POP-120 °C–300 °C1.9413.8
20 °C–800 °C85.98
POP-220 °C–300 °C2.5124.0
20 °C–800 °C75.83
POP-320 °C–300 °C1.7227.9
20 °C–800 °C71.99
POP-420 °C ~300 °C1.8944.0
20 °C–800 °C55.88
POP-520 °C–300 °C1.6929.8
20 °C–800 °C70.08
POP-620 °C–300 °C1.8632.4
20 °C–800 °C67.44
POP-720 °C–300 °C1.4638.4
20 °C–800 °C61.48
POP-820 °C–300 °C1.410
20 °C–800 °C99.79
Table 3. Particle size distribution data of TiO2/POP particles from a Mastersizer 2000e.
Table 3. Particle size distribution data of TiO2/POP particles from a Mastersizer 2000e.
Sample ΔaDv(0.1)
μm
Dv(0.5)
μm
Dv(0.9)
μm
Mode Δb
μm
Span Δc
POP-110.831.060.734.91.61
POP-28.8928.356.233.11.67
POP-35.4118.838.622.01.77
POP-49.2117.635.317.21.48
POP-58.1024.352.226.71.82
POP-615.824.738.324.80.909
POP-716.924.134.224.10.717
POP-821.847.391.949.81.48
Δa Samples were directly detected in ethanol solvents with stirring dispersion for 150 s. Δb Mode represents the peak of the particle size distribution; Δc Span = [Dv(0.9) − Dv(0.1)]/Dv(0.5).
Table 4. Ethylene polymerization results (catalyst: (n-BuCp)2ZrCl2/MAO supported on nano TiO2-doped POP Particles e.
Table 4. Ethylene polymerization results (catalyst: (n-BuCp)2ZrCl2/MAO supported on nano TiO2-doped POP Particles e.
Cat.Zr
(μmol/g)
Al/Zr
Molar Ratio
Cat
(mg)
Yield
(g)
Activity
(kg PE/mol.Zr.bar. h)
Productivity
(g PE/g cat)
Bulk Density
(g/mL)
Zr/MAO@POP-1 42.0 114 130 44.9 4112 345 0.26
Zr/MAO@POP-4 43.5 112 135 37.4 3184 277 0.22
Zr/MAO@POP-6 43.2 117 165 55.3 3879 335 0.30
Zr/MAO@POP-7 40.6 123 140 54.5 4794 389 0.24
Zr/MAO@silica *a47.3 103 132 24.2 1940 183 0.36
e Slurry polymerization condition: 4 Bar ethylene pressure in 800 mL reactor of stainless steel, 300 mL hexane, 80 °C, 3 mL (10 wt% in hexane) TEAL (scavenger), polymerization time: 30 min. *a Silica gel-supported commercial metallocene catalyst.
Publisher’s Note: MDPI stays neutral with regard to jurisdictional claims in published maps and institutional affiliations.

Share and Cite

MDPI and ACS Style

Wang, X.; Kang, W.; Gao, L.; Li, G.; Chen, X.; Guo, Y. Highly Flowable Nano TiO2/Porous Organic Polymer (POP) Supports for Efficient Metallocene Catalysts. Nanomaterials 2021, 11, 60. https://doi.org/10.3390/nano11010060

AMA Style

Wang X, Kang W, Gao L, Li G, Chen X, Guo Y. Highly Flowable Nano TiO2/Porous Organic Polymer (POP) Supports for Efficient Metallocene Catalysts. Nanomaterials. 2021; 11(1):60. https://doi.org/10.3390/nano11010060

Chicago/Turabian Style

Wang, Xiong, Wenqian Kang, Lin Gao, Guangquan Li, Xuerong Chen, and Yi Guo. 2021. "Highly Flowable Nano TiO2/Porous Organic Polymer (POP) Supports for Efficient Metallocene Catalysts" Nanomaterials 11, no. 1: 60. https://doi.org/10.3390/nano11010060

APA Style

Wang, X., Kang, W., Gao, L., Li, G., Chen, X., & Guo, Y. (2021). Highly Flowable Nano TiO2/Porous Organic Polymer (POP) Supports for Efficient Metallocene Catalysts. Nanomaterials, 11(1), 60. https://doi.org/10.3390/nano11010060

Note that from the first issue of 2016, this journal uses article numbers instead of page numbers. See further details here.

Article Metrics

Back to TopTop