Conformation of Polyethylene Glycol inside Confined Space: Simulation and Experimental Approaches
Abstract
1. Introduction
2. Materials and Methods
2.1. Materials
2.2. Single Track-Etched Nanopore Fabrication and Functionalization
2.3. PEG Functionalization
2.4. Current-Voltage Measurements
2.5. Molecular Dynamic Simulation
2.6. Construction of the Functionalized Conical Nanopore
3. Results
3.1. Determination of the Surface Coverage
3.2. PEG Conformation Impact of Confinement
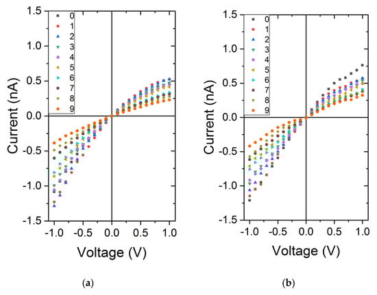
3.3. Impact PEG Grafting on the Ionic Current Rectification
3.4. Effect of Urea on PEG Conformation and Ionic Current Rectification
4. Conclusions
Supplementary Materials
Author Contributions
Funding
Data Availability Statement
Conflicts of Interest
References
- Wattendorf, U.; Merkle, H.P. PEGylation as a tool for the biomedical engineering of surface modified microparticles. J. Pharm. Sci. 2008, 97, 4655–4669. [Google Scholar] [CrossRef] [PubMed]
- Wang, X.; Cai, S.; Liu, T.; Ren, M.; Huang, K.; Zhang, R.; Zhao, H. Fabrication and corrosion resistance of calcium phosphate glass-ceramic coated Mg alloy via a PEG assisted sol–gel method. Ceram. Int. 2014, 40, 3389–3398. [Google Scholar] [CrossRef]
- Otsuka, H.; Nagasaki, Y.; Kataoka, K. Dynamic wettability study on the functionalized PEGylated layer on a polylactide surface constructed by the coating of aldehyde–ended poly(ethylene glycol) (PEG)/polylactide (PLA) block copolymer. Sci. Technol. Adv. Mater. 2000, 1, 21–29. [Google Scholar] [CrossRef]
- Veronese, F.M. Peptide and protein PEGylation. Biomaterials 2001, 22, 405–417. [Google Scholar] [CrossRef]
- Fedorenko, V.; Bechelany, M.; Janot, J.-M.; Smyntyna, V.; Balme, S. Large-scale protein/antibody patterning with limiting unspecific adsorption. J. Nanopart. Res. 2017, 19, 84. [Google Scholar] [CrossRef]
- Kovach, K.M.; Capadona, J.R.; Gupta, A.S.; Potkay, J.A. The effects of PEG-based surface modification of PDMS microchannels on long-term hemocompatibility. J. Biomed. Mater. Res. A 2014, 102, 4195–4205. [Google Scholar] [CrossRef]
- Chen, X.; Su, Y.; Shen, F.; Wan, Y. Antifouling ultrafiltration membranes made from PAN-b-PEG copolymers: Effect of copolymer composition and PEG chain length. J. Membr. Sci. 2011, 384, 44–51. [Google Scholar] [CrossRef]
- Voo, Z.X.; Khan, M.; Xu, Q.; Narayanan, K.; Ng, B.W.J.; Bte Ahmad, R.; Hedrick, J.L.; Yang, Y.Y. Antimicrobial coatings against biofilm formation: The unexpected balance between antifouling and bactericidal behavior. Polym. Chem. 2016, 7, 656–668. [Google Scholar] [CrossRef]
- Gudipati, C.S.; Finlay, J.A.; Callow, J.A.; Callow, M.E.; Wooley, K.L. The antifouling and fouling-release performance of hyperbranched fluoropolymer (HBFP)-poly(ethylene glycol) (PEG) composite coatings evaluated by adsorption of biomacromolecules and the green fouling alga Ulva. Langmuir 2005, 21, 3044–3053. [Google Scholar] [CrossRef]
- Chen, H.; Hu, X.; Zhang, Y.; Li, D.; Wu, Z.; Zhang, T. Effect of chain density and conformation on protein adsorption at PEG-grafted polyurethane surfaces. Colloids Surf. B Biointerfaces 2008, 61, 237–243. [Google Scholar] [CrossRef]
- Emilsson, G.; Schoch, R.L.; Feuz, L.; Höök, F.; Lim, R.Y.H.; Dahlin, A.B. Strongly stretched protein resistant poly(ethylene glycol) brushes prepared by grafting-to. ACS Appl. Mater. Interfaces 2015, 7, 7505–7515. [Google Scholar] [CrossRef] [PubMed]
- Hucknall, A.; Rangarajan, S.; Chilkoti, A. In Pursuit of Zero: Polymer Brushes that Resist the Adsorption of Proteins. Adv. Mater. 2009, 21, 2441–2446. [Google Scholar] [CrossRef]
- Sun, M.; Deng, J.; Tang, Z.; Wu, J.; Li, D.; Chen, H.; Gao, C. A correlation study of protein adsorption and cell behaviors on substrates with different densities of PEG chains. Colloids Surf. B Biointerfaces 2014, 122, 134–142. [Google Scholar] [CrossRef]
- Roman, J.; Jarroux, N.; Patriarche, G.; Français, O.; Pelta, J.; Le Pioufle, B.; Bacri, L. Functionalized Solid-State Nanopore Integrated in a Reusable Microfluidic Device for a Better Stability and Nanoparticle Detection. ACS Appl. Mater. Interfaces 2017, 9, 41634–41640. [Google Scholar] [CrossRef] [PubMed]
- Giamblanco, N.; Coglitore, D.; Janot, J.-M.; Coulon, P.E.; Charlot, B.; Balme, S. Detection of protein aggregate morphology through single antifouling nanopore. Sens. Actuators B 2018, 260, 736–745. [Google Scholar] [CrossRef]
- Giamblanco, N.; Janot, J.-M.; Gubbiotti, A.; Chinappi, M.; Balme, S. Characterization of Food Amyloid Protein Digestion by Conical Nanopore. Small Methods 2020, 9, 1900703. [Google Scholar] [CrossRef]
- Giamblanco, N.; Coglitore, D.; Gubbiotti, A.; Ma, T.; Balanzat, E.; Janot, J.-M.; Chinappi, M.; Balme, S. Amyloid Growth, Inhibition, and Real-Time Enzymatic Degradation Revealed with Single Conical Nanopore. Anal. Chem. 2018, 90, 12900–12908. [Google Scholar] [CrossRef]
- Giamblanco, N.; Fichou, Y.; Janot, J.-M.; Balanzat, E.; Han, S.; Balme, S. Mechanisms of Heparin-Induced Tau Aggregation Revealed by a Single Nanopore. ACS Sens. 2020, 5, 1158–1167. [Google Scholar] [CrossRef]
- Ma, T.; Walko, M.; Lepoitevin, M.; Janot, J.-M.; Balanzat, E.; Kocer, A.; Balme, S. Combining Light-Gated and pH-Responsive Nanopore Based on PEG-Spiropyran Functionalization. Adv. Mater. Interfaces 2018, 5, 1701051. [Google Scholar] [CrossRef]
- Lepoitevin, M.; Bechelany, M.; Balanzat, E.; Janot, J.-M.; Balme, S. Non-Fluorescence label protein sensing with track-etched nanopore decorated by avidin/biotin system. Electrochim. Acta 2016, 211, 611–618. [Google Scholar] [CrossRef]
- Zhao, Y.; Janot, J.-M.; Balanzat, E.; Balme, S. Mimicking pH-Gated Ionic Channels by Polyelectrolyte Complex Confinement Inside a Single Nanopore. Langmuir 2017, 33, 3484–3490. [Google Scholar] [CrossRef] [PubMed]
- Ma, T.; Balanzat, E.; Janot, J.-M.; Balme, S. Single conical track-etched nanopore for a free-label detection of OSCS contaminants in heparin. Biosens. Bioelectron. 2019, 137, 207–212. [Google Scholar] [CrossRef] [PubMed]
- Alem, H.; Duwez, A.-S.; Lussis, P.; Lipnik, P.; Jonas, A.M.; Demoustier-Champagne, S. Microstructure and thermo-responsive behavior of poly(N-isopropylacrylamide) brushes grafted in nanopores of track-etched membranes. J. Membr. Sci. 2008, 308, 75–86. [Google Scholar] [CrossRef]
- Nasir, S.; Ali, M.; Ensinger, W. Thermally controlled permeation of ionic molecules through synthetic nanopores functionalized with amine-terminated polymer brushes. Nanotechnology 2012, 23, 225502. [Google Scholar] [CrossRef]
- Kowalczyk, S.W.; Kapinos, L.; Blosser, T.R.; Magalhães, T.; van Nies, P.; Lim, R.Y.H.; Dekker, C. Single-molecule transport across an individual biomimetic nuclear pore complex. Nat. Nanotechnol. 2011, 6, 433–438. [Google Scholar] [CrossRef]
- Ananth, A.N.; Mishra, A.; Frey, S.; Dwarkasing, A.; Versloot, R.; van der Giessen, E.; Görlich, D.; Onck, P.; Dekker, C. Spatial structure of disordered proteins dictates conductance and selectivity in nuclear pore complex mimics. Elife 2018, 7. [Google Scholar] [CrossRef]
- Kipnusu, W.K.; Kossack, W.; Iacob, C.; Zeigermann, P.; Jasiurkowska, M.; Sangoro, J.R.; Valiullin, R.; Kremer, F. The interplay between inter- and intra-molecular dynamics in a series of alkylcitrates. Soft Matter 2013, 9, 4681. [Google Scholar] [CrossRef]
- Minecka, A.; Kaminska, E.; Tarnacka, M.; Talik, A.; Grudzka-Flak, I.; Wolnica, K.; Dulski, M.; Kaminski, K.; Paluch, M. Conformational changes underlying variation in the structural dynamics of materials confined at the nanometric scale. Chem. Phys. 2018, 20, 30200–30208. [Google Scholar] [CrossRef]
- Tripathi, A.K.; Verma, Y.L.; Singh, R.K. Thermal, electrical and structural studies on ionic liquid confined in ordered mesoporous MCM-41. J. Mater. Chem. A 2015, 3, 23809–23820. [Google Scholar] [CrossRef]
- Alexandris, S.; Papadopoulos, P.; Sakellariou, G.; Steinhart, M.; Butt, H.-J.; Floudas, G. Interfacial Energy and Glass Temperature of Polymers Confined to Nanoporous Alumina. Macromolecules 2016, 49, 7400–7414. [Google Scholar] [CrossRef]
- Talik, A.; Tarnacka, M.; Geppert-Rybczynska, M.; Minecka, A.; Kaminska, E.; Kaminski, K.; Paluch, M. Impact of the Interfacial Energy and Density Fluctuations on the Shift of the Glass-Transition Temperature of Liquids Confined in Pores. J. Phys. Chem. C 2019, 123, 5549–5556. [Google Scholar] [CrossRef]
- Roman, J.; Français, O.; Jarroux, N.; Patriarche, G.; Pelta, J.; Bacri, L.; Le Pioufle, B. Solid-State Nanopore Easy Chip Integration in a Cheap and Reusable Microfluidic Device for Ion Transport and Polymer Conformation Sensing. ACS Sens. 2018, 3, 2129–2137. [Google Scholar] [CrossRef] [PubMed]
- Peleg, O.; Tagliazucchi, M.; Kröger, M.; Rabin, Y.; Szleifer, I. Morphology control of hairy nanopores. ACS Nano 2011, 5, 4737–4747. [Google Scholar] [CrossRef]
- Lin, C.-Y.; Ma, T.; Siwy, Z.S.; Balme, S.; Hsu, J.-P. Tunable Current Rectification and Selectivity Demonstrated in Nanofluidic Diodes through Kinetic Functionalization. J. Phys. Chem. Lett. 2020, 11, 60–66. [Google Scholar] [CrossRef] [PubMed]
- Lepoitevin, M.; Ma, T.; Bechelany, M.; Janot, J.-M.; Balme, S. Functionalization of single solid state nanopores to mimic biological ion channels: A review. Adv. Colloid Interface Sci. 2017, 250, 195–213. [Google Scholar] [CrossRef]
- Yameen, B.; Ali, M.; Neumann, R.; Ensinger, W.; Knoll, W.; Azzaroni, O. Single conical nanopores displaying pH-tunable rectifying characteristics. manipulating ionic transport with zwitterionic polymer brushes. J. Am. Chem. Soc. 2009, 131, 2070–2071. [Google Scholar] [CrossRef]
- Lepoitevin, M.; Jamilloux, B.; Bechelany, M.; Balanzat, E.; Janot, J.-M.; Balme, S. Fast and reversible functionalization of a single nanopore based on layer-by-layer polyelectrolyte self-assembly for tuning current rectification and designing sensors. RSC Adv. 2016, 6, 32228–32233. [Google Scholar] [CrossRef]
- Phillips, J.C.; Braun, R.; Wang, W.; Gumbart, J.; Tajkhorshid, E.; Villa, E.; Chipot, C.; Skeel, R.D.; Kalé, L.; Schulten, K. Scalable molecular dynamics with NAMD. J. Comput. Chem. 2005, 26, 1781–1802. [Google Scholar] [CrossRef]
- Lee, J.; Cheng, X.; Swails, J.M.; Yeom, M.S.; Eastman, P.K.; Lemkul, J.A.; Wei, S.; Buckner, J.; Jeong, J.C.; Qi, Y.; et al. CHARMM-GUI Input Generator for NAMD, GROMACS, AMBER, OpenMM, and CHARMM/OpenMM Simulations Using the CHARMM36 Additive Force Field. Journal of Chemical Theory and Computation, 12(1), 405-413. J. Chem. Theory Comput. 2015, 12, 405–413. [Google Scholar] [CrossRef]
- Brooks, B.R.; Brooks, C.L., III; Mackerell, A.D., Jr.; Nilsson, L.; Petrella, R.J.; Roux, B.; Won, Y.; Archontis, G.; Bartels, C.; Boresch, S. CHARMM: The biomolecular simulation program. J.Comput. Chem. 2009, 30, 1545–1614. [Google Scholar] [CrossRef]














Publisher’s Note: MDPI stays neutral with regard to jurisdictional claims in published maps and institutional affiliations. |
© 2021 by the authors. Licensee MDPI, Basel, Switzerland. This article is an open access article distributed under the terms and conditions of the Creative Commons Attribution (CC BY) license (http://creativecommons.org/licenses/by/4.0/).
Share and Cite
Ma, T.; Arroyo, N.; Marc Janot, J.; Picaud, F.; Balme, S. Conformation of Polyethylene Glycol inside Confined Space: Simulation and Experimental Approaches. Nanomaterials 2021, 11, 244. https://doi.org/10.3390/nano11010244
Ma T, Arroyo N, Marc Janot J, Picaud F, Balme S. Conformation of Polyethylene Glycol inside Confined Space: Simulation and Experimental Approaches. Nanomaterials. 2021; 11(1):244. https://doi.org/10.3390/nano11010244
Chicago/Turabian StyleMa, Tianji, Nicolas Arroyo, Jean Marc Janot, Fabien Picaud, and Sebastien Balme. 2021. "Conformation of Polyethylene Glycol inside Confined Space: Simulation and Experimental Approaches" Nanomaterials 11, no. 1: 244. https://doi.org/10.3390/nano11010244
APA StyleMa, T., Arroyo, N., Marc Janot, J., Picaud, F., & Balme, S. (2021). Conformation of Polyethylene Glycol inside Confined Space: Simulation and Experimental Approaches. Nanomaterials, 11(1), 244. https://doi.org/10.3390/nano11010244

