Coating Effect on the 1H—NMR Relaxation Properties of Iron Oxide Magnetic Nanoparticles
Abstract
1. Introduction
2. Materials and Methods
2.1. Tuning the Coating of Maghemite Nanoparticles
2.1.1. Polyelectrolytes Serving as MNP Coatings
2.1.2. Fabrication Procedure of Magnetic Nanoparticles
2.2. Characterization Methods
Experimental Details
3. Results and Discussion
3.1. Nanoparticles Synthesis
3.2. Morphological Characterization
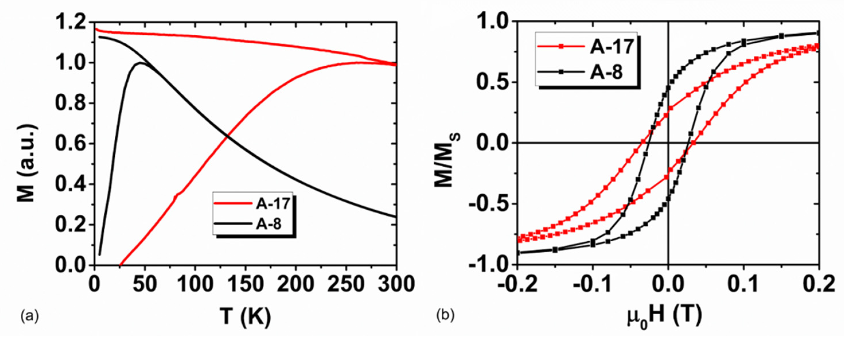
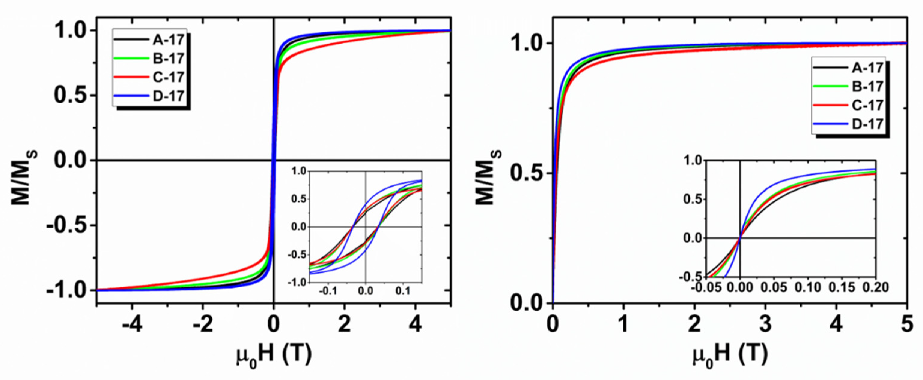
3.3. Magnetic Measurements
3.4. 1H NMR Relaxation
3.4.1. Experimental Data
17 nm MNPs (1st Series)
8 nm MNPs (2nd Series)
3.4.2. Analysis of NMR Results
4. Conclusions
Author Contributions
Funding
Acknowledgments
Conflicts of Interest
References
- Bremer, C.; Ntziachristos, V.; Weissleder, R. Optical-based molecular imaging: Contrast agents and potential medical applications. Eur. Radiol. 2003, 13, 231–243. [Google Scholar] [CrossRef] [PubMed]
- Britz-Cunningham, S.H.; James Adelstein, S. Molecular targeting with radionuclides: State of the science. J. Nucl. Med. 2003, 44, 1945–1961. [Google Scholar] [PubMed]
- Wu, D.; Huang, L.; Jiang, M.S.; Jiang, H. Contrast agents for photoacoustic and thermoacoustic imaging: A review. Int. J. Mol. Sci. 2014, 15, 23616–23693. [Google Scholar] [CrossRef] [PubMed]
- Gambhir, S.S. Molecular imaging of cancer with positron emission tomography. Nat. Rev. Cancer 2002, 2, 683–693. [Google Scholar] [CrossRef]
- Ring, E.F.J.; Ammer, K. Infrared thermal imaging in medicine. Physiol. Meas. 2012, 33, R33. [Google Scholar] [CrossRef]
- Mettler, F.; Guiberteau, M. Essentials of Nuclear Medicine Imaging; Elsevier Saunders: Philadelphia, PA, USA, 2012; ISBN 9781455701049. [Google Scholar]
- Chan, R.W.; Lau, J.Y.C.; Lam, W.W.; Lau, A.Z. Magnetic resonance imaging. In Encyclopedia of Biomedical Engineering; Elsevier Inc.: Amsterdam, The Netherlands, 2018; ISBN 9780128051443. [Google Scholar]
- Xiao, Y.D.; Paudel, R.; Liu, J.; Ma, C.; Zhang, Z.S.; Zhou, S.K. MRI contrast agents: Classification and application (Review). Int. J. Mol. Med. 2016, 38, 1319–1326. [Google Scholar] [CrossRef]
- Hao, D.; Ai, T.; Goerner, F.; Hu, X.; Runge, V.M.; Tweedle, M. MRI contrast agents: Basic chemistry and safety. J. Magn. Reson. Imaging 2012, 36, 1060–1071. [Google Scholar] [CrossRef]
- Na, H.B.; Hyeon, T. Nanostructured T1 MRI contrast agents. J. Mater. Chem. 2009, 19, 6267–6273. [Google Scholar] [CrossRef]
- Caravan, P.; Ellison, J.J.; McMurry, T.J.; Lauffer, R.B. Gadolinium(III) chelates as MRI contrast agents: Structure, dynamics, and applications. Chem. Rev. 1999, 99, 2293–2352. [Google Scholar] [CrossRef]
- Shokrollahi, H. Contrast agents for MRI. Mater. Sci. Eng. C 2013, 33, 4485–4497. [Google Scholar] [CrossRef]
- Taylor, P.M. Contrast agents. In Imaging and Technology in Urology: Principles and Clinical Applications; Springer: London, UK, 2012; ISBN 9781447124221. [Google Scholar]
- Na, H.B.; Song, I.C.; Hyeon, T. Inorganic nanoparticles for MRI contrast agents. Adv. Mater. 2009, 21, 2133–2148. [Google Scholar] [CrossRef]
- Merbach, A.; Helm, L.; Tóth, É. The Chemistry of Contrast Agents in Medical Magnetic Resonance Imaging, 2nd ed.; John Wiley & Sons: Chichester, UK, 2013; ISBN 9781119991762. [Google Scholar]
- Young, I.R.; Clarke, G.J.; Baffles, D.R.; Pennock, J.M.; Doyle, F.H.; Bydder, G.M. Enhancement of relaxation rate with paramagnetic contrast agents in NMR imaging. J. Comput. Tomogr. 1981, 5, 543–547. [Google Scholar] [CrossRef]
- Wang, Y.X.J. Current status of superparamagnetic iron oxide contrast agents for liver magnetic resonance imaging. World J. Gastroenterol. 2015, 21, 13400. [Google Scholar] [CrossRef] [PubMed]
- Bobo, D.; Robinson, K.J.; Islam, J.; Thurecht, K.J.; Corrie, S.R. Nanoparticle-Based Medicines: A Review of FDA-Approved Materials and Clinical Trials to Date. Pharm. Res. 2016, 33, 2373–2387. [Google Scholar] [CrossRef] [PubMed]
- Reimer, P.; Balzer, T. Ferucarbotran (Resovist): A new clinically approved RES-specific contrast agent for contrast-enhanced MRI of the liver: Properties, clinical development, and applications. Eur. Radiol. 2003, 13, 1266–1276. [Google Scholar] [CrossRef]
- González-Gómez, M.A.; Belderbos, S.; Yañez-Vilar, S.; Piñeiro, Y.; Cleeren, F.; Bormans, G.; Deroose, C.M.; Gsell, W.; Himmelreich, U.; Rivas, J. Development of superparamagnetic nanoparticles coated with polyacrylic acid and aluminum hydroxide as an efficient contrast agent for multimodal imaging. Nanomaterials 2019, 9, 1626. [Google Scholar] [CrossRef]
- Casula, M.F.; Floris, P.; Innocenti, C.; Lascialfari, A.; Marinone, M.; Corti, M.; Sperling, R.A.; Parak, W.J.; Sangregorio, C. Magnetic resonance imaging contrast agents based on iron oxide superparamagnetic ferrofluids. Chem. Mater. 2010, 22, 1739–1748. [Google Scholar] [CrossRef]
- Basini, M.; Guerrini, A.; Cobianchi, M.; Orsini, F.; Bettega, D.; Avolio, M.; Innocenti, C.; Sangregorio, C.; Lascialfari, A.; Arosio, P. Tailoring the magnetic core of organic-coated iron oxides nanoparticles to influence their contrast efficiency for Magnetic Resonance Imaging. J. Alloys Compd. 2019, 770, 58–66. [Google Scholar] [CrossRef]
- Orlando, T.; Albino, M.; Orsini, F.; Innocenti, C.; Basini, M.; Arosio, P.; Sangregorio, C.; Corti, M.; Lascialfari, A. On the magnetic anisotropy and nuclear relaxivity effects of Co and Ni doping in iron oxide nanoparticles. J. Appl. Phys. 2016, 119, 134301. [Google Scholar] [CrossRef]
- Johnson, N.J.J.; He, S.; Nguyen Huu, V.A.; Almutairi, A. Compact Micellization: A Strategy for Ultrahigh T1 Magnetic Resonance Contrast with Gadolinium-Based Nanocrystals. ACS Nano 2016, 10, 8299–8307. [Google Scholar] [CrossRef]
- Fresnais, J.; Ma, Q.Q.; Thai, L.; Porion, P.; Levitz, P.; Rollet, A.L. NMR relaxivity of coated and non-coated size-sorted maghemite nanoparticles. Mol. Phys. 2019, 117, 990–999. [Google Scholar] [CrossRef]
- Vangijzegem, T.; Stanicki, D.; Panepinto, A.; Socoliuc, V.; Vekas, L.; Muller, R.N.; Laurent, S. Influence of experimental parameters of a continuous flow process on the properties of very small iron oxide nanoparticles (VSION) designed for T1-weighted magnetic resonance imaging (MRI). Nanomaterials 2020, 10, 757. [Google Scholar] [CrossRef] [PubMed]
- Magro, M.; Vianello, F. Bare iron oxide nanoparticles: Surface tunability for biomedical, sensing and environmental applications. Nanomaterials 2019, 9, 1608. [Google Scholar] [CrossRef] [PubMed]
- Dutz, S.; Buske, N.; Landers, J.; Gräfe, C.; Wende, H.; Clement, J.H. Biocompatible magnetic fluids of co-doped iron oxide nanoparticles with tunable magnetic properties. Nanomaterials 2020, 10, 1019. [Google Scholar] [CrossRef] [PubMed]
- Murgulescu, I.; Ababei, G.; Stoian, G.; Danceanu, C.; Lupu, N.; Chiriac, H. Fe-Cr-Nb-B magnetic nanoparticles prepared by arc discharge for hyperthermia. J. Optoelectron. Adv. Mater. 2019, 21, 733–739. [Google Scholar]
- Ortega, D.; Pankhurst, Q.A. Magnetic hyperthermia. Nanoscience 2013, 1, e88. [Google Scholar] [CrossRef]
- Bonvin, D.; Arakcheeva, A.; Millán, A.; Piñol, R.; Hofmann, H.; Mionić Ebersold, M. Controlling structural and magnetic properties of IONPs by aqueous synthesis for improved hyperthermia. RSC Adv. 2017, 7, 13159–13170. [Google Scholar] [CrossRef]
- Linot, C.; Poly, J.; Boucard, J.; Pouliquen, D.; Nedellec, S.; Hulin, P.; Marec, N.; Arosio, P.; Lascialfari, A.; Guerrini, A.; et al. PEGylated Anionic Magnetofluorescent Nanoassemblies: Impact of Their Interface Structure on Magnetic Resonance Imaging Contrast and Cellular Uptake. ACS Appl. Mater. Interfaces 2017, 9, 14242–14257. [Google Scholar] [CrossRef]
- Faucon, A.; Maldiney, T.; Clément, O.; Hulin, P.; Nedellec, S.; Robard, M.; Gautier, N.; De Meulenaere, E.; Clays, K.; Orlando, T.; et al. Highly cohesive dual nanoassemblies for complementary multiscale bioimaging. J. Mater. Chem. B 2014, 2, 7747–7755. [Google Scholar] [CrossRef]
- Ménager, C.; Sandre, O.; Mangili, J.; Cabuil, V. Preparation and swelling of hydrophilic magnetic microgels. Polymer 2004, 45, 2475–2481. [Google Scholar] [CrossRef]
- Santoyo Salazar, J.; Perez, L.; De Abril, O.; Truong Phuoc, L.; Ihiawakrim, D.; Vazquez, M.; Greneche, J.M.; Begin-Colin, S.; Pourroy, G. Magnetic iron oxide nanoparticles in 10-40 nm range: Composition in terms of magnetite/maghemite ratio and effect on the magnetic properties. Chem. Mater. 2011, 23, 1379–1386. [Google Scholar] [CrossRef]
- Lefebure, S.; Dubois, E.; Cabuil, V.; Neveu, S.; Massart, R. Monodisperse magnetic nanoparticles: Preparation and dispersion in water and oils. J. Mater. Res. 1998, 13, 2975–2981. [Google Scholar] [CrossRef]
- Roch, A.; Muller, R.N.; Gillis, P. Theory of proton relaxation induced by superparamagnetic particles. J. Chem. Phys. 1999, 110, 5403–5411. [Google Scholar] [CrossRef]
- Umut, E. Surface Modification of Nanoparticles Used in Biomedical Applications. In Modern Surface Engineering Treatments; InTech: Rijeka, Croatia, 2013; pp. 185–208. [Google Scholar]








| Sample | dTEM nm |
|---|---|
| first series samples | 17.0 ± 2.5 |
| second series samples | 8.0 ± 0.4 |
| Sample | Frequency | r1 (s−1mM−1) | r2 (s−1mM−1) | r2/r1 |
|---|---|---|---|---|
| A-17 | 60 MHz | 12.4 (1.0) | 396.8 (31.7) | 32 |
| 15 MHz | 48.4 (3.9) | 396.8 (31.7) | 8.2 | |
| B-17 | 60 MHz | 11.3 (0.9) | 285.7 (22.8) | 25.3 |
| 15 MHz | 47.1 (3.8) | 314.9 (25.2) | 6.7 | |
| C-17 | 60 MHz | 10.9 (0.9) | 398.7 (31.9) | 36.6 |
| 15 MHz | 44.5 (3.6) | 365.5 (29.2) | 8.2 | |
| D-17 | 60 MHz | 12.6 (1.0) | 401.8 (32.1) | 31.9 |
| 15 MHz | 49.9 (4.0) | 381.7 (30.5) | 7.6 | |
| Endorem | 60 MHz | 12.3 (1.0) | 131.6 (10.5) | 10.7 |
| 15 MHz | 27.5 (2.2) | 138.9 (11.1) | 5 |
| Sample | Frequency | r1 (s−1mM−1) | r2 (s−1mM−1) | r2/r1 |
|---|---|---|---|---|
| A-8 | 60 MHz | 14.7 (1.2) | 121.0 (9.7) | 8.2 |
| 15.1 MHz | 42.5 (3.4) | 116.7 (9.3) | 2.7 | |
| B-8 | 60 MHz | 14.7 (1.2) | 123.7 (9.9) | 8.4 |
| 15.1 MHz | 45.1 (3.6) | 121.1 (9.7) | 2.7 | |
| C-8 | 60 MHz | 14.5 (1.2) | 123.1 (9.9) | 8.5 |
| 15.1 MHz | 43.6 (3.5) | 122.13 (9.8) | 2.8 | |
| D-8 | 60 MHz | 14.9 (1.2) | 126.7 (10.1) | 8.5 |
| 15.1 MHz | 46.2 (3.7) | 131.9 (10.6) | 2.9 | |
| Endorem | 60 MHz | 12.3 (1.0) | 131.6 (10.5) | 10.7 |
| 15 MHz | 27.5 (2.2) | 138.9 (11.1) | 5 |
© 2020 by the authors. Licensee MDPI, Basel, Switzerland. This article is an open access article distributed under the terms and conditions of the Creative Commons Attribution (CC BY) license (http://creativecommons.org/licenses/by/4.0/).
Share and Cite
Brero, F.; Basini, M.; Avolio, M.; Orsini, F.; Arosio, P.; Sangregorio, C.; Innocenti, C.; Guerrini, A.; Boucard, J.; Ishow, E.; et al. Coating Effect on the 1H—NMR Relaxation Properties of Iron Oxide Magnetic Nanoparticles. Nanomaterials 2020, 10, 1660. https://doi.org/10.3390/nano10091660
Brero F, Basini M, Avolio M, Orsini F, Arosio P, Sangregorio C, Innocenti C, Guerrini A, Boucard J, Ishow E, et al. Coating Effect on the 1H—NMR Relaxation Properties of Iron Oxide Magnetic Nanoparticles. Nanomaterials. 2020; 10(9):1660. https://doi.org/10.3390/nano10091660
Chicago/Turabian StyleBrero, Francesca, Martina Basini, Matteo Avolio, Francesco Orsini, Paolo Arosio, Claudio Sangregorio, Claudia Innocenti, Andrea Guerrini, Joanna Boucard, Eléna Ishow, and et al. 2020. "Coating Effect on the 1H—NMR Relaxation Properties of Iron Oxide Magnetic Nanoparticles" Nanomaterials 10, no. 9: 1660. https://doi.org/10.3390/nano10091660
APA StyleBrero, F., Basini, M., Avolio, M., Orsini, F., Arosio, P., Sangregorio, C., Innocenti, C., Guerrini, A., Boucard, J., Ishow, E., Lecouvey, M., Fresnais, J., Lartigue, L., & Lascialfari, A. (2020). Coating Effect on the 1H—NMR Relaxation Properties of Iron Oxide Magnetic Nanoparticles. Nanomaterials, 10(9), 1660. https://doi.org/10.3390/nano10091660

