Hydrogel Electrolytes Based on Xanthan Gum: Green Route towards Stable Dye-Sensitized Solar Cells
Abstract
1. Introduction
2. Materials and Methods
3. Results and Discussion
3.1. Aqueous Liquid vs. XG-Based Hydrogel Electrolytes
3.1.1. Electrolyte Characterization
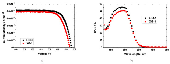
3.1.2. Photoelectrochemical and Stability Characterization
3.1.3. Toolbox Analyses
3.2. A Multivariate Investigation of XG-Based Hydrogel Electrolytes
3.2.1. Experimental Design
3.2.2. Efficiency vs. Experimental Factors
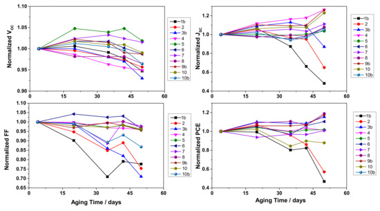
3.2.3. Stability vs. Experimental Factors
4. Conclusions
Supplementary Materials
Author Contributions
Funding
Conflicts of Interest
References
- Breyer, C.; Bogdanov, D.; Gulagi, A.; Aghahosseini, A.; Barbosa, L.S.N.S.; Koskinen, O.; Barasa, M.; Caldera, U.; Afanasyeva, S.; Child, M.; et al. On the role of solar photovoltaics in global energy transition scenarios. Prog. Photovolt. Res. Appl. 2017, 25, 727–745. [Google Scholar] [CrossRef]
- Litjens, G.B.M.A.; Kausika, B.B.; Worrell, E.; van Sark, W.G.J.H.M. A spatio-temporal city-scale assessment of residential photovoltaic power integration scenarios. Sol. Energy 2018, 174, 1185–1197. [Google Scholar] [CrossRef]
- Freitag, M.; Boschloo, G. The revival of dye-sensitized solar cells. Curr. Opin. Electrochem. 2017, 2, 111–119. [Google Scholar] [CrossRef]
- Yoon, S.; Tak, S.; Kim, J.; Jun, Y.; Kang, K.; Park, J. Application of transparent dye-sensitized solar cells to building integrated photovoltaic systems. Build. Environ. 2011, 46, 1899–1904. [Google Scholar] [CrossRef]
- De Rossi, F.; Pontecorvo, T.; Brown, T.M. Characterization of photovoltaic devices for indoor light harvesting and customization of flexible dye solar cells to deliver superior efficiency under artificial lighting. Appl. Energy 2015, 156, 413–422. [Google Scholar] [CrossRef]
- Wu, T.-C.; Long, Y.-S.; Hsu, S.-T.; Wang, E.-Y. Efficiency Rating of Various PV Technologies under Different Indoor Lighting Conditions. Energy Procedia 2017, 130, 66–71. [Google Scholar] [CrossRef]
- Freitag, M.; Teuscher, J.; Saygili, Y.; Zhang, X.; Giordano, F.; Liska, P.; Hua, J.; Zakeeruddin, S.M.; Moser, J.-E.; Grätzel, M.; et al. Dye-sensitized solar cells for efficient power generation under ambient lighting. Nat. Phot. 2017, 11, 372–378. [Google Scholar] [CrossRef]
- Mozaffari, S.; Nateghi, M.R.; Zarandi, M.B. An overview of the Challenges in the commercialization of dye sensitized solar cells. Renew. Sustain. Energy Rev. 2017, 71, 675–686. [Google Scholar] [CrossRef]
- Mastroianni, S.; Asghar, I.; Miettunen, K.; Halme, J.; Lanuti, A.; Brown, T.M.; Lund, P. Effect of electrolyte bleaching on the stability and performance of dye solar cells. Phys. Chem. Chem. Phys. 2014, 16, 6092–6100. [Google Scholar] [CrossRef]
- Harikisun, R.; Desilvestro, H. Long-term stability of dye solar cells. Sol. Energy 2011, 85, 1179–1188. [Google Scholar] [CrossRef]
- Jhong, H.R.; Wong, D.S.H.; Wan, C.C.; Wang, Y.Y.; Wei, T.C. A novel deep eutectic solvent-based ionic liquid used as electrolyte for dye-sensitized solar cells. Electrochem. Commun. 2009, 11, 209–211. [Google Scholar] [CrossRef]
- Gondane, V.; Bhargava, P. Acetylacetone: A promising electrolyte solvent for dye sensitized solar cells. RSC Adv. 2016, 6, 37167–37172. [Google Scholar] [CrossRef]
- Boldrini, C.L.; Manfredi, N.; Perna, F.M.; Trifiletti, V.; Capriati, V.; Abbotto, A. Dye-Sensitized Solar Cells that use an Aqueous Choline Chloride-Based Deep Eutectic Solvent as Effective Electrolyte Solution. Energy Technol. 2017, 5, 345–353. [Google Scholar] [CrossRef]
- Zhang, L.; Boschloo, G.; Hammarström, L.; Tian, H. Solid state p-type dye-sensitized solar cells: Concept, experiment and mechanism. Phys. Chem. Chem. Phys. 2016, 18, 5080–5085. [Google Scholar] [CrossRef] [PubMed]
- Bella, F.; Gerbaldi, C.; Barolo, C.; Grätzel, M. Aqueous dye-sensitized solar cells. Chem. Soc. Rev. 2015, 44, 3431–3473. [Google Scholar] [CrossRef] [PubMed]
- Li, C.T.; Lin, R.Y.Y.; Lin, J.T. Sensitizers for aqueous-based solar cells. Chem. An. Asian J. 2017, 12, 486–496. [Google Scholar] [CrossRef]
- Li, X.; Li, S.; Gao, G.; Wu, D.; Lan, J.; Wang, R.; You, J. High-Performance Ruthenium Sensitizers Containing Imidazolium Counterions for Efficient Dye Sensitization in Water. ChemSusChem 2017, 10, 2914–2921. [Google Scholar] [CrossRef]
- Shahroosvand, H.; Heydari, L.; Tarighi, S.; Riahi, M.; Bideh, B.N.; Pashaei, B. Aqueous dye-sensitized solar cell based on new ruthenium diphenyl carbazide complexes. Int. J. Hydrogen Energy 2017, 42, 16421–16427. [Google Scholar] [CrossRef]
- Galliano, S.; Bella, F.; Piana, G.; Giacona, G.; Viscardi, G.; Gerbaldi, C.; Grätzel, M.; Barolo, C. Finely tuning electrolytes and photoanodes in aqueous solar cells by experimental design. Sol. Energy 2018, 163, 251–255. [Google Scholar] [CrossRef]
- Lin, R.Y.-Y.; Wu, F.-L.; Li, C.-T.; Chen, P.-Y.; Ho, K.-C.; Lin, J.T. High-Performance Aqueous/Organic Dye-Sensitized Solar Cells Based on Sensitizers Containing Triethylene Oxide Methyl Ether. ChemSusChem 2015, 8, 2503–2513. [Google Scholar] [CrossRef]
- Ellis, H.; Jiang, R.; Ye, S.; Hagfeldt, A.; Boschloo, G. Development of high efficiency 100% aqueous cobalt electrolyte dye-sensitised solar cells. Phys. Chem. Chem. Phys. 2016, 18, 8419–8427. [Google Scholar] [CrossRef] [PubMed]
- Bella, F.; Porcarelli, L.; Mantione, D.; Gerbaldi, C.; Barolo, C.; Grätzel, M.; Mecerreyes, D. A water-based and metal-free dye solar cell exceeding 7% efficiency using a cationic poly(3,4-ethylenedioxythiophene) derivative. Chem. Sci. 2020, 11, 1485–1493. [Google Scholar] [CrossRef]
- Farhana, N.K.; Ramesh, S.; Ramesh, K. Efficiency enhancement of dye-sensitized solar cell based gel polymer electrolytes using Poly(vinyl butyral-co-vinyl alcohol-co-vinyl acetate)/tetrapropylammonium iodide. Mater. Sci. Semicond. Process. 2019, 91, 414–421. [Google Scholar] [CrossRef]
- Chalkias, D.A.; Giannopoulos, D.I.; Kollia, E.; Petala, A.; Kostopoulos, V.; Papanicolaou, G.C. Preparation of polyvinylpyrrolidone-based polymer electrolytes and their application by in-situ gelation in dye-sensitized solar cells. Electrochim. Acta 2018, 271, 632–640. [Google Scholar] [CrossRef]
- Bantang, J.P.; Camacho, D. Gelling polysaccharide as the electrolyte matrix in a dye-sensitized solar cell. Mater. Tehnol. 2017, 51, 823–829. [Google Scholar] [CrossRef]
- Sonigara, K.K.; Vaghasiya, J.V.; Machhi, H.K.; Prasad, J.; Gibaud, A.; Soni, S.S. Anisotropic One-Dimensional Aqueous Polymer Gel Electrolyte for Photoelectrochemical Devices: Improvement in Hydrophobic “2-Dye/Electrolyte Interface. ACS Appl. Energy Mater. 2018, 1, 3665–3673. [Google Scholar] [CrossRef]
- Sonigara, K.K.; Machhi, H.K.; Vaghasiya, J.V.; Gibaud, A.; Tan, S.C.; Soni, S.S. A Smart Flexible Solid State Photovoltaic Device with Interfacial Cooling Recovery Feature through Thermoreversible Polymer Gel Electrolyte. Small 2018, 14, 1800842. [Google Scholar] [CrossRef]
- Zhang, S.; Dong, G.Y.; Lin, B.; Qu, J.; Yuan, N.Y.; Ding, J.N.; Gu, Z. Performance enhancement of aqueous dye-sensitized solar cells via introduction of a quasi-solid-state electrolyte with an inverse opal structure. Sol. Energy 2016, 127, 19–27. [Google Scholar] [CrossRef]
- Xiang, W.; Chen, D.; Caruso, R.A.; Cheng, Y.B.; Bach, U.; Spiccia, L. The effect of the scattering layer in dye-sensitized solar cells employing a cobalt-based aqueous gel electrolyte. ChemSusChem 2015, 8, 3704–3711. [Google Scholar] [CrossRef]
- Nei de Freitas, J.; Nogueira, A.F.; De Paoli, M.-A. New insights into dye-sensitized solar cells with polymer electrolytes. J. Mater. Chem. 2009, 19, 5279–5294. [Google Scholar] [CrossRef]
- Yun, S.; Nei de Freitas, J.; Nogueira, A.F.; Wang, Y.; Ahmad, S.; Wang, Z. Dye-senstitized solar cells emplying polymers. Prog. Polym. Sci. 2016, 59, 1–40. [Google Scholar] [CrossRef]
- Wu, J.; Lan, Z.; Lin, J.; Huang, M.; Huang, Y.; Fan, L.; Luo, G. Electrolytes in Dye-Sensitized Solar Cells. Chem. Rev. 2015, 115, 2136–2173. [Google Scholar] [CrossRef] [PubMed]
- Cheng, T.; Zhang, Y.-Z.; Yi, J.-P.; Yang, L.; Zhang, J.-D.; Lai, W.-Y.; Huang, W. Inkjet-printed flexible, transparent and aesthetic energy storage devices based on PEDOT:PSS/Ag grid electrodes. J. Mater. Chem. A 2016, 4, 13754–13763. [Google Scholar] [CrossRef]
- Bella, F.; Galliano, S.; Falco, M.; Viscardi, G.; Barolo, C.; Grätzel, M.; Gerbaldi, C. Approaching truly sustainable solar cells by the use of water and cellulose derivatives. Green Chem. 2017, 19, 1043–1051. [Google Scholar] [CrossRef]
- Yogananda, K.C.; Ramasamy, E.; Kumar, S.; Vasantha Kumar, S.; Navya Rani, M.; Rangappa, D. Novel Rice Starch based aqueous gel electrolyte for Dye Sensitized Solar Cell Application. Mater. Today Proc. 2017, 4, 12238–12244. [Google Scholar] [CrossRef]
- Singh, R.; Singh, P.K.; Tomar, S.K.; Bhattacharya, B. Synthesis, characterization, and dye-sensitized solar cell fabrication using solid biopolymer electrolyte membranes. High. Perform. Polym. 2016, 28, 47–54. [Google Scholar] [CrossRef]
- Nagaraj, P.; Sasidharan, A.; David, V.; Sambandam, A. Effect of Cross-Linking on the Performances of Starch-Based Biopolymer as Gel Electrolyte for Dye-Sensitized Solar Cell Applications. Polymers 2017, 9, 667. [Google Scholar] [CrossRef]
- Raphael, E.; Jara, D.H.; Schiavon, M.A. Optimizing photovoltaic performance in CuInS 2 and CdS quantum dot-sensitized solar cells by using an agar-based gel polymer electrolyte. RSC Adv. 2017, 7, 6492–6500. [Google Scholar] [CrossRef]
- Mariotti, N.; Bonomo, M.; Barolo, C. Emerging photovoltaic technologies and eco-design-Criticisms and potential improvements. In Criticisms and Potential Improvements, Reliability and Ecological Aspects of Photovoltaic Modules; Gok, A., Ed.; IntechOpen: London, UK, 2020. [Google Scholar]
- Mohammadnezhad, M.; Selopal, G.S.; Alsayyari, N.; Akilimali, R.; Navarro-Pardo, F.; Wang, Z.M.; Stansfield, B.; Zhao, H.; Rosei, F. CuS/graphene nanocomposite as a transparent conducting oxide and pt-free counter electrode for dye-sensitized solar cells. J. Electrochem. Soc. 2019, 166, H3065–H3073. [Google Scholar] [CrossRef]
- Mohammadnezhad, M.; Liu, M.; Selopal, G.S.; Navarro-Pardo, F.; Wang, Z.M.; Stansfield, B.; Zhao, H.; Lai, C.Y.; Radu, D.R.; Rosei, F. Synthesis of highly efficient Cu2ZnSnSxSe4−x (CZTSSe) nanosheet electrocatalyst for dye-sensitized solar cells. Electrochim. Acta 2020, 340, 135954. [Google Scholar] [CrossRef]
- Mariotti, N.; Bonomo, M.; Fagiolari, L.; Barbero, N.; Gerbaldi, C.; Bella, F.; Barolo, C. Recent advances in cost-effective and eco-friendly materials towards sustainable Dye-sensitized solar cells. Green Chem. 2020. Accepted Manuscript. [Google Scholar] [CrossRef]
- García-Ochoa, F.; Santos, V.; Casas, J.; Gómez, E. Xanthan gum: Production, recovery, and properties. Biotechnol. Adv. 2000, 18, 549–579. [Google Scholar] [CrossRef]
- Larson, R.G.; Wei, Y. A review of thixotropy and its rheological modeling. J. Rheol. 2019, 63, 477–501. [Google Scholar] [CrossRef]
- Kim, J.Y.; Kim, T.H.; Kim, D.Y.; Park, N.G.; Ahn, K.D. Novel thixotropic gel electrolytes based on dicationic bis-imidazolium salts for quasi-solid-state dye-sensitized solar cells. J. Power Sources 2008, 175, 692–697. [Google Scholar] [CrossRef]
- Park, S.J.; Yoo, K.; Kim, J.-Y.; Kim, J.Y.; Lee, D.-K.; Kim, B.; Kim, H.; Kim, J.H.; Cho, J.; Ko, M.J. Water-Based Thixotropic Polymer Gel Electrolyte for Dye-Sensitized Solar Cells. ACS Nano 2013, 7, 4050–4056. [Google Scholar] [CrossRef]
- Bella, F.; Galliano, S.; Piana, G.; Giacona, G.; Viscardi, G.; Grätzel, M.; Barolo, C.; Gerbaldi, C. Boosting the efficiency of aqueous solar cells: A photoelectrochemical estimation on the effectiveness of TiCl4 treatment. Electrochim. Acta 2019, 302, 31–37. [Google Scholar] [CrossRef]
- Reece, J.E.; Deming, S.N.; Morgan, S.L. Experimental Design: A Chemometric Approach. Am. Stat. 2006, 48, 172. [Google Scholar] [CrossRef]
- Gianotti, V.; Favaro, G.; Bonandini, L.; Palin, L.; Croce, G.; Boccaleri, E.; Artuso, E.; Van Beek, W.; Barolo, C.; Milanesio, M. Rationalization of dye uptake on titania slides for dye-sensitized solar cells by a combined chemometric and structural approach. ChemSusChem 2014, 7, 3039–3052. [Google Scholar] [CrossRef]
- Bella, F.; Pugliese, D.; Nair, J.R.; Sacco, A.; Bianco, S.; Gerbaldi, C.; Barolo, C.; Bongiovanni, R. A UV-crosslinked polymer electrolyte membrane for quasi-solid dye-sensitized solar cells with excellent efficiency and durability. Phys. Chem. Chem. Phys. 2013, 3706–3711. [Google Scholar] [CrossRef]
- Zistler, M.; Schreiner, C.; Wachter, P.; Wasserscheid, P.; Gerhard, D.; Gores, H.J. Electrochemical characterization of 1-ethyl-3-methylimidazolium thiocyanate and measurement of triiodide diffusion coefficients in blends of two ionic liquids. Int. J. Electrochem. Sci. 2008, 3, 236–245. [Google Scholar]
- Feldt, S.M.; Gibson, E.A.; Gabrielsson, E.; Sun, L.; Boschloo, G.; Hagfeldt, A. Design of organic dyes and cobalt polypyridine redox mediators for high-efficiency dye-sensitized solar cells. J. Am. Chem. Soc. 2010, 132, 16714–16724. [Google Scholar] [CrossRef] [PubMed]
- Jiang, R.; Boschloo, G. The impact of non-uniform photogeneration on mass transport in dye-sensitised solar cells. J. Mater. Chem. A 2018, 6, 10264–10276. [Google Scholar] [CrossRef]
- Boschloo, G.; Häggman, L.; Hagfeldt, A. Quantification of the effect of 4-tert-butylpyridine addition to I-/I3-redox electrolytes in dye-sensitized nanostructured TiO2 solar cells. J. Phys. Chem. B 2006, 110, 13144–13150. [Google Scholar] [CrossRef] [PubMed]
- Hagfeldt, A.; Boschloo, G.; Sun, L.; Kloo, L.; Pettersson, H. Dye-Sensitized Solar Cells. Chem. Rev. 2010, 110, 6595–6663. [Google Scholar] [CrossRef] [PubMed]
- Boschloo, G.; Hagfeldt, A. Characteristics of the iodide/triiodide redox mediator in dye-sensitized solar cells. Acc. Chem. Res. 2009, 42, 1819–1826. [Google Scholar] [CrossRef] [PubMed]
- Zistler, M.; Wachter, P.; Wasserscheid, P.; Gerhard, D.; Hinsch, A.; Sastrawan, R.; Gores, H.J. Comparison of electrochemical methods for triiodide diffusion coefficient measurements and observation of non-Stokesian diffusion behaviour in binary mixtures of two ionic liquids. Electrochim. Acta 2006, 52, 161–169. [Google Scholar] [CrossRef]
- Galliano, S.; Bella, F.; Gerbaldi, C.; Falco, M.; Viscardi, G.; Grätzel, M.; Barolo, C. Photoanode/Electrolyte Interface Stability in Aqueous Dye-Sensitized Solar Cells. Energy Technol. 2017, 5, 300–311. [Google Scholar] [CrossRef]
- Macht, B.; Turrión, M.; Barkschat, A.; Salvador, P.; Ellmer, K.; Tributsch, H. Patterns of efficiency and degradation in dye sensitization solar cells measured with imaging techniques. Sol. Energy Mater. Sol. Cells 2002, 73, 163–173. [Google Scholar] [CrossRef]
- Pillar, E.A.; Guzman, M.I.; Rodriguez, J.M. Conversion of iodide to hypoiodous acid and iodine in aqueous microdroplets exposed to ozone. Environ. Sci. Technol. 2013, 47, 10971–10979. [Google Scholar] [CrossRef]
- Richards, C.E.; Anderson, A.Y.; Martiniani, S.; Law, C.; O’Regan, B.C. The mechanism of iodine reduction by TiO2 electrons and the kinetics of recombination in dye-sensitized solar cells. J. Phys. Chem. Lett. 2012, 3, 1980–1984. [Google Scholar] [CrossRef]
- Fabregat-Santiago, F.; Garcia-Belmonte, G.; Bisquert, J.; Bogdanoff, P.; Zaban, A. Mott-Schottky Analysis of Nanoporous Semiconductor Electrodes in Dielectric State Deposited on SnO2 (F) Conducting Substrates. J. Electrochem. Soc. 2003, 150, E293. [Google Scholar] [CrossRef]
- Beranek, R. (Photo)electrochemical methods for the determination of the band edge positions of TiO 2-based nanomaterials. Adv. Phys. Chem. 2011, 2011. [Google Scholar] [CrossRef]
- Moia, D.; Szumska, A.; Vaissier, V.; Planells, M.; Robertson, N.; O’Regan, B.C.; Nelson, J.; Barnes, P.R.F. Interdye Hole Transport Accelerates Recombination in Dye Sensitized Mesoporous Films. J. Am. Chem. Soc. 2016, 138, 13197–13206. [Google Scholar] [CrossRef] [PubMed]
- Leandri, V.; Ellis, H.; Gabrielsson, E.; Sun, L.; Boschloo, G.; Hagfeldt, A. An organic hydrophilic dye for water-based dye-sensitized solar cells. Phys. Chem. Chem. Phys. 2014, 16, 19964–19971. [Google Scholar] [CrossRef]
- Modde 11 Software; Umetrics: Umeå, Sweden, 2015; Available online: https://umetrics.com/kb/modde-11 (accessed on 12 August 2020).
- Pazoki, M.; Lohse, P.W.; Taghavinia, N.; Hagfeldt, A.; Boschloo, G. The effect of dye coverage on the performance of dye-sensitized solar cells with a cobalt-based electrolyte. Phys. Chem. Chem. Phys. 2014, 16, 8503–8508. [Google Scholar] [CrossRef]
- Yang, W.; Pazoki, M.; Eriksson, A.I.K.; Hao, Y.; Boschloo, G. A key discovery at the TiO2/dye/electrolyte interface: Slow local charge compensation and a reversible electric field. Phys. Chem. Chem. Phys. 2015, 17, 16744–16751. [Google Scholar] [CrossRef]
- Shi, Y.; Wang, Y.; Zhang, M.; Dong, X. Influences of cation charge density on the photovoltaic performance of dye-sensitized solar cells: Lithium, sodium, potassium, and dimethylimidazolium. Phys. Chem. Chem. Phys. 2011, 13, 14590–14597. [Google Scholar] [CrossRef]










| Electrolyte | VOC (mV) | JSC (mA cm−2) | FF (%) | PCE (%) |
|---|---|---|---|---|
| LIQ-1 | 665 | 5.14 | 71.5 | 2.44 |
| XG-1 | 638 | 4.95 | 71.3 | 2.23 |
| Cell Name | I2 (x1, mM) | NaI (x2, M) | CDCA:Dye Ratio (x3) | Voc (mV) | Jsc (mA cm−2) | FF (%) | PCE (%) |
|---|---|---|---|---|---|---|---|
| 1b | 10 | 1 | 18 | 681 | 3.49 | 71.2 | 1.69 |
| 2 | 10 | 1 | 50 | 668 | 3.65 | 70.6 | 1.72 |
| 3b | 30 | 1 | 18 | 658 | 4.37 | 71.1 | 2.05 |
| 4 | 30 | 1 | 50 | 660 | 4.32 | 70.5 | 2.01 |
| 5 | 10 | 5 | 18 | 587 | 4.00 | 67.0 | 1.57 |
| 6 | 10 | 5 | 50 | 634 | 5.18 | 64.8 | 2.13 |
| 7 | 30 | 5 | 18 | 586 | 4.81 | 68.5 | 1.93 |
| 8 | 30 | 5 | 50 | 647 | 5.56 | 70.8 | 2.55 |
| 9b | 20 | 3 | 34 | 631 | 5.22 | 70.1 | 2.31 |
| 10 | 20 | 3 | 34 | 634 | 5.13 | 69.8 | 2.27 |
| 11 | 20 | 3 | 34 | 642 | 4.78 | 68 | 2.09 |
© 2020 by the authors. Licensee MDPI, Basel, Switzerland. This article is an open access article distributed under the terms and conditions of the Creative Commons Attribution (CC BY) license (http://creativecommons.org/licenses/by/4.0/).
Share and Cite
Galliano, S.; Bella, F.; Bonomo, M.; Viscardi, G.; Gerbaldi, C.; Boschloo, G.; Barolo, C. Hydrogel Electrolytes Based on Xanthan Gum: Green Route towards Stable Dye-Sensitized Solar Cells. Nanomaterials 2020, 10, 1585. https://doi.org/10.3390/nano10081585
Galliano S, Bella F, Bonomo M, Viscardi G, Gerbaldi C, Boschloo G, Barolo C. Hydrogel Electrolytes Based on Xanthan Gum: Green Route towards Stable Dye-Sensitized Solar Cells. Nanomaterials. 2020; 10(8):1585. https://doi.org/10.3390/nano10081585
Chicago/Turabian StyleGalliano, Simone, Federico Bella, Matteo Bonomo, Guido Viscardi, Claudio Gerbaldi, Gerrit Boschloo, and Claudia Barolo. 2020. "Hydrogel Electrolytes Based on Xanthan Gum: Green Route towards Stable Dye-Sensitized Solar Cells" Nanomaterials 10, no. 8: 1585. https://doi.org/10.3390/nano10081585
APA StyleGalliano, S., Bella, F., Bonomo, M., Viscardi, G., Gerbaldi, C., Boschloo, G., & Barolo, C. (2020). Hydrogel Electrolytes Based on Xanthan Gum: Green Route towards Stable Dye-Sensitized Solar Cells. Nanomaterials, 10(8), 1585. https://doi.org/10.3390/nano10081585

