Gas Sensing Performance and Mechanism of CuO(p)-WO3(n) Composites to H2S Gas
Abstract
1. Introduction
2. Experimental Scheme
2.1. Synthesis
2.2. Characterization
2.3. Preparation and Measurement
3. Results and Discussions
3.1. Morphological and Structural Characteristics
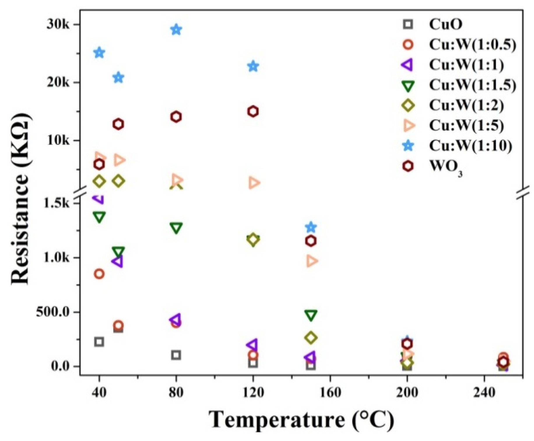
3.2. Sensing Performances Analysis
3.3. Sensing Mechanism
4. Conclusions
Author Contributions
Funding
Conflicts of Interest
Appendix A


| Materials | Concentration (ppm) | Temperature | Response | Response Def. (S=) | Reference |
|---|---|---|---|---|---|
| CuO-functionalized WO3 nanowires | 100 | 300 °C | ~673% | Ra/Rg × 100(%) | [16] |
| Cr-doped WO3 Microspheres | 1000 | 80 °C | 153.55 | Ra/Rg | [41] |
| Polypyrrole/WO3 | 1000 | 90 °C | 60.609 | Vg/Va | [42] |
| Flower-like WO3/CuO | 5 | 28 °C | 16 | Ra/Rg | [43] |
| Ru-functionalized WO3 nanorods | 10 | 350 °C | 192 | Ra/Rg | [44] |
| CuO-functionalized WO3 nanocubes | 20 | 40 °C | 1.19 × 105 | Ra/Rg | This work |
References
- Liu, X.; Cheng, S.T.; Liu, H.; Hu, S.; Zhang, D.Q.; Ning, H.S. A survey on gas sensing technology. Sensors 2012, 12, 9635–9665. [Google Scholar] [CrossRef] [PubMed]
- Rydosz, A.; Szkudlarek, A.; Ziabka, M.; Domanski, K.; Maziarz, W.; Pisarkiewicz, T. Performance of Si-Doped WO3 Thin Films for Acetone Sensing Prepared by Glancing Angle DC Magnetron Sputtering. IEE Sens. J. 2016, 16, 1004–1012. [Google Scholar] [CrossRef]
- Tomer, V.K.; Singh, K.; Kaur, H.; Shorie, M.; Sabherwal, P. Rapid acetone detection using indium loaded WO3/SnO2 nanohybrid sensor. Sens. Actuators B Chem. 2017, 253, 703–713. [Google Scholar] [CrossRef]
- Law, M.; Kind, H.; Messer, B.; Kim, F.; Yang, P. Photochemical sensing of NO2 with SnO2 nanoribbon nanosensors at room temperature. Angew. Chem. Int. Ed. 2002, 41, 2405–2408. [Google Scholar] [CrossRef]
- Niu, S.; Hu, Y.; Wen, X.; Zhou, Y.; Zhang, F.; Lin, L.; Wang, S.; Wang, Z.L. Enhanced performance of flexible ZnO nanowire based room-temperature oxygen sensors by piezotronic effect. Adv. Mater. 2013, 25, 3701–3706. [Google Scholar] [CrossRef] [PubMed]
- Faleh, R.; Gomri, S.; Othman, M.; Aguir, K.; Kachouri, A. Enhancing WO3 gas sensor selectivity using a set of pollutant detection classifiers. Sens. Rev. 2018, 38, 65–73. [Google Scholar] [CrossRef]
- Fan, Y.; Xi, X.; Liu, Y.; Nie, Z.; Zhang, Q.; Zhao, L. Growth mechanism of immobilized WO3 nanostructures in different solvents and their visible-light photocatalytic performance. J. Phys. Chem. Solids 2020, 140, 109380. [Google Scholar] [CrossRef]
- Merdrignac-Conanec, O.; Moseley, P.T. Gas sensing properties of the mixed molybdenum tungsten oxide, W0.9Mo0.1O3. J. Mater. Chem. 2002, 12, 1779–1781. [Google Scholar] [CrossRef]
- Ponzoni, A.; Comini, E.; Sberveglieri, G.; Zhou, J.; Deng, S.Z.; Xu, N.S.; Ding, Y.; Wang, Z.L. Ultrasensitive and highly selective gas sensors using three-dimensional tungsten oxide nanowire networks. Appl. Phys. Lett. 2006, 88, 203101–203103. [Google Scholar] [CrossRef]
- Rout, C.S.; Govindaraj, A.; Rao, C.N.R. High-sensitivity hydrocarbon sensors based on tungsten oxide nanowires. J. Mater. Chem. 2006, 16, 3936–3941. [Google Scholar] [CrossRef]
- Cao, B.; Chen, J.; Tang, X.; Zhou, W. Growth of monoclinic WO3 nanowire array for highly sensitive NO2 detection. J. Mater. Chem. 2009, 19, 2323–2327. [Google Scholar] [CrossRef]
- Zhu, L.F.; She, J.C.; Luo, J.Y.; Deng, S.Z.; Chen, J.; Xu, N.S. Study of physical and chemical processes of H2 sensing of Pt-coated WO3 nanowire films. J. Phys. Chem. C 2010, 114, 15504–15509. [Google Scholar] [CrossRef]
- Malik, R.; Tomer, V.K.; Dankwort, T.; Mishra, Y.K.; Kienle, L. Cubic mesoporous Pd-WO3 loaded graphitic carbon nitride (g-CN) nanohybrids: Highly sensitive and temperature dependent VOC sensors. J. Mater. Chem. A 2018, 6, 10718–10730. [Google Scholar] [CrossRef]
- Malik, R.; Tomer, V.K.; Mishra, Y.K.; Lin, L. Functional gas sensing nanomaterials: A panoramic view. Appl. Phys. Rev. 2020, 7, 021301. [Google Scholar] [CrossRef]
- Wang, C.; Zhang, S.; Qiu, L.; Rasaki, S.A.; Qu, F.; Thomas, T.; Liu, Y.; Yang, M. Ru-decorated WO3 nanosheets for efficient xylene gas sensing application. J. Alloys Compd. 2020, 826, 154196. [Google Scholar] [CrossRef]
- Park, S.; Park, S.; Jung, J.; Hong, T.; Lee, S.; Kim, H.W.; Lee, C. H2S gas sensing properties of CuO-functionalized WO3 nanowires. Ceram. Int. 2014, 40, 11051–11056. [Google Scholar] [CrossRef]
- Rydosz, A. The use of copper oxide thin films in gas-sensing applications. Coatings 2018, 8, 425. [Google Scholar] [CrossRef]
- Xu, Z.K.; Luo, Y.Y.; Duan, G.T. Self-Assembly of Cu2O Monolayer Colloidal Particle Film Allows the Fabrication of CuO Sensor with Super selectivity for Hydrogen Sulfide. ACS Appl. Mater. Interfaces 2019, 11, 8164–8174. [Google Scholar] [CrossRef]
- Ramgir, N.S.; Ganapathi, S.K.; Kaur, M.; Datta, N.; Muthe, K.P.; Aswal, D.K.; Gupta, S.K.; Yakhmi, J.V. Sub-ppm H2S sensing at room temperature using CuO thin films. Sens. Actuators B Chem. 2010, 151, 90–96. [Google Scholar] [CrossRef]
- Xue, X.Y.; Xing, L.; Chen, Y.J.; Shi, S.L.; Wang, Y.G.; Wang, T.H. Synthesis and H2S Sensing Properties of CuO-SnO2 Core/Shell PN-Junction Nanorods. J. Phys. Chem. C 2008, 112, 12157–12160. [Google Scholar] [CrossRef]
- Fan, C.; Sun, F.; Wang, X.; Majidi, M.; Huang, Z.; Kumar, P.; Liu, B. Enhanced H2S gas sensing properties by the optimization of p-CuO/n-ZnO composite nanofibers. J. Mater. Sci. 2020, 55, 7702–7714. [Google Scholar] [CrossRef]
- Ramgir, N.S.; Goyal, C.P.; Sharma, P.K.; Goutam, U.K.; Bhattacharya, S.; Datta, N.; Kaur, M.; Debnath, A.K.; Aswal, D.K.; Gupta, S.K. Selective H2S sensing characteristics of CuO modified WO3 thin films. Sens. Actuators B Chem. 2013, 188, 525–532. [Google Scholar] [CrossRef]
- Zhu, M.L.; Zhang, L.J. A Novel H2S Gas Sensor Applied to the Construction Workers During the Construction Process. Sci. Adv. Mater. 2019, 11, 143–146. [Google Scholar] [CrossRef]
- Galstyan, V.; Poli, N.; Comini, E. Highly Sensitive and Selective H2S Chemical Sensor Based on ZnO Nanomaterial. Appl. Sci. 2019, 9, 1167. [Google Scholar] [CrossRef]
- Yu, W.; Sun, Y.; Zhang, T.; Zhang, K.; Wang, S.; Chen, X.; Dai, N. CuO/WO3 Hybrid Nanocubes for High-Responsivity and Fast-Recovery H2S Sensors Operated at Low Temperature. Part. Part. Syst. Charact. 2016, 33, 15–20. [Google Scholar] [CrossRef]
- Nie, Y.X.; Deng, P.; Zhao, Y.Y.; Wang, P.L.; Xing, L.L.; Zhang, Y.; Xue, X.Y. The conversion of PN-junction influencing the piezoelectric output of a CuO/ZnO nanoarray nanogenerator and its application as a room temperature self-powered active H2S sensor. Nanotechnology 2014, 25, 265501. [Google Scholar] [CrossRef]
- Wang, L.W.; Kang, Y.F.; Wang, Y.; Zhu, B.L.; Zhang, S.M.; Huang, W.P.; Wang, S.R. CuO nanoparticle decorated ZnO nanorod sensor for low-temperature H2S detection. Mater. Sci. Eng. C 2012, 32, 2079–2085. [Google Scholar] [CrossRef]
- Peng, F.; Sun, Y.; Yu, W.; Lu, Y.; Hao, J.; Cong, R.; Ge, M.; Shi, J.; Dai, N. Studies on Sensing Properties and Mechanism of CuO Nanoparticles to H2S Gas. Nanomaterials 2020, 10, 774. [Google Scholar] [CrossRef]
- Zhang, J.; Liu, X.; Neri, G.; Pinna, N. Nanostructured materials for room temperature gas sensors. Adv. Mater. 2016, 28, 795–831. [Google Scholar] [CrossRef]
- Park, S.; Kim, S.; Kheel, H.; Hyun, S.K.; Jin, C.; Lee, C. Enhanced H2S gas sensing performance of networked CuO-ZnO composite nanoparticle sensor. Mater. Res. Bull. 2016, 82, 130–135. [Google Scholar] [CrossRef]
- Fan, F.Y.; Tang, P.G.; Wang, Y.Y.; Feng, Y.J.; Chen, A.F.; Luo, R.X.; Li, D.Q. Facile synthesis and gas sensing properties of tubular hierarchical ZnO self-assembled by porous nanosheets. Sens. Actuators B Chem. 2015, 215, 231–240. [Google Scholar] [CrossRef]
- Kida, T.; Nishiyama, A.; Hua, Z.; Suematsu, K.; Yuasa, M.; Shimanoe, K. WO3 Nanolamella Gas Sensor: Porosity Control Using SnO2 Nanoparticles for Enhanced NO2 Sensing. Langmuir 2014, 30, 2571–2579. [Google Scholar] [CrossRef] [PubMed]
- Hu, L.L.; Qu, B.H.; Li, C.C.; Chen, Y.J.; Mei, L.; Lei, D.N.; Chen, L.B.; Li, Q.H.; Wang, T.H. Facile synthesis of uniform mesoporous ZnCo2O4 microspheres as a high-performance anode material for Li-ion batteries. J. Mater. Chem. A 2013, 1, 5596–5602. [Google Scholar] [CrossRef]
- Luo, M.F.; Fang, P.; He, M.; Xie, Y.L. In situ XRD, Raman, and TPR studies of CuO/Al2O3 catalysts for CO oxidation. J. Mol. Catal. A Chem. 2005, 239, 243–248. [Google Scholar] [CrossRef]
- Kim, J.; Kim, W.; Yong, K. CuO/ZnO Heterostructured Nanorods: Photochemical Synthesis and the Mechanism of H2S Gas Sensing. J. Phys. Chem. C 2012, 116, 15682–15691. [Google Scholar] [CrossRef]
- Xie, Y.; Xing, R.Q.; Li, Q.L.; Xu, L.; Song, H.W. Three-dimensional ordered ZnO–CuO inverse opals toward low concentration acetone detection for exhaled breath sensing. Sens. Actuators B Chem. 2015, 211, 255–262. [Google Scholar] [CrossRef]
- Charton, P.; Gengembre, L.; Armand, P. TeO2–WO3 glasses: Infrared, XPS and XANES structural characterizations. J. Solid State Chem. 2002, 168, 175–183. [Google Scholar] [CrossRef]
- Shpak, A.P.; Korduban, A.M.; Medvedskij, M.M.; Kandyba, V.O. XPS studies of active elements surface of gas sensors based on WO3−x nanoparticles. J. Electron Spectrosc. Relat. Phenom. 2007, 156–158, 172–175. [Google Scholar] [CrossRef]
- Hu, X.B.; Zhu, Z.G.; Chen, C.; Wen, T.Y.; Zhao, X.L.; Xie, L.L. Highly sensitive H2S gas sensors based on Pd-doped CuO nanoflowers with low operating temperature. Sens. Actuators B Chem. 2017, 253, 809–817. [Google Scholar] [CrossRef]
- Zhou, Y.; Lin, X.; Huang, Y.; Guo, Y.; Gao, C.; Xie, G.; Jiang, Y. Impact of further thermal reduction on few-layer reduced graphene oxide film and its n-p transition for gas sensing. Sens. Actuators B Chem. 2016, 235, 241–250. [Google Scholar] [CrossRef]
- Wang, Y.; Liu, B.; Xiao, S.; Wang, X.; Sun, L.; Li, H.; Xie, W.; Li, Q.; Zhang, Q.; Wang, T. Low Temperature H2S Detection with Hierarchical Cr-doped WO3 Microspheres. ACS Appl. Mater. Interfaces 2016, 8, 9674–9683. [Google Scholar] [CrossRef] [PubMed]
- Geng, L.; Huang, X.; Zhao, Y.; Li, P.; Wang, S.; Zhang, S.; Wu, S. H2S sensitivity study of polypyrrole/WO3 materials. Solid State Electron. 2006, 50, 723–726. [Google Scholar] [CrossRef]
- He, M.; Xie, L.; Zhao, X.; Hu, X.; Li, S.; Zhu, Z.G. Highly sensitive and selective H2S gas sensors based on flower-like WO3/CuO composites operating at low/room temperature. J. Alloys Compd. 2019, 788, 36–43. [Google Scholar] [CrossRef]
- Kruefua, V.; Wisitsoraat, A.; Tuantranont, A.; Phanichphant, S. Ultra-sensitive H2S sensors based on hydrothermal/ impregnation-made Ru-functionalized WO3 nanorods. Sens. Actuators B Chem. 2015, 215, 630–636. [Google Scholar] [CrossRef]
- Kim, H.; Jin, C.; Park, S.; Kim, S.; Lee, C. H2S gas sensing properties of bare and Pd-functionalized CuO nanorods. Sens. Actuators B Chem. 2012, 161, 594–599. [Google Scholar] [CrossRef]
- Sarala Devi, G.; Manorama, S.; Rao, V.J. High sensitivity and selectivity of an SnO2 sensor to H2S at around 100 °C. Sens. Actuators B Chem. 1995, 28, 31–37. [Google Scholar] [CrossRef]
- Kim, J.H.; Lee, J.H.; Mirzaei, A.; Kim, H.W.; Kim, S.S. Optimization and gas sensing mechanism of n-SnO2-p-Co3O4 composite nanofibers. Sens. Actuators B Chem. 2017, 248, 500–511. [Google Scholar] [CrossRef]
- Yan, S.H.; Ma, S.Y.; Li, W.Q.; Xu, X.L.; Cheng, L.; Song, H.S.; Liang, X.Y. Synthesis of SnO2-ZnO heterostructured nanofibers for enhancedethanol gas-sensing performance. Sens. Actuators B Chem. 2015, 221, 88–95. [Google Scholar] [CrossRef]
- Mu, C.; He, J.H. Confined conversion of CuS nanowires to CuO nanotubes by annealing-induced diffusion in nanochannels. Nanoscale Res. Lett. 2011, 6, 150. [Google Scholar] [CrossRef]
- Szilágyi, I.M.; Madarász, J.; Pokol, G.; Király, P.; Tárkányi, G.; Saukko, S.; Mizsei, J.; Tóth, A.L.; Szabó, A.; Varga-Josepovits, K. Stability and Controlled Composition of Hexagonal WO3. Chem. Mater. 2008, 20, 4116–4125. [Google Scholar] [CrossRef]
- Garcia-Sanchez, R.F.; Ahmido, T.; Casimir, D.; Baliga, S.; Misra, P. Thermal Effects Associated with the Raman Spectroscopy of WO3 Gas-Sensor Materials. J. Phys. Chem. A 2013, 117, 13825–13831. [Google Scholar] [CrossRef] [PubMed]
- Yu, T.; Zhao, X.; Shen, Z.X.; Wu, Y.H.; Su, W.H. Investigation of individual CuO nanorods by polarized micro-Raman scattering. J. Cryst. Growth 2004, 268, 590–595. [Google Scholar] [CrossRef]
- Minceva-Sukarovaa, B.; Najdoskia, M.; Grozdanova, I.; Chunnilallb, C.J. Raman spectra of thin solid films of some metal sulfides. J. Mol. Struct. 1997, 410, 267–270. [Google Scholar] [CrossRef]
- Ishii, M.; Shibata, K.; Nozaki, H. Anion Distributions and Phase Transitions in CuS1-xSex(x = 0-1) Studied by Raman Spectroscopy. J. Solid State Chem. 1993, 105, 504–511. [Google Scholar] [CrossRef]
- Liu, E.; Zhu, B.; Luo, J. The Physics of Semiconductors, 7th ed.; Publishing House of Electronics Industry: Beijing, China, 2011. [Google Scholar]
- Pulkkinen, U.; Rantala, T.T.; Rantala, T.S.; Lantto, V. Kinetic Monte Carlo simulation of oxygen exchange of SnO2 surface. J. Mol. Catal. A Chem. 2001, 166, 15–21. [Google Scholar] [CrossRef]
- Datta, N.; Ramgir, N.S.; Kumar, S.; Veerender, P.; Kaur, M.; Kailasaganapathi, S.; Debnath, A.K.; Aswal, D.K.; Gupta, S.K. Role of various interfaces of CuO/ZnO random nanowire networks in H2S sensing: An impedance and Kelvin probe analysis. Sens. Actuators B Chem. 2014, 202, 1270–1280. [Google Scholar] [CrossRef]










© 2020 by the authors. Licensee MDPI, Basel, Switzerland. This article is an open access article distributed under the terms and conditions of the Creative Commons Attribution (CC BY) license (http://creativecommons.org/licenses/by/4.0/).
Share and Cite
Peng, F.; Sun, Y.; Yu, W.; Lu, Y.; Hao, J.; Cong, R.; Shi, J.; Ge, M.; Dai, N. Gas Sensing Performance and Mechanism of CuO(p)-WO3(n) Composites to H2S Gas. Nanomaterials 2020, 10, 1162. https://doi.org/10.3390/nano10061162
Peng F, Sun Y, Yu W, Lu Y, Hao J, Cong R, Shi J, Ge M, Dai N. Gas Sensing Performance and Mechanism of CuO(p)-WO3(n) Composites to H2S Gas. Nanomaterials. 2020; 10(6):1162. https://doi.org/10.3390/nano10061162
Chicago/Turabian StylePeng, Fang, Yan Sun, Weiwei Yu, Yue Lu, Jiaming Hao, Rui Cong, Jichao Shi, Meiying Ge, and Ning Dai. 2020. "Gas Sensing Performance and Mechanism of CuO(p)-WO3(n) Composites to H2S Gas" Nanomaterials 10, no. 6: 1162. https://doi.org/10.3390/nano10061162
APA StylePeng, F., Sun, Y., Yu, W., Lu, Y., Hao, J., Cong, R., Shi, J., Ge, M., & Dai, N. (2020). Gas Sensing Performance and Mechanism of CuO(p)-WO3(n) Composites to H2S Gas. Nanomaterials, 10(6), 1162. https://doi.org/10.3390/nano10061162

