Band Structure and Intersubband Transitions of Three-Layer Semiconductor Nanoplatelets
Abstract
1. Introduction
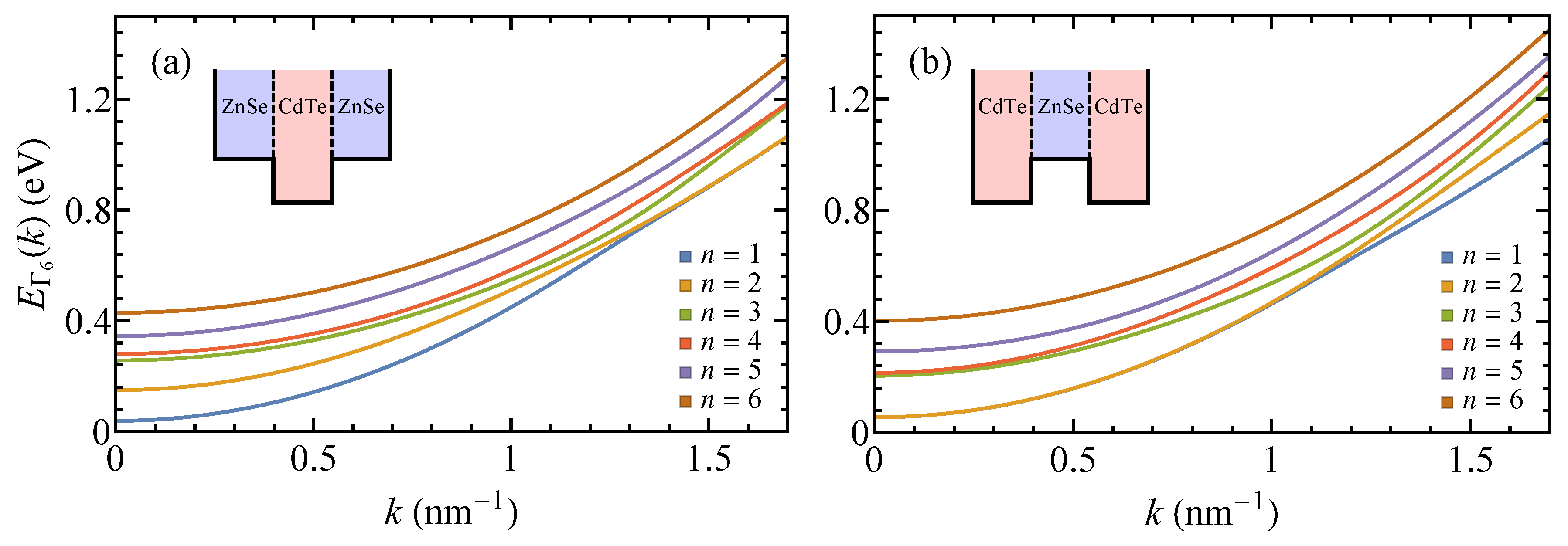
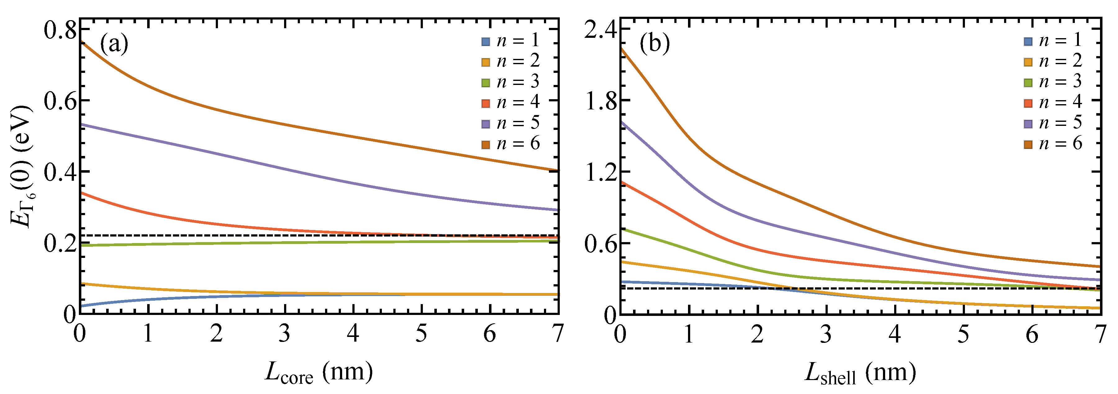
2. Results
3. Discussion
4. Conclusions
Author Contributions
Funding
Conflicts of Interest
Abbreviations
| electron affinity in layer X | |
| energy of electron | |
| energy of the conduction band bottom in layer X | |
| effective mass of electron in layer X | |
| thickness of layer X | |
| L | thickness of nanoplatelet |
| envelope function of electron in layer X | |
| S | surface area of nanoplatelet |
| radius vector of electron | |
| two-dimensional radius vector of electron in the plane of nanoplatelet | |
| two-dimensional wave vector of electron | |
| k | absolute value of two-dimensional wave vector of electron |
| z-component of electron wave vector in layer X | |
| matrix element of electron transition | |
| W | intersubband transition rate per unit area of nanoplatelet |
Appendix A. Calculation of Normalization Constant
References
- Lapshina, N.; Shishkin, I.I.; Nandi, R.; Noskov, R.E.; Barhom, H.; Joseph, S.; Apter, B.; Ellenbogen, T.; Natan, A.; Ginzburg, P.; et al. Bioinspired amyloid nanodots with visible fluorescence. Adv. Opt. Mater. 2019, 7, 1801400. [Google Scholar] [CrossRef]
- Vovk, I.A.; Tepliakov, N.V.; Baimuratov, A.S.; Leonov, M.Y.; Baranov, A.V.; Fedorov, A.V.; Rukhlenko, I.D. Excitonic phenomena in perovskite quantum-dot supercrystals. Phys. Chem. Chem. Phys. 2018, 20, 25023–25030. [Google Scholar] [CrossRef] [PubMed]
- Baimuratov, A.S.; Pereziabova, T.P.; Zhu, W.; Leonov, M.Y.; Baranov, A.V.; Fedorov, A.V.; Rukhlenko, I.D. Optical anisotropy of topologically distorted semiconductor nanocrystals. Nano Lett. 2017, 17, 5514–5520. [Google Scholar] [CrossRef] [PubMed]
- Baimuratov, A.S.; Tepliakov, N.V.; Gun’ko, Y.K.; Baranov, A.V.; Fedorov, A.V.; Rukhlenko, I.D. Mixing of quantum states: A new route to creating optical activity. Sci. Rep. 2016, 6, 1–6. [Google Scholar] [CrossRef] [PubMed]
- Baimuratov, A.S.; Rukhlenko, I.D.; Fedorov, A.V. Engineering band structure in nanoscale quantum-dot supercrystals. Opt. Lett. 2013, 38, 2259–2261. [Google Scholar] [CrossRef]
- Mlinar, V. Role of theory in the design of semiconducting nanostructures. J. Mater. Chem. 2012, 22, 1724–1732. [Google Scholar] [CrossRef]
- Baimuratov, A.S.; Pereziabova, T.P.; Tepliakov, N.V.; Leonov, M.Y.; Baranov, A.V.; Fedorov, A.V.; Rukhlenko, I.D. Electric-field-enhanced circular dichroism of helical semiconductor nanoribbons. Opt. Lett. 2019, 44, 499–502. [Google Scholar] [CrossRef]
- Tepliakov, N.V.; Ponomareva, I.O.; Leonov, M.Y.; Baranov, A.V.; Fedorov, A.V.; Rukhlenko, I.D. Field-induced broadening of electroabsorption spectra of semiconductor nanorods and nanoplatelets. J. Phys. Chem. C 2016, 120, 2379–2385. [Google Scholar] [CrossRef]
- Tepliakov, N.V.; Leonov, M.Y.; Baranov, A.V.; Fedorov, A.V.; Rukhlenko, I.D. Quantum theory of electroabsorption in semiconductor nanocrystals. Opt. Express 2016, 24, A52–A57. [Google Scholar] [CrossRef]
- Ponomareva, I.O.; Leonov, M.Y.; Kosenkov, A.G.; Rukhlenko, I.D.; Baranov, A.V.; Fedorov, A.V. Electroabsorption of a semiconductor nanocuboid. J. Opt. Technol. 2015, 82, 749–754. [Google Scholar] [CrossRef]
- Achtstein, A.W.; Prudnikau, A.V.; Ermolenko, M.V.; Gurinovich, L.I.; Gaponenko, S.V.; Woggon, U.; Baranov, A.V.; Leonov, M.Y.; Rukhlenko, I.D.; Fedorov, A.V.; et al. Electroabsorption by 0D, 1D, and 2D nanocrystals: A comparative study of CdSe colloidal quantum dots, nanorods, and nanoplatelets. ACS Nano 2014, 8, 7678–7686. [Google Scholar] [CrossRef] [PubMed]
- Miller, D.A.B.; Chemla, D.S.; Damen, T.C.; Gossard, A.C.; Wiegmann, W.; Wood, T.H.; Burrus, C.A. Band-edge electroabsorption in quantum well structures: The quantum-confined stark effect. Phys. Rev. Lett. 1984, 53, 2173–2176. [Google Scholar] [CrossRef]
- Shornikova, E.V.; Biadala, L.; Yakovlev, D.R.; Feng, D.; Sapega, V.F.; Flipo, N.; Golovatenko, A.A.; Semina, M.A.; Rodina, A.V.; Mitioglu, A.A.; et al. Electron and hole g-factors and spin dynamics of negatively charged excitons in CdSe/CdS colloidal nanoplatelets with thick shells. Nano Lett. 2018, 18, 373–380. [Google Scholar] [CrossRef] [PubMed]
- Murphy, J.R.; Delikanli, S.; Scrace, T.; Zhang, P.; Norden, T.; Thomay, T.; Cartwright, A.N.; Demir, H.V.; Petrou, A. Time-resolved photoluminescence study of CdSe/CdMnS/CdS core/multi-shell nanoplatelets. Appl. Phys. Lett. 2016, 108, 242406. [Google Scholar] [CrossRef]
- Liu, F.; Biadala, L.; Rodina, A.V.; Yakovlev, D.R.; Dunker, D.; Javaux, C.; Hermier, J.P.; Efros, A.L.; Dubertret, B.; Bayer, M. Spin dynamics of negatively charged excitons in CdSe/CdS colloidal nanocrystals. Phys. Rev. B 2013, 88, 035302. [Google Scholar] [CrossRef]
- Gippius, N.A.; Yablonskii, A.L.; Dzyubenko, A.B.; Tikhodeev, S.G.; Kulik, L.V.; Kulakovskii, V.D.; Forchel, A. Excitons in near-surface quantum wells in magnetic fields: Experiment and theory. J. Appl. Phys. 1998, 83, 5410–5417. [Google Scholar] [CrossRef]
- Tepliakov, N.V.; Vovk, I.A.; Shlykov, A.I.; Leonov, M.Y.; Baranov, A.V.; Fedorov, A.V.; Rukhlenko, I.D. Optical activity and circular dichroism of perovskite quantum-dot molecules. J. Phys. Chem. C 2019, 123, 2658–2664. [Google Scholar] [CrossRef]
- Tepliakov, N.V.; Vovk, I.A.; Baimuratov, A.S.; Leonov, M.Y.; Baranov, A.V.; Fedorov, A.V.; Rukhlenko, I.D. Optical activity of semiconductor gammadions beyond planar chirality. J. Phys. Chem. Lett. 2018, 9, 2941–2945. [Google Scholar] [CrossRef]
- Purcell-Milton, F.; McKenna, R.; Brennan, L.J.; Cullen, C.P.; Guillemeney, L.; Tepliakov, N.V.; Baimuratov, A.S.; Rukhlenko, I.D.; Perova, T.S.; Duesberg, G.S.; et al. Induction of chirality in two-dimensional nanomaterials: Chiral 2D MoS2 nanostructures. ACS Nano 2018, 12, 954–964. [Google Scholar] [CrossRef]
- Tepliakov, N.V.; Baimuratov, A.S.; Vovk, I.A.; Leonov, M.Y.; Baranov, A.V.; Fedorov, A.V.; Rukhlenko, I.D. Chiral optical properties of tapered semiconductor nanoscrolls. ACS Nano 2017, 11, 7508–7515. [Google Scholar] [CrossRef]
- Baimuratov, A.S.; Tepliakov, N.V.; Gun’Ko, Y.K.; Shalkovskiy, A.G.; Baranov, A.V.; Fedorov, A.V.; Rukhlenko, I.D. Intraband optical activity of semiconductor nanocrystals. Chirality 2017, 29, 159–166. [Google Scholar] [CrossRef]
- Tepliakov, N.V.; Baimuratov, A.S.; Gun’ko, Y.K.; Baranov, A.V.; Fedorov, A.V.; Rukhlenko, I.D. Engineering optical activity of semiconductor nanocrystals via ion doping. Nanophotonics 2016, 5, 573–578. [Google Scholar] [CrossRef]
- Tepliakov, N.V.; Baimuratov, A.S.; Baranov, A.V.; Fedorov, A.V.; Rukhlenko, I.D. Optical activity of chirally distorted nanocrystals. J. Appl. Phys. 2016, 119, 194302. [Google Scholar] [CrossRef]
- Rukhlenko, I.D.; Baimuratov, A.S.; Tepliakov, N.V.; Baranov, A.V.; Fedorov, A.V. Shape-induced optical activity of chiral nanocrystals. Opt. Lett. 2016, 41, 2438–2441. [Google Scholar] [CrossRef]
- Zhu, W.; Rukhlenko, I.D.; Xiao, F.; Premaratne, M. Polarization conversion in U-shaped chiral metamaterial with four-fold symmetry breaking. J. Appl. Phys. 2014, 115, 143101. [Google Scholar] [CrossRef]
- Zhang, L.; Yang, H.; Yu, B.; Tang, Y.; Zhang, C.; Wang, X.; Xiao, M.; Cui, Y.; Zhang, J. Low-threshold amplified spontaneous emission and lasing from thick-shell CdSe/CdS core/shell nanoplatelets enabled by high-temperature growth. Adv. Opt. Mater. 2020, 8, 1901615. [Google Scholar] [CrossRef]
- Rossinelli, A.A.; Riedinger, A.; Marqués-Gallego, P.; Knüsel, P.N.; Antolinez, F.V.; Norris, D.J. High-temperature growth of thick-shell CdSe/CdS core/shell nanoplatelets. Chem. Commun. 2017, 53, 9938–9941. [Google Scholar] [CrossRef]
- Yadav, S.; Singh, A.; Sapra, S. Long-lived emission in type-II CdS/ZnSe core/crown nanoplatelet heterostructures. J. Phys. Chem. C 2017, 121, 27241–27246. [Google Scholar] [CrossRef]
- Pedetti, S.; Ithurria, S.; Heuclin, H.; Patriarche, G.; Dubertret, B. Type-II CdSe/CdTe core/crown semiconductor nanoplatelets. J. Am. Chem. Soc. 2014, 136, 16430–16438. [Google Scholar] [CrossRef]
- Sutter, P.; Wang, J.; Sutter, E. Wrap-around core–shell heterostructures of layered crystals. Adv. Mater. 2019, 31, 1902166. [Google Scholar] [CrossRef]
- Feng, F.; NGuyen, L.T.; Nasilowski, M.; Nadal, B.; Dubertret, B.; Maître, A.; Coolen, L. Probing the fluorescence dipoles of single cubic CdSe/CdS nanoplatelets with vertical or horizontal orientations. ACS Photonics 2018, 5, 1994–1999. [Google Scholar] [CrossRef]
- Lo, S.S.; Mirkovic, T.; Chuang, C.H.; Burda, C.; Scholes, G.D. Emergent properties resulting from type-II band alignment in semiconductor nanoheterostructures. Adv. Mater. 2011, 23, 180–197. [Google Scholar] [CrossRef] [PubMed]
- Dzhagan, V.; Milekhin, A.G.; Valakh, M.Y.; Pedetti, S.; Tessier, M.; Dubertret, B.; Zahn, D.R.T. Morphology-induced phonon spectra of CdSe/CdS nanoplatelets: Core/shell vs. core–crown. Nanoscale 2016, 8, 17204–17212. [Google Scholar] [CrossRef] [PubMed]
- Ivanov, S.A.; Piryatinski, A.; Nanda, J.; Tretiak, S.; Zavadil, K.R.; Wallace, W.O.; Werder, D.; Klimov, V.I. Type-II core/shell CdS/ZnSe nanocrystals: Synthesis, electronic structures, and spectroscopic properties. J. Am. Chem. Soc. 2007, 129, 11708–11719. [Google Scholar] [CrossRef] [PubMed]
- Reiss, P.; Bleuse, J.; Pron, A. Highly luminescent CdSe/ZnSe core/shell nanocrystals of low size dispersion. Nano Lett. 2002, 2, 781–784. [Google Scholar] [CrossRef]
- Pelton, M.; Wang, Y.; Fedin, I.; Talapin, D.V.; O’Leary, S.K. Hot-carrier relaxation in CdSe/CdS core/shell nanoplatelets. J. Phys. Chem. C 2020, 124, 1020–1026. [Google Scholar] [CrossRef]
- Antolinez, F.V.; Rabouw, F.T.; Rossinelli, A.A.; Cui, J.; Norris, D.J. Observation of electron shakeup in CdSe/CdS core/shell nanoplatelets. Nano Lett. 2019, 19, 8495–8502. [Google Scholar] [CrossRef]
- Mahler, B.; Nadal, B.; Bouet, C.; Patriarche, G.; Dubertret, B. Core/shell colloidal semiconductor nanoplatelets. J. Am. Chem. Soc. 2012, 134, 18591–18598. [Google Scholar] [CrossRef]
- Liu, D.; He, C. Theoretical study of optical absorption in nonpolar AlGaN/GaN step quantum well structures. J. Comput. Electron. 2019, 18, 251–259. [Google Scholar] [CrossRef]
- Diroll, B.T.; Chen, M.; Coropceanu, I.; Williams, K.R.; Talapin, D.V.; Guyot-Sionnest, P.; Schaller, R.D. Polarized near-infrared intersubband absorptions in CdSe colloidal quantum wells. Nat. Commun. 2019, 10, 4511. [Google Scholar] [CrossRef]
- Krishtopenko, S.S.; Ruffenach, S.; Gonzalez-Posada, F.; Consejo, C.; Desrat, W.; Jouault, B.; Knap, W.; Fadeev, M.A.; Kadykov, A.M.; Rumyantsev, V.V.; et al. Terahertz spectroscopy of two-dimensional semimetal in three-layer InAs/GaSb/InAs quantum well. JETP Lett. 2019, 109, 96–101. [Google Scholar] [CrossRef]
- Massoudi, I. Terahertz intersubband transitions in GaAsBi/AlGaAs single quantum well heterostructure. Superlattices Microstruct. 2019, 136, 106299. [Google Scholar] [CrossRef]
- Schmidt, P.; Vialla, F.; Latini, S.; Massicotte, M.; Tielrooij, K.J.; Mastel, S.; Navickaite, G.; Danovich, M.; Ruiz-Tijerina, D.A.; Yelgel, C.; et al. Nano-imaging of intersubband transitions in van der Waals quantum wells. Nat. Nanotechnol. 2018, 13, 1035–1041. [Google Scholar] [CrossRef] [PubMed]
- Vovk, I.A.; Litvin, A.P.; Ushakova, E.V.; Cherevkov, S.A.; Fedorov, A.V.; Rukhlenko, I.D. Nonparabolicity of size-quantized subbands of bilayer semiconductor quantum wells with heterojunction. Opt. Express 2020, 28, 1657–1664. [Google Scholar] [CrossRef]
- Fedorov, A.V.; Rukhlenko, I.D.; Baranov, A.V.; Kruchinin, S.Y. Optical Properties of Semiconductor Quantum Dots; Nauka: Saint Petersburg, Russia, 2011. [Google Scholar]
- Ithurria, S.; Tessfier, M.D.; Mahler, B.; Lobo, R.P.S.M.; Dubertret, B.; Efros, A.l.L. Colloidal nanoplatelets with two-dimensional electronic structure. Nat. Mater. 2011, 10, 936–941. [Google Scholar] [CrossRef]
- Bahder, T.B. Eight-band k · p model of strained zinc-blende crystals. Phys. Rev. B 1990, 41, 11992–12001. [Google Scholar] [CrossRef]
- Ivchenko, E.L. Optical Spectroscopy of Semiconductor Nanostructures; Alpha Science Int’l Ltd.: Harrow, UK, 2005. [Google Scholar]
- Yadav, S.; Singh, A.; Thulasidharan, L.; Sapra, S. Surface decides the photoluminescence of colloidal CdSe nanoplatelets based core/shell heterostructures. J. Phys. Chem. C 2018, 122, 820–829. [Google Scholar] [CrossRef]
- Meerbach, C.; Tietze, R.; Voigt, S.; Sayevich, V.; Dzhagan, V.M.; Erwin, S.C.; Dang, Z.; Selyshchev, O.; Schneider, K.; Zahn, D.R.T.; et al. Brightly luminescent core/shell nanoplatelets with continuously tunable optical properties. Adv. Opt. Mater. 2019, 7, 1801478. [Google Scholar] [CrossRef]
- Sadao, A. Properties of Group-IV, III–V and II–VI Semiconductors; Wiley & Sons: Hoboken, NJ, USA, 2005. [Google Scholar]
- Tessier, M.D.; Mahler, B.; Nadal, B.; Heuclin, H.; Pedetti, S.; Dubertret, B. Spectroscopy of colloidal semiconductor core/shell nanoplatelets with high quantum yield. Nano Lett. 2013, 13, 3321–3328. [Google Scholar] [CrossRef]
- Yu, P.Y.; Cardona, M. Fundamentals of Semiconductors: Physics and Materials Properties; Springer: Berlin, Germany, 2010. [Google Scholar]
- Pelton, M.; Andrews, J.J.; Fedin, I.; Talapin, D.V.; Leng, H.; O’Leary, S.K. Nonmonotonic dependence of Auger recombination rate on shell thickness for CdSe/CdS core/shell nanoplatelets. Nano Lett. 2017, 17, 6900–6906. [Google Scholar] [CrossRef]
- Sercel, P.C.; Efros, A.L. Band-edge exciton in CdSe and other II–VI and III–V compound semiconductor nanocrystals—Revisited. Nano Lett. 2018, 18, 4061–4068. [Google Scholar] [CrossRef] [PubMed]
- Efros, A.L.; Rosen, M.; Kuno, M.; Nirmal, M.; Norris, D.J.; Bawendi, M. Band-edge exciton in quantum dots of semiconductors with a degenerate valence band: Dark and bright exciton states. Phys. Rev. B 1996, 54, 4843–4856. [Google Scholar] [CrossRef]
- Ekimov, A.I.; Hache, F.; Schanne-Klein, M.C.; Ricard, D.; Flytzanis, C.; Kudryavtsev, I.A.; Yazeva, T.V.; Rodina, A.V.; Efros, A.L. Absorption and intensity-dependent photoluminescence measurements on CdSe quantum dots: Assignment of the first electronic transitions. J. Opt. Soc. Am. B 1993, 10, 100–107. [Google Scholar] [CrossRef]
- Rodina, A.V.; Efros, A.L. Effect of dielectric confinement on optical properties of colloidal nanostructures. J. Exp. Theor. Phys. 2016, 122, 554–566. [Google Scholar] [CrossRef]



© 2020 by the authors. Licensee MDPI, Basel, Switzerland. This article is an open access article distributed under the terms and conditions of the Creative Commons Attribution (CC BY) license (http://creativecommons.org/licenses/by/4.0/).
Share and Cite
Vovk, I.A.; Lobanov, V.V.; Litvin, A.P.; Leonov, M.Y.; Fedorov, A.V.; Rukhlenko, I.D. Band Structure and Intersubband Transitions of Three-Layer Semiconductor Nanoplatelets. Nanomaterials 2020, 10, 933. https://doi.org/10.3390/nano10050933
Vovk IA, Lobanov VV, Litvin AP, Leonov MY, Fedorov AV, Rukhlenko ID. Band Structure and Intersubband Transitions of Three-Layer Semiconductor Nanoplatelets. Nanomaterials. 2020; 10(5):933. https://doi.org/10.3390/nano10050933
Chicago/Turabian StyleVovk, Ilia A., Vladimir V. Lobanov, Aleksandr P. Litvin, Mikhail Yu. Leonov, Anatoly V. Fedorov, and Ivan D. Rukhlenko. 2020. "Band Structure and Intersubband Transitions of Three-Layer Semiconductor Nanoplatelets" Nanomaterials 10, no. 5: 933. https://doi.org/10.3390/nano10050933
APA StyleVovk, I. A., Lobanov, V. V., Litvin, A. P., Leonov, M. Y., Fedorov, A. V., & Rukhlenko, I. D. (2020). Band Structure and Intersubband Transitions of Three-Layer Semiconductor Nanoplatelets. Nanomaterials, 10(5), 933. https://doi.org/10.3390/nano10050933

