Comparative Study of Synthesis Methods to Prepare New Functionalized Adsorbent Materials Based on MNPs–GO Coupling
Abstract
1. Introduction
2. Materials and Methods
2.1. Instrumentation
2.2. Reagents and Solutions
2.3. Preparation of Graphene Oxide
2.4. Preparation of MNPs–GO
2.4.1. Method 1
2.4.2. Method 2
2.4.3. Method 3
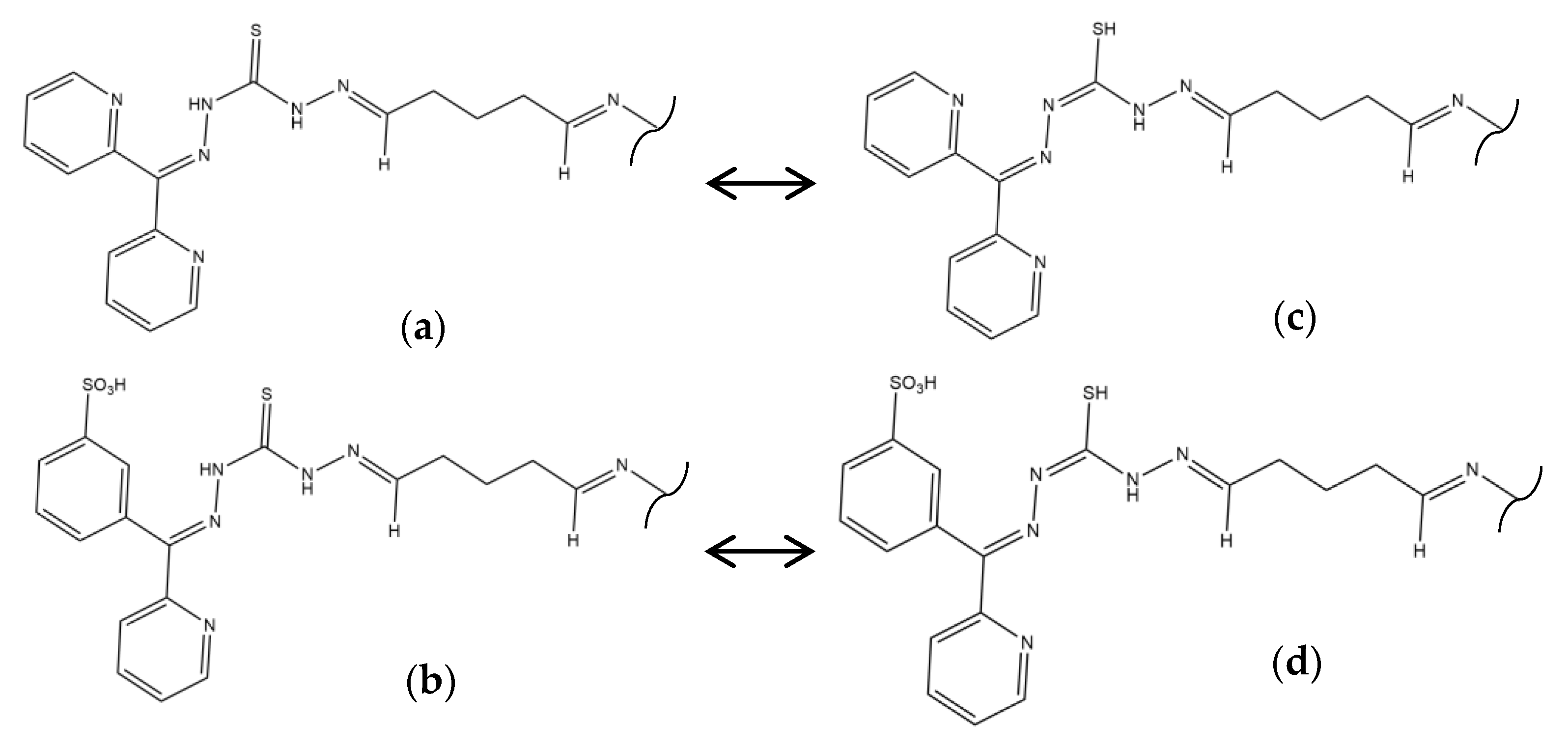
2.5. Functionalization of the Prepared Materials
2.6. Adsorption of Heavy and Noble Metals from Aqueous Solution
3. Results and Discussion
3.1. Transmission Electron Microscopy (TEM)
3.2. N2 Adsorption/Desorption Isotherms
3.3. X-Ray Photoelectronic Spectroscopy (XPS)
3.4. CNHS-Fe Elemental Analysis
3.5. Mass Spectrometry
3.6. Capacities of Adsorption of Heavy and Noble Metals from Aqueous Solution
4. Conclusions
Author Contributions
Funding
Acknowledgments
Conflicts of Interest
References
- Cano Pavón, J.M.; García de Torres, A.; Sánchez Rojas, F.; Bosch Ojeda, C.; Vereda Alonso, E. The toxic elements. In Handbook of Mineral Elements in Food; de la Guardia, M., Garrigues, S., Eds.; Wiley Blackwell: Chichester, UK, 2015; pp. 123–152. [Google Scholar] [CrossRef]
- Manahan, S.E. Introducción a la Química Ambiental; Reverté: México DF, México, 2007; ISBN 968-6708-60-X. [Google Scholar]
- Dubiella-Jackowska, A.; Polkowska, Z.; Namiesnik, J. Platinum group-elements: A challenge for environmental analytics. Pol. J. Environ. Stud. 2007, 16, 329–345. [Google Scholar]
- Ek, K.H.; Morrison, G.M.; Rauch, S. Environmental routes for platinum group elements to biological materials—A review. Sci. Total Environ. 2004, 334, 21–38. [Google Scholar] [CrossRef] [PubMed]
- Calvo Fornieles, A.; García de Torres, A.; Vereda Alonso, E.; Cano Pavón, J.M. Simultaneous determination of traces of Pt, Pd and Ir by SPE-ICP-OES. Test for chemical vapour generation. Microchem. J. 2016, 124, 82–89. [Google Scholar] [CrossRef]
- Cheng, G.; He, M.; Peng, H.; Hu, B. Dithizone modified magnetic nanoparticles for fast and selective solid phase extraction of trace elements in environmental and biological samples prior to their determination by ICP-OES. Talanta 2012, 88, 507–515. [Google Scholar] [CrossRef] [PubMed]
- Islam, A.; Ahmad, H.; Zaidi, N.; Kumar, S. A graphene oxide decorated with triethylenetetramine-modified magnetite for separation of chromium species prior to their sequential speciation and determination via FAAS. Microchim. Acta 2016, 183, 289–296. [Google Scholar] [CrossRef]
- Wierucka, M.; Biziuk, M. Application of magnetic nanoparticles for magnetic solid-phase extraction in preparing biological, environmental, and food samples. TRAC-Trend Anal. Chem. 2014, 59, 50–58. [Google Scholar] [CrossRef]
- Camel, V. Solid phase extraction of trace elements. Spectrochim. Acta Part B 2003, 58, 1177–1233. [Google Scholar] [CrossRef]
- Gao, X.; Jang, J.; Nagese, S. Hydrazine and thermal reduction of graphene oxide: Reaction mechanisms, product structures, and reaction design. J. Phys. Chem. C 2010, 114, 832–842. [Google Scholar] [CrossRef]
- Dreyer, D.R.; Todd, A.D.; Bielawski, C.W. Harnessing the chemistry of graphene oxide. Chem. Soc. Rev. 2014, 43, 5288–5301. [Google Scholar] [CrossRef]
- Sanghavi, B.J.; Gadhari, N.S.; Kalambate, P.K.; Karma, S.P.; Srivastava, A.K. Potentiometric stripping analysis of arsenic using a graphene paste electrode modified with a thiacrown ether and gold nanoparticles. Microchim. Acta 2015, 182, 1473–1481. [Google Scholar] [CrossRef]
- Stankovich, S.; Dikin, D.A.; Piner, R.D.; Kohlhaas, K.A.; Kleinhammes, A.; Jia, Y.; Wu, Y.; Nguyen, S.T.; Ruoff, R.S. Synthesis of graphene-based nanosheets via chemical reduction of exfoliated grafite oxide. Carbon 2007, 45, 1558–1565. [Google Scholar] [CrossRef]
- Mao, S.; Pu, H.; Chen, J. Graphene oxide and its reduction: Modeling and experimental progress. RSC Adv. 2012, 2, 2643–2662. [Google Scholar] [CrossRef]
- Chen, D.; Feng, H.; Li, J. Graphene oxide: Preparation, functionalization, and electrochemical application. Chem. Rev. 2012, 112, 6027–6053. [Google Scholar] [CrossRef] [PubMed]
- Dreyer, D.R.; Park, S.; Bielawski, C.W.; Ruoff, R.S. The chemistry of graphene oxide. Chem. Soc. Rev. 2010, 39, 228–240. [Google Scholar] [CrossRef]
- Nodeh, H.R.; Ibrahim, W.A.W.; Ali, I.; Sanagi, M.M. Development of magnetic graphene oxide adsorbent for the removal and preconcentration of As(III) and As(V) species from environmental water samples. Environ. Sci. Pollut. Res. Int. 2016, 23, 9759–9773. [Google Scholar] [CrossRef]
- Kim, J.E.; Shin, J.Y.; Cho, M.H. Magnetic nanoparticles: An update of application for drug delivery and possible toxic effects. Arch. Toxicol. 2012, 86, 685–700. [Google Scholar] [CrossRef]
- Karatapanis, A.E.; Fiamegos, Y.; Stalikas, C.D. Silica-modified magnetic nanoparticles functionalized with cetylpyridinium bromide for the preconcentration of metals after complexation with 8-hydroxyquinoline. Talanta 2011, 84, 834–839. [Google Scholar] [CrossRef]
- Mashhadizadeh, M.H.; Karami, Z. Solid phase extraction of trace amount of Ag, Cd, Cu and Zn in environmental samples using magnetic nanoparticles coated by 3-(trimethoxysilyl)-1-propantiol and modified with 2-amino-5-mercapto-1-3-4-thiadiazole and their determination by ICP-OES. J. Hazard. Mater. 2011, 190, 1023–1029. [Google Scholar] [CrossRef]
- Ibrain, W.A.W.; Nodeh, H.R.; Hassan, Y.A.E.; Sanagi, M.M. Magnetic solid-phase extraction based on modified ferum oxides for enrichment, preconcentration, and isolation of pesticides and selected pollutants. Crit. Rev. Anal. Chem. 2015, 45, 270–287. [Google Scholar] [CrossRef]
- Yadollah, Y.; Mohammad, F.; Mahnaz, A. Magnetic silica nanomaterials for solid-phase extraction combined with dispersive liquid-liquid microextraction of ultra-trace quantities of plasticizers. Microchim. Acta 2015, 182, 1491–1499. [Google Scholar] [CrossRef]
- Samadi, A.; Amjadi, M. Magnetic Fe3O4@C nanoparticles modified with 1-(2-thiazolylazo)-2-naphthol as a novel solid-phase extraction sorbent for preconcentration of copper (II). Microchim. Acta 2015, 182, 257–264. [Google Scholar] [CrossRef]
- Qi, T.; Huang, C.; Yan, S.; Lin, X.J.; Pan, S.Y. Synthesis, characterization and adsorption properties of magnetite/reduced graphene oxide nanocomposites. Talanta 2015, 144, 1116–1124. [Google Scholar] [CrossRef] [PubMed]
- López Guerrero, M.M.; Siles Cordero, M.T.; Vereda Alonso, E.; García de Torres, A.; Cano Pavón, J.M. Synthesis and characterization of a novel mesoporous silica functionalized with [1,5 bis(di-2-pyridyl)methylene thiocarbohydrazide] and its application as enrichment sorbent for determination of antimony by FI–HG–ETAAS. Talanta 2014, 129, 1–8. [Google Scholar] [CrossRef] [PubMed]
- Vereda Alonso, E.; López Guerrero, M.M.; Colorado Cueto, P.; Barreno Benítez, J.; Cano Pavon, J.M.; García de Torres, A. Development of an on-line solid phase extraction method based on new functionalized magnetic nanoparticles. Use in the determination of mercury in biological and sea-water samples. Talanta 2016, 153, 228–239. [Google Scholar] [CrossRef]
- López Guerrero, M.M.; Vereda Alonso, E.; Cano Pavón, J.M.; Siles Cordero, M.T.; García de Torres, A. Simultaneous determination of chemical vapour generation forming elements (As, Bi, Sb, Se, Sn, Cd, Pt, Pd, Hg) and non-chemical vapour forming elements (Cu, Cr, Mn, Zn, Co) by ICP-OES. J. Anal. At. Spectrom. 2016, 31, 975–984. [Google Scholar] [CrossRef]
- Diagboya, P.N.; Olu-Owolabi, B.I.; Zhou, D.; Han, B.H. Graphene oxide–tripolyphosphate hybrid used as a potent sorbent for cationic dyes. Carbon 2014, 79, 174–182. [Google Scholar] [CrossRef]
- González Moreno, A.; López Guerrero, M.M.; Vereda Alonso, E.; García de Torres, A.; Cano Pavón, J.M. Development of a new FT-IR method for the determination of iron oxide. Optimization of the synthesis of suitable magnetic nanoparticles as sorbent in magnetic solid phase extraction. New J. Chem. 2017, 41, 8804–8811. [Google Scholar] [CrossRef]
- Montoro-Leal, P.; Vereda Alonso, E.; López Guerrero, M.M.; Siles Cordero, M.T.; Cano Pavón, J.M.; García de Torres, A. Speciation analysis of inorganic arsenic by magnetic solid phase extraction on-line with inductively coupled mass spectrometry determination. Talanta 2018, 184, 251–259. [Google Scholar] [CrossRef]
- Du, D.; Wang, L.; Shao, Y.; Wang, J.; Engelhard, M.H.; Lin, Y. Functionalized Graphene Oxide as a Nanocarrier in a Multienzyme Labeling Amplification Strategy for Ultrasensitive Electrochemical Immunoassay of Phosphorylated p53 (S392). Anal. Chem. 2011, 83, 746–752. [Google Scholar] [CrossRef]
- Ruiz, A.; Salas, G.; Calero, M.; Hernández, Y.; Villanueva, A.; Herranz, F.; Veintemillas-Verdaguer, S.; Martínez, E.; Barber, D.F.; Morales, M.P. Short-chain PEG molecules strongly bound to magnetic nanoparticle for MRI circulating agents. Acta Biomater. 2013, 9, 6421–6430. [Google Scholar] [CrossRef]
- Rouquerl, J.; Avnir, D.; Faibridge, C.W.; Everett, D.H.; Haynes, J.M.; Pernicone, N.; Ramsay, J.D.F.; Sing, K.S.W. Recommendations for the characterization of porous solids (Technical Report). Pure Appl. Chem. 1994, 66, 1739–1758. [Google Scholar] [CrossRef]
- Jansen, R.J.J.; Bekkum, H.V. XPS of nitrogen-containing functional groups on activated carbon. Carbon 1995, 33, 1021–1027. [Google Scholar] [CrossRef]








| Material | 1-DPTH | 1-PSTH | 2-DPTH | 2-PSTH | 3-DPTH | 3-PSTH |
|---|---|---|---|---|---|---|
| Pore size (Å) | 65.13 | 93.77 | 107.87 | 83.88 | 95.60 | 96.36 |
| Surface area (m2/g) | 64.30 | 99.17 | 46.94 | 52.14 | 37.88 | 19.58 |
| Sample | %C | %S | %N | %Fe |
|---|---|---|---|---|
| 1-DPTH | 8.681 | 0.121 | 0.657 | 51 |
| 1-PSTH | 7.259 | 0.469 | 0.795 | 38 |
| 2-DPTH | 27.046 | 1.087 | 4.638 | 46 |
| 2-PSTH | 31.703 | 2.227 | 4.328 | 36 |
| 3-DPTH | 41.658 | 3.604 | 8.205 | 31 |
| 3-PSTH | 48.535 | 3.823 | 6.154 | 18 |
| Peaks (m/z) | Fragments |
|---|---|
| 64 | SO2+∙ |
| 105 | ![]() |
| 129 | ![]() |
| 184 | ![]() |
| 207 | ![]() |
| Element | 1-DPTH | 2-DPTH | 3-DPTH | 1-PSTH | 2-PSTH | 3-PSTH |
|---|---|---|---|---|---|---|
| Cr | 0.0 | 0.1 | 0.5 | 0.0 | 0.2 | 0.5 |
| Co | 0.0 | 0.0 | 0.2 | 0.0 | 0.0 | 0.5 |
| Ni | 0.0 | 0.0 | 0.5 | 0.0 | 0.0 | 0.5 |
| Cu | 0.0 | 0.2 | 0.5 | 0.0 | 0.0 | 0.5 |
| As | 0.0 | 0.3 | 0.3 | 0.0 | 0.3 | 0.5 |
| Cd | 0.0 | 0.1 | 0.3 | 0.0 | 0.1 | 0.5 |
| Hg | 0.3 | 0.5 | 0.5 | 0.0 | 0.4 | 0.5 |
| Pb | 0.0 | 0.4 | 0.5 | 0.0 | 0.4 | 0.5 |
| Pd | 0.3 | 0.2 | 0.5 | 0.3 | 0.3 | 0.5 |
| Ag | 0.5 | 0.4 | 0.5 | 0.5 | 0.3 | 0.5 |
| Pt | 0.2 | 0.3 | 0.5 | 0.3 | 0.2 | 0.5 |
| Au | 0.5 | 0.3 | 0.5 | 0.4 | 0.2 | 0.5 |
| Element | GO | 3-DPTH | 3-PSTH |
|---|---|---|---|
| Cr | 0.3 | 0.5 | 0.5 |
| Co | 0.0 | 0.2 | 0.5 |
| Ni | 0.0 | 0.5 | 0.5 |
| Cu | 0.3 | 0.5 | 0.5 |
| As | 0.0 | 0.3 | 1.1 |
| Cd | 0.1 | 0.3 | 0.5 |
| Hg | 0.2 | 6.3 | 7.5 |
| Pb | 0.4 | 0.8 | 1.4 |
| Pd | 0.3 | 1.4 | 0.9 |
| Ag | 0.2 | 4.5 | 2.8 |
| Pt | 0.0 | 0.7 | 0.7 |
| Au | 0.0 | 8.7 | 12.8 |
© 2020 by the authors. Licensee MDPI, Basel, Switzerland. This article is an open access article distributed under the terms and conditions of the Creative Commons Attribution (CC BY) license (http://creativecommons.org/licenses/by/4.0/).
Share and Cite
Montoro-Leal, P.; García-Mesa, J.C.; López Guerrero, M.d.M.; Vereda Alonso, E. Comparative Study of Synthesis Methods to Prepare New Functionalized Adsorbent Materials Based on MNPs–GO Coupling. Nanomaterials 2020, 10, 304. https://doi.org/10.3390/nano10020304
Montoro-Leal P, García-Mesa JC, López Guerrero MdM, Vereda Alonso E. Comparative Study of Synthesis Methods to Prepare New Functionalized Adsorbent Materials Based on MNPs–GO Coupling. Nanomaterials. 2020; 10(2):304. https://doi.org/10.3390/nano10020304
Chicago/Turabian StyleMontoro-Leal, Pablo, Juan Carlos García-Mesa, María del Mar López Guerrero, and Elisa Vereda Alonso. 2020. "Comparative Study of Synthesis Methods to Prepare New Functionalized Adsorbent Materials Based on MNPs–GO Coupling" Nanomaterials 10, no. 2: 304. https://doi.org/10.3390/nano10020304
APA StyleMontoro-Leal, P., García-Mesa, J. C., López Guerrero, M. d. M., & Vereda Alonso, E. (2020). Comparative Study of Synthesis Methods to Prepare New Functionalized Adsorbent Materials Based on MNPs–GO Coupling. Nanomaterials, 10(2), 304. https://doi.org/10.3390/nano10020304





