Stability and Dynamic Aggregation of Bare and Stabilized Zero-Valent Iron Nanoparticles under Variable Solution Chemistry
Abstract
1. Introduction
2. Materials and Methods
2.1. Preparation of nZVI
2.2. Characterization of the Prepared nZVI
2.3. Stability and Dynamic Aggregation of nZVI
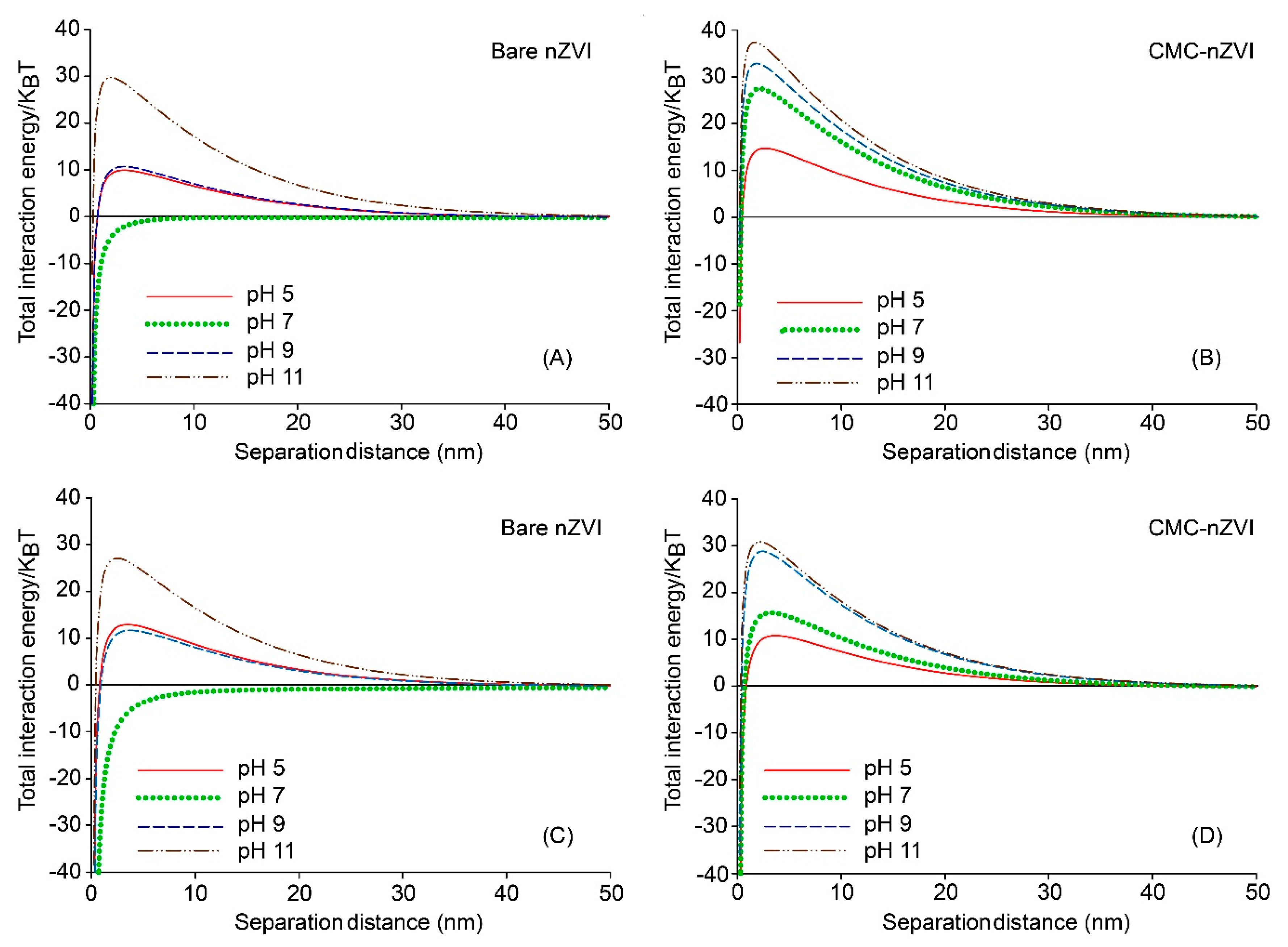
2.4. DLVO Calculations
3. Results
3.1. Characteristics of the Synthesized nZVI
3.2. Hydrodynamic Size of nZVI
3.3. Zeta Potential of nZVI
3.4. Effect of pH on the Stability of nZVI
3.5. Effect of IS on the Stability of nZVI
4. Conclusions
Author Contributions
Funding
Conflicts of Interest
References
- Zhang, W. Nanoscale iron particles for environmental remediation: An overview. J. Nanopart. Res. 2003, 5, 323–332. [Google Scholar] [CrossRef]
- Chang, M.; Shu, H.; Hsieh, W.; Wang, M. Using nanoscale zero-valent iron for the remediation of polycyclic aromatic hydrocarbons contaminated soil. J. Air Waste Manag. Assoc. 2005, 55, 1200–1207. [Google Scholar] [CrossRef] [PubMed]
- Chang, M.; Kang, H. Remediation of pyrene-contaminated soil by synthesized nanoscale zero-valent iron particles. J. Environ. Sci. Health A Tox. Hazard. Subst. Environ. Eng. 2009, 44, 576–582. [Google Scholar] [CrossRef] [PubMed]
- Tratnyek, P.G.; Johnson, R.L. Nanotechnologies for environmental clean up. Nanotoday 2006, 1, 44–48. [Google Scholar] [CrossRef]
- Lin, K.; Chang, N.; Chuang, T. Fine structure characterization of zerovalent iron nanoparticles for decontamination of nitrites and nitrates in wastewater and groundwater. Sci. Technol. Adv. Mater. 2008, 9, 025015. [Google Scholar] [CrossRef]
- He, F.; Zaho, D. Preparation and characterization of a new class of starch-stabilized bimetallic nanoparticles for degradation of chlorinated hydrocarbons in water. Environ. Sci. Technol. 2005, 39, 3314–3320. [Google Scholar] [CrossRef]
- Sun, H.; Wang, L.; Zhang, R.; Sui, J.; Xu, G. Treatment of groundwater polluted by arsenic compounds by zero valent iron. J. Hazard. Mater. 2006, 129, 297–303. [Google Scholar] [CrossRef]
- Phenrat, T.; Saleh, N.; Sirk, K.; Tilton, R.D.; Lowry, G.V. Aggregation and sedimentation of aqueous nanoscale zerovalent iron dispersions. Environ. Sci. Technol. 2007, 41, 284–290. [Google Scholar] [CrossRef]
- Kocur, C.; O’Carroll, D.; Sleep, B. Impact of nZVI stability on mobility in porous media. J. Hydrol. 2013, 145, 17–25. [Google Scholar] [CrossRef]
- Vecchia, D.; Luna, M.; Sethi, R. Transport in porous media of highly concentrated iron micro- and nanoparticles in the presence of xanthan gum. Environ. Sci. Technol. 2009, 43, 8942–8947. [Google Scholar] [CrossRef]
- Schrick, B.; Hydutsky, B.; Blough, J.; Mallouk, T. Delivery vehicles for zerovalent metal nanoparticles in soil and groundwater. Chem. Mater. 2004, 16, 2187–2193. [Google Scholar] [CrossRef]
- Phenrat, T.; Kim, H.; Fagerlund, F.; Illangasekare, T.; Tilton, R.; Lowry, G. Particle size distribution, concentration, and magnetic attraction affect transport of polymer-modified Fe0 nanoparticles in sand columns. Environ. Sci. Technol. 2009, 43, 5079–5085. [Google Scholar] [CrossRef] [PubMed]
- He, F.; Zhao, D.; Liu, J.; Roberts, C.B. Stabilization of Fe-Pd nanoparticles with sodium carboxymethyl cellulose for enhanced transport and dechlorination of trichloroethylene in soil and groundwater. Ind. Eng. Chem. Res. 2007, 46, 29–34. [Google Scholar] [CrossRef]
- He, F.; Zhang, M.; Qian, T.W.; Zhao, D.Y. Transport of carboxy methyl cellulose stabilized iron nanoparticles in porous media: Column experiments and modeling. J. Colloid Interface Sci. 2009, 334, 96–102. [Google Scholar] [CrossRef] [PubMed]
- Raychoudhury, T.; Tufenkji, N.; Ghoshal, S. Aggregation and deposition kinetics of carboxymethyl cellulose-modified zero valent iron nanoparticles in porous media. Water Res. 2012, 4, 1735–1744. [Google Scholar] [CrossRef]
- Raychoudhury, T.; Naja, G.; Ghoshal, S. Assessment of transport of two polyelectrolyte-stabilized zero valent iron nanoparticles in porous media. J. Contam. Hydrol. 2010, 118, 143–151. [Google Scholar] [CrossRef]
- Saleh, N.; Kim, H.; Phenrat, T.; Lowry, G.V.; Tilton, R.D.; Matyjaszewski, K.; Lowry, G.V.; Tilton, R.D. Ionic strength and composition affect the mobility of surface-modified Fe0 nanoparticles in water-saturated sand columns. Environ. Sci. Technol. 2008, 42, 3349–3355. [Google Scholar] [CrossRef]
- Gordon, Y.; Hsiu-Chuan, T.; Chih-Hsiung, H. Stability of nano-iron slurries and their transport in the subsurface environment. Sep. Purif. Technol. 2007, 58, 166–172. [Google Scholar]
- Chowdhury, A.I.; Krol, M.M.; Kocur, C.M.; Boparai, H.K.; Weber, K.P.; Sleep, B.E.; O’Carroll, D.M. nZVI injection into variably saturated soils: Field and modeling study. J. Contam. Hydrol. 2015, 183, 16–28. [Google Scholar] [CrossRef]
- Tian, Y.; Gao, B.; Wang, W.; Morales, V.L.; Carpena, R.M.; Huang, Q.; Yang, L. Deposition and transport of functionalized carbon nanotubes in water-saturated sand columns. J. Hazard. Mater. 2012, 213, 265–272. [Google Scholar] [CrossRef]
- Lin, D.; Tian, X.; Wu, F.; Xing, B. Fate and transport of engineered nanomaterials in the environment. J. Environ. Qual. 2010, 39, 1896–1908. [Google Scholar] [CrossRef] [PubMed]
- Jeremy, A.; Sharon, L.; Menachem, L. Bacterial Adhesion and Transport in Porous Media: Role of the Secondary Energy Minimum. Environ. Sci. Technol. 2004, 38, 1777–1785. [Google Scholar]
- Kungang, L.; Yongsheng, C. Evaluation of DLVO interaction between a sphere and a cylinder. Colloids Surf. A Physicochem. Eng. Asp. 2012, 415, 218–229. [Google Scholar]
- Rosicka, D.; Sembera, J. Assessment of influence of magnetic forces on aggregation of zero-valent iron nanoparticles. Nanoscale Res. Lett. 2011, 6, 10. [Google Scholar] [CrossRef]
- Wang, Y.; Zhanqiang, F.; Kang, Y.F.; Eric, T. Immobilization and phytotoxicity of chromium in contaminated soil remediated by CMC-stabilized nZVI. J. Hazard. Mater. 2014, 275, 230–237. [Google Scholar] [CrossRef]
- Dobias, B. Coagulation and Flocculation: Theory and Applications; CRC Press: Boca Raton, FL, USA, 1993. [Google Scholar]
- Bhattacharjee, S.; Elimelech, M. Surface element integration: A novel technique for evaluation of DLVO interaction between a particle and a flat plate. J. Colloid Interface Sci. 1997, 193, 273–285. [Google Scholar] [CrossRef]
- Gregory, J. Approximate expressions for retarded van der Vaals interaction. J. Colloid Interface Sci. 1981, 51, 44–51. [Google Scholar] [CrossRef]
- Hoch, L.; Mack, E.; Hydutsky, W. Carbothermal synthesis of carbon-supported nanoscale zero-valent iron particles for the remediation of hexavalent chromium. Environ. Sci. Technol. 2008, 42, 2600–2605. [Google Scholar] [CrossRef]
- Dong, H.; Xie, Y.; Zeng, G.; Tang, L.; Liang, J.; He, Q.; Zhao, F.; Zeng, Y.; Wu, Y. The dual effects of carboxymethyl cellulose on the colloidal stability and toxicity of nanoscale zero-valent iron. Chemosphere 2016, 144, 1682–1689. [Google Scholar] [CrossRef]
- Cirtiu, C.M.; Raychoudhury, T.; Ghoshal, S.; Moores, A. Systematic comparison of the size, surface characteristics and colloidal stability of zero valent iron nanoparticles pre and post-grafted with common polymers. Colloids Surf. A Physicochem. Eng. Asp. 2011, 390, 95–104. [Google Scholar] [CrossRef]
- Liu, A.; Liu, J.; Zhang, W. Transformation and composition evolution of nanoscale zero valent iron (nZVI) synthesized by borohydride reduction in static water. Chemosphere 2015, 119, 1068–1074. [Google Scholar] [CrossRef] [PubMed]
- Fatisson, J.; Ghoshal, S.; Tufenkji, N. Deposition of Carboxy methyl cellulose coated zero-valent iron nanoparticles onto silica: Roles of solution chemistry and organic molecules. Langmuir 2010, 26, 12832–12840. [Google Scholar] [CrossRef] [PubMed]
- Phenrat, T.; Long, T.C.; Lowry, G.V.; Veronesi, B. Partial oxidation (“aging”) and surface modification decrease the toxicity of nanosized zerovalent iron. Environ. Sci. Technol. 2009, 43, 195–200. [Google Scholar] [CrossRef] [PubMed]









| IS * | pH | nZVI Particle Concentration | |||
|---|---|---|---|---|---|
| 0.1 g L−1 | 1.0 g L−1 | ||||
| Bare nZVI | CMC–nZVI | Bare nZVI | CMC–nZVI | ||
| 1 mM | 5 | 115.2 ± 3.9 | 100.7 ± 3.2 | 172.1 ± 53.2 | 164.1 ± 2.8 |
| 7 | 132.1 ± 5.9 | 116.2 ± 5.3 | 287.2 ± 25.8 | 174.9 ± 19.2 | |
| 9 | 122.4 ± 9.7 | 101 ± 4.2 | 186.3 ± 18.4 | 159.6 ± 7.4 | |
| 11 | 107.4 ± 5.1 | 92.6 ± 6.6 | 160.2 ± 7.1 | 132.7 ± 12.2 | |
| 50 mM | 5 | 130.2 ± 6.4 | 126.1 ± 7.6 | 244.1 ± 19.2 | 166.4 ± 1.7 |
| 7 | 188.1 ± 12.6 | 145.3 ± 20.9 | 1462.8 ± 79.2 | 193.3 ± 5.4 | |
| 9 | 128.5 ± 6.9 | 117.7 ± 6.1 | 263.5 ± 38.7 | 166.4 ± 2.9 | |
| 11 | 136.2 ± 2.3 | 123.4 ± 12.2 | 239.4 ± 13.2 | 197.6 ± 4.3 | |
| 100 mM | 5 | 148.3 ± 7.9 | 137.4 ± 3.8 | 298.8 ± 32.4 | 261.2 ± 2.5 |
| 7 | 172.4 ± 9.0 | 150.3 ± 2.9 | 1939.1 ± 234.2 | 267.3 ± 21.2 | |
| 9 | 149.2 ± 4.8 | 140.8 ± 5.7 | 278.1 ± 24.3 | 241.3 ± 15.7 | |
| 11 | 151.7 ± 18.4 | 144.7 ± 7.2 | 286.2 ± 32.1 | 252.4 ± 14.2 | |
| IS * | pH | nZVI Particle Concentration | |||
|---|---|---|---|---|---|
| 0.1 g L−1 | 1.0 g L−1 | ||||
| Bare nZVI | CMC−nZVI | Bare nZVI | CMC−nZVI | ||
| 1 mM | 5 | 20.3 | −24.9 | 19.3 | −18.4 |
| 7 | 6.9 | −30.3 | 5.2 | −20.6 | |
| 9 | −20.4 | −34.7 | −18.1 | −27.1 | |
| 11 | −32.4 | −38.1 | −26.4 | −30.1 | |
| 50 mM | 5 | 18.6 | −16.7 | 15.3 | −10.2 |
| 7 | 10.7 | −20.1 | 4.2 | −13.3 | |
| 9 | −9.5 | −23.4 | −8.6 | −15.5 | |
| 11 | −26.1 | −27.8 | −15.1 | −18.6 | |
| 100 mM | 5 | 19.4 | −18.2 | 13.7 | −8.9 |
| 7 | 4.2 | −18.9 | 2.3 | −11.2 | |
| 9 | −9.2 | −20.8 | −5.1 | −12.8 | |
| 11 | −15.1 | −22.1 | −9.3 | −14.3 | |
© 2020 by the authors. Licensee MDPI, Basel, Switzerland. This article is an open access article distributed under the terms and conditions of the Creative Commons Attribution (CC BY) license (http://creativecommons.org/licenses/by/4.0/).
Share and Cite
Ibrahim, H.M.; Awad, M.; Al-Farraj, A.S.; Al-Turki, A.M. Stability and Dynamic Aggregation of Bare and Stabilized Zero-Valent Iron Nanoparticles under Variable Solution Chemistry. Nanomaterials 2020, 10, 192. https://doi.org/10.3390/nano10020192
Ibrahim HM, Awad M, Al-Farraj AS, Al-Turki AM. Stability and Dynamic Aggregation of Bare and Stabilized Zero-Valent Iron Nanoparticles under Variable Solution Chemistry. Nanomaterials. 2020; 10(2):192. https://doi.org/10.3390/nano10020192
Chicago/Turabian StyleIbrahim, Hesham M., Mohammed Awad, Abdullah S. Al-Farraj, and Ali M. Al-Turki. 2020. "Stability and Dynamic Aggregation of Bare and Stabilized Zero-Valent Iron Nanoparticles under Variable Solution Chemistry" Nanomaterials 10, no. 2: 192. https://doi.org/10.3390/nano10020192
APA StyleIbrahim, H. M., Awad, M., Al-Farraj, A. S., & Al-Turki, A. M. (2020). Stability and Dynamic Aggregation of Bare and Stabilized Zero-Valent Iron Nanoparticles under Variable Solution Chemistry. Nanomaterials, 10(2), 192. https://doi.org/10.3390/nano10020192

