Aromatic Hyperbranched Polyester/RTM6 Epoxy Resin for EXTREME Dynamic Loading Aeronautical Applications
Abstract
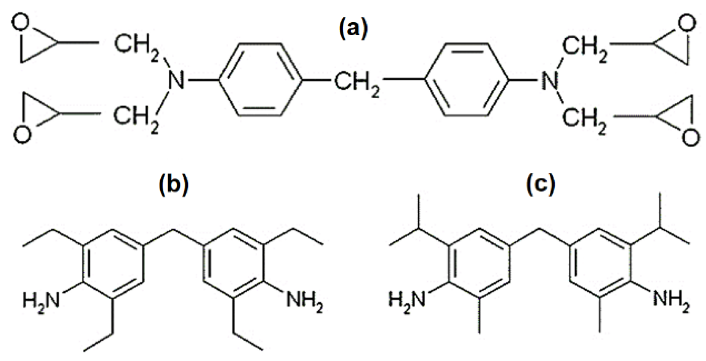
1. Introduction
2. Materials and Methods
2.1. Experimental
2.2. Synthesis of AHBP
2.3. Preparation of Epoxy Thermoset
2.4. Characterization
3. Results and Discussion
3.1. AHBP Characterization
3.2. Nanocomposite Characterization
3.2.1. Rheological and Thermal Analysis
3.2.2. Mechanical Analysis
3.2.3. High Strain Rate Test Analysis
4. Conclusions
Author Contributions
Funding
Acknowledgments
Conflicts of Interest
References
- Pascault, J.P.; Sautereau, H.; Verdu, J.; Williams, R.J.J. Thermosetting Polymers; Marcel Dekker: New York, NY, USA, 2002. [Google Scholar]
- Chen, C.; Tang, Y.; Ye, Y.S.; Xue, Z. High-performance epoxy/silica coated silver nanowire composites as underfill material for electronic packaging. Compos. Sci. Technol. 2014, 105, 80–85. [Google Scholar] [CrossRef]
- Conradi, M.; Kocijan, A.; Kek-Merl, D.; Zorko, M.; Verpoest, I. Mechanical and anticorrosion properties of nanosilica-filled epoxy-resin composite coatings. Appl. Surf. Sci. 2014, 292, 432–437. [Google Scholar] [CrossRef]
- Fu, Y.X.; He, Z.X.; Mo, D.C.; Lu, S.S. Thermal conductivity enhancement with different fillers for epoxy resin adhesives. Appl. Therm. Eng. 2014, 66, 493–498. [Google Scholar] [CrossRef]
- Zotti, A.; Zuppolini, S.; Borriello, A.; Zarrelli, M. Fracture toughening mechanisms in epoxy adhesives. In Adhesives: Applications and Properties; Rudawska, A., Ed.; Intech: London, UK, 2019. [Google Scholar] [CrossRef]
- Zotti, A.; Borriello, A.; Zuppolini, S.; Antonucci, V.; Giordano, M.; Pomogailo, A.D.; Lesnichaya, V.A.; Golubeva, N.D.; Bychkov, A.N.; Dzhardimalieva, G.I.; et al. Fabrication and characterization of metal-core carbon-shell nanoparticles filling an aeronautical composite matrix. Eur. Polym. J. 2015, 71, 140–151. [Google Scholar] [CrossRef]
- Ma, H.Y.; Wei, G.S.; Liu, Y.Q.; Zhang, X.H.; Gao, J.M.; Huang, F.; Tan, B.H.; Song, Z.H.; Qiao, J.L. Effect of elastomeric nanoparticles on properties of phenolic resin. Polymer 2005, 46, 10568–10573. [Google Scholar] [CrossRef]
- Huang, F.; Liu, Y.; Zhang, X.; Wei, G.; Gao, J.; Song, Z.; Zhang, M.; Qiao, J. Effect of Elastomeric Nanoparticles on Toughness and Heat Resistance of Epoxy Resins. Macromol. Rapid Commun. 2002, 23, 786–790. [Google Scholar] [CrossRef]
- Zhang, H.; Tang, L.C.; Zhang, Z.; Friedrich, K.; Sprenger, S. Fracture behaviours of in situ silica nanoparticle-filled epoxy at different temperatures. Polymer 2008, 49, 3816–3825. [Google Scholar] [CrossRef]
- Gojny, F.H.; Wichmann, M.H.G.; Keopke, U.; Fiedler, B.; Schulte, K. Carbon nanotube-reinforced epoxy-composites: Enhanced stiffness and fracture toughness at low nanotube content. Compos. Sci. Technol. 2004, 64, 2363–2371. [Google Scholar] [CrossRef]
- Zotti, A.; Zuppolini, S.; Borriello, A.; Zarrelli, M. The effect of glassy and rubbery hyperbranched polymers as modifiers in epoxy aeronautical systems. Compos. B Eng. 2019, 169, 88–95. [Google Scholar] [CrossRef]
- Zhang, D.; Jia, D. Toughness and strength improvement of diglycidyl ether of bisphenol-A by low viscosity liquid hyperbranched epoxy resin. J. Appl. Polym. Sci. 2006, 101, 2504–2511. [Google Scholar] [CrossRef]
- Garg, A.C.; Mai, Y.W. Failure mechanisms in toughened epoxy resins—A review. Compos. Sci. Technol. 1988, 31, 179–223. [Google Scholar] [CrossRef]
- Fu, J.F.; Shi, L.Y.; Yuan, S.; Zhong, Q.D.; Zhang, D.S.; Chen, Y.; Wu, J. Morphology, toughness mechanism, and thermal properties of hyperbranched epoxy modified diglycidyl ether of bisphenol A (DGEBA) interpenetrating polymer networks. Polym. Adv. Technol. 2008, 19, 1597–1607. [Google Scholar] [CrossRef]
- Boogh, L.; Pettersson, B.; Mansona, J.A.E. Dendritic hyperbranched polymers as tougheners for epoxy resins. Polymer 1999, 40, 2249–2261. [Google Scholar] [CrossRef]
- Xu, G.; Shi, W.; Gong, M.; Yu, F.; Feng, J. Curing behavior and toughening performance of epoxy resins containing hyperbranched polyester. Polym. Adv. Technol. 2005, 15, 639–644. [Google Scholar] [CrossRef]
- Wei, S.; Zhu, Y.; Zhang, Y.; Xu, J. Preparation and characterization of hyperbranched aromatic polyamides/Fe3O4 magnetic nanocomposite. React. Funct. Polym. 2006, 66, 1272–1277. [Google Scholar] [CrossRef]
- Zotti, A.; Zuppolini, S.; Borriello, A.; Zarrelli, M. Thermal Properties and Fracture Toughness of Epoxy Nanocomposites Loaded with Hyperbranched-Polymers-Based Core/Shell Nanoparticles. Nanomaterials 2019, 9, 418. [Google Scholar] [CrossRef]
- Xie, L.; Huang, X.; Huang, Y.; Yang, K.; Jiang, P. Core-shell Structured Hyperbranched Aromatic Polyamide/BaTiO3 Hybrid Filler for Poly(vinylidene fluoride-trifluoroethylene-chlorofluoroethylene) Nanocomposites with the Dielectric Constant Comparable to That of Percolative Composites. ACS Appl. Mater. Interfaces 2013, 5, 1747–1756. [Google Scholar] [CrossRef]
- Gerlach, R.; Siviour, C.R.; Petrinic, N.; Wiegand, J. Experimental characterisation and constitutive modelling of RTM-6 resin under impact loading. Polymer 2008, 49, 2728–2737. [Google Scholar] [CrossRef]
- Gómez-del Río, T.; Rodríguez, J. Compression yielding of epoxy: Strain rate and temperature effect. Mater. Des. 2012, 35, 369–373. [Google Scholar] [CrossRef]
- Naik, N.K.; Shankar, P.J.; Kavala, W.R.; Ravikumar, G.; Pothnis, J.R.; Arya, H. High strain rate mechanical behavior of epoxy under compressive loading: Experimental and modeling studies. Mater. Sci. Eng. A 2011, 528, 846–854. [Google Scholar] [CrossRef]
- Gilat, A.; Goldberg, R.K.; Roberts, G.D. Strain Rate Sensitivity of Epoxy Resin in Tensile and Shear Loading. J. Aerosp. Eng. 2007, 20, 75–89. [Google Scholar] [CrossRef]
- Guo, Y.; Li, Y. Quasi-static/dynamic response of SiO2–epoxy nanocomposites. Mater. Sci. Eng. A 2007, 458, 330–335. [Google Scholar] [CrossRef]
- Shadlou, S.; Ahmadi-Morghadam, B.; Taheri, F. The effect of strain-rate on the tensile and compressive behavior of graphene reinforced epoxy/nanocomposites. Mater. Des. 2014, 59, 439–447. [Google Scholar] [CrossRef]
- Li, S.; Wu, O.; Zhu, H.; Lin, Q.; Wang, C. Impact Resistance Enhancement by Adding Core-Shell Particle to Epoxy Resin Modified with Hyperbranched Polymer. Polymers 2017, 9, 684. [Google Scholar] [CrossRef]
- Moosburger-Will, J.; Greisel, M.; Sause, M.G.R.; Horny, R.; Horn, S. Influence of partial cross-linking degree on basic physical properties of RTM6 epoxy resin. J. Appl. Polym. Sci. 2013, 130, 4338–4346. [Google Scholar] [CrossRef]
- Morelle, X.P.; Lani, F.; Melchior, M.A.; André, S.; Bailly, C.; Pardoen, T. The Elasto-Viscoplasticity and Fracture Behaviour of the RTM6 Structural Epoxy and Impact on the Response of Woven Composites. In Proceedings of the 15th European Conference on Composite Materials (ECCM15), Venice, Italy, 24–28 June 2012. [Google Scholar]
- Technical Data Bulletin RTM6; Hexcel: Stanford, CT, USA, 2016.
- Billmeyer, F.W. Textbook of Polymer Science, 3th ed.; Wiley: Hoboken, NJ, USA, 1984. [Google Scholar]
- Kolsky, H. An investigation of the mechanical properties of materials at very high rates of loading. Proc. Phys. Soc. Sect. B 1949, 62, 676–700. [Google Scholar] [CrossRef]
- Hawker, C.J.; Lee, R.; Frechet, J.M.J. One-step synthesis of hyperbranched dendritic polyesters. J. Am. Chem. Soc. 1991, 113, 4583–4588. [Google Scholar] [CrossRef]
- Malmström, E.; Johansson, M.; Hult, A. Hyperbranched Aliphatic Polyesters. Macromolecules 1995, 28, 1698–1703. [Google Scholar] [CrossRef]
- Maji, P.K.; Guchhait, P.K.; Bhowmick, A.K. Effect of the Microstructure of a Hyperbranched Polymer and Nanoclay Loading on the Morphology and Properties of Novel Polyurethane Nanocomposites. ACS Appl. Mater. Interfaces 2009, 1, 289–300. [Google Scholar] [CrossRef]
- Zhang, K.; Gu, Y.; Li, M.; Zhang, Z. Effect of rapid curing process on the properties of carbon fiber/epoxy composite fabricated using vacuum assisted resin infusion molding. Mater. Des. 2014, 54, 624–631. [Google Scholar] [CrossRef]
- Verrey, J.; Winkler, Y.; Michaud, V.; Manson, J.A.E. Interlaminar fracture toughness improvement in composites with hyperbranched polymer modified resin. Compos. Sci. Technol. 2005, 65, 1527–1536. [Google Scholar] [CrossRef]
- Morelle, X.P.; Chevalier, J.; Bailly, C.; Pardoen, T.; Lani, F. Mechanical characterization and modeling of the deformation and failure of the highly crosslinked RTM6 epoxy resin. Mech. Time-Dep. Mater. 2017, 21, 419–454. [Google Scholar] [CrossRef]
- Arruda, L.M.; Boyce, M.C.; Jayachandra, R. Effects of strain rate, temperature and thermomechanical coupling on the finite strain deformation of glassy polymers. Mech. Mater. 1995, 19, 193–212. [Google Scholar] [CrossRef]

















| Wavenumber (cm−1) | Associated With |
|---|---|
| 3366 | O–H stretching vibration (hydroxyl and carboxyl groups) |
| 1728 | C=O stretching vibration (ester group) |
| 1611, 1509 | C=C stretching vibration (benzene ring) |
| 1169, 1014 | C–O–C asymmetric and symmetric vibration (ester group) |
| 831 | Para(1,4)-benzene ring vibration |
| Sample ID | TgDSC (°C) | TgDMA (°C) | E’ (30 °C) | E’ (250 °C) |
|---|---|---|---|---|
| RTM6 Neat | 225.1 | 228.9 | 3246 ± 34 | 40 ± 2.5 |
| RTM6 + 0.1 wt% AHBP | 223.4 | 225.6 | 3261 ± 29 | 41 ± 3.7 |
| RTM6 + 1 wt% AHBP | 222.2 | 225.2 | 3340 ± 49 | 47 ± 5.0 |
| RTM6 + 5 wt% AHBP | 212.9 | 224.4 | 3263 ± 37 | 42 ± 2.1 |
© 2020 by the authors. Licensee MDPI, Basel, Switzerland. This article is an open access article distributed under the terms and conditions of the Creative Commons Attribution (CC BY) license (http://creativecommons.org/licenses/by/4.0/).
Share and Cite
Zotti, A.; Elmahdy, A.; Zuppolini, S.; Borriello, A.; Verleysen, P.; Zarrelli, M. Aromatic Hyperbranched Polyester/RTM6 Epoxy Resin for EXTREME Dynamic Loading Aeronautical Applications. Nanomaterials 2020, 10, 188. https://doi.org/10.3390/nano10020188
Zotti A, Elmahdy A, Zuppolini S, Borriello A, Verleysen P, Zarrelli M. Aromatic Hyperbranched Polyester/RTM6 Epoxy Resin for EXTREME Dynamic Loading Aeronautical Applications. Nanomaterials. 2020; 10(2):188. https://doi.org/10.3390/nano10020188
Chicago/Turabian StyleZotti, Aldobenedetto, Ahmed Elmahdy, Simona Zuppolini, Anna Borriello, Patricia Verleysen, and Mauro Zarrelli. 2020. "Aromatic Hyperbranched Polyester/RTM6 Epoxy Resin for EXTREME Dynamic Loading Aeronautical Applications" Nanomaterials 10, no. 2: 188. https://doi.org/10.3390/nano10020188
APA StyleZotti, A., Elmahdy, A., Zuppolini, S., Borriello, A., Verleysen, P., & Zarrelli, M. (2020). Aromatic Hyperbranched Polyester/RTM6 Epoxy Resin for EXTREME Dynamic Loading Aeronautical Applications. Nanomaterials, 10(2), 188. https://doi.org/10.3390/nano10020188

