L-Ascorbic Acid-g-Polyaniline Mesoporous Silica Nanocomposite for Efficient Removal of Crystal Violet: A Batch and Fixed Bed Breakthrough Studies
Abstract
1. Introduction
2. Materials and Methods
2.1. Chemicals
2.2. Synthesis of Mesoporous Silica Nanoparticles (MSNs)
2.3. Synthesis of AS-g-PAni@MS Nanocomposite
2.4. Analytical Techniques Used for Material Characterization
2.5. Experiment Design and Adsorption Experiments
2.6. Adsorption Isotherms and Thermodynamic Analysis
2.7. Kinetic Models
2.8. Fixed Bed Continuous Flow Studies (Breakthrough)
2.9. Statistical Verification of Data
3. Results and Discussion
3.1. Analytical Techniques for Material Characterization
3.2. BBD Design and Analysis of Variance (ANOVA)
3.3. Interpretation of the 3D Surface and Optimization Plots
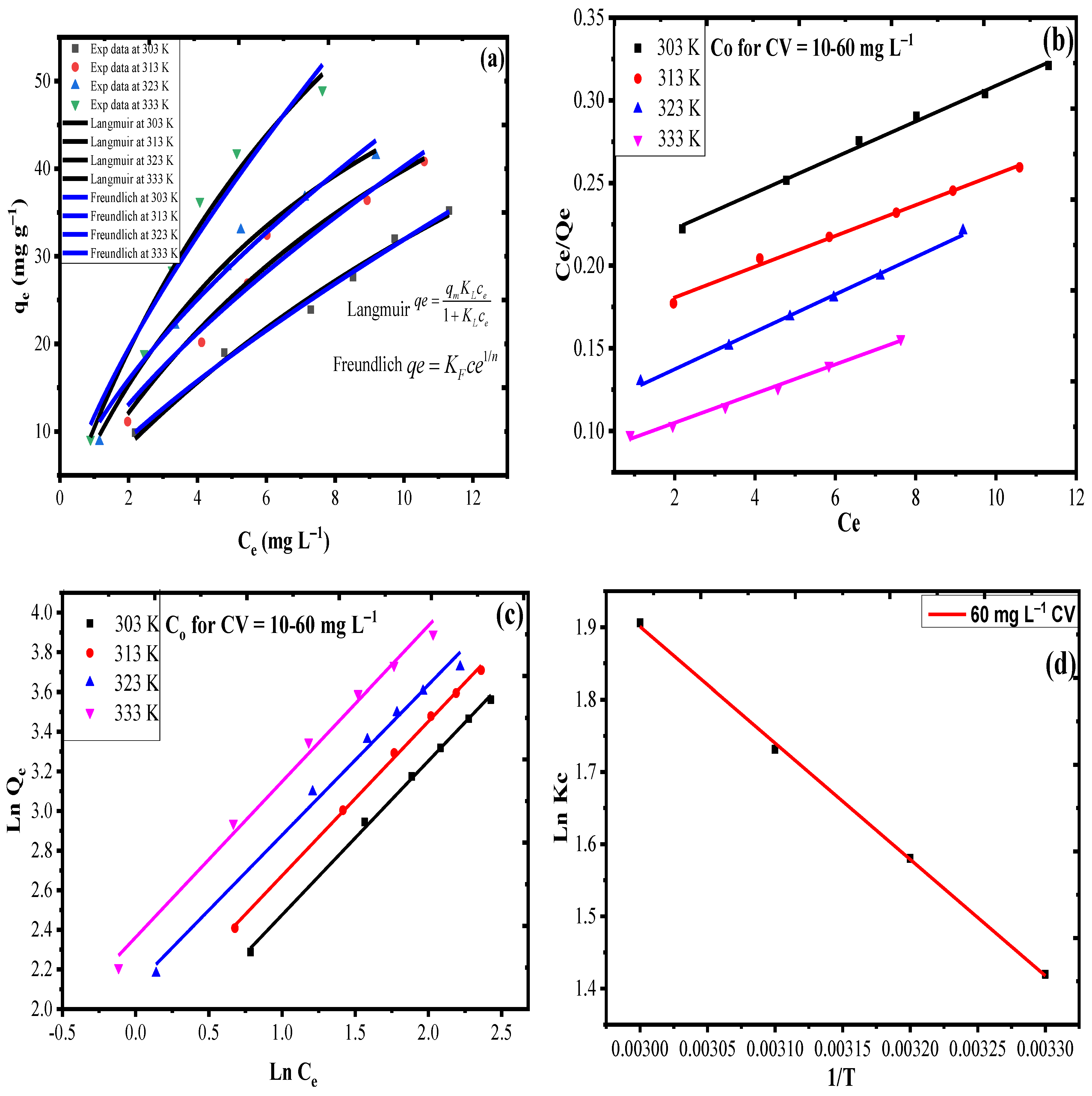
3.4. Adsorption Isotherms and Thermodynamics
3.5. Adsorption Kinetics
3.6. Breakthrough Studies in Fixed Bed Method and Application of the Thomas Model
3.7. Regeneration and Reusability of the Adsorbent
3.8. Comparison with Literature
3.9. Comparison with Individual Constituents
4. Conclusions
Supplementary Materials
Author Contributions
Funding
Conflicts of Interest
Abbreviations
| AS | L-Ascorbic Acid |
| PAni | Polyaniline |
| AS-g-PAni@MS | Ascorbic acid-grafted-Polyaniline mesoporous silica nanocomposite |
| FTIR | Fourier-transform Infrared |
| SEM | Scanning Electron Microscope |
| TEM | Transmission Electron Microscope |
| XRD | X-ray Diffraction |
| EDX | Energy-dispersive X-ray spectroscopy |
| DSC | Differential Scanning Calorimetry |
| TGA | Thermogravimetric analysis |
| AFM | Atomic Force Microscopy |
| UV–Vis | UV–Visible Spectroscopy |
| APS | Ammonium persulphate |
References
- Pongkitdachoti, U.; Unob, F. Simultaneous Adsorption of Silver Nanoparticles and Silver Ions on Large Pore Mesoporous Silica. J. Environ. Chem. Eng. 2018, 6, 596–603. [Google Scholar] [CrossRef]
- Cakić, S.M.; Valcic, M.D.; Ristić, I.S.; Radusin, T.; Cvetinov, M.J.; Budinski-Simendić, J. Waterborne Polyurethane-Silica Nanocomposite Adhesives Based on Castor Oil-Recycled Polyols: Effects of (3-Aminopropyl)Triethoxysilane (APTES) Content on Properties. Int. J. Adhes. Adhes. 2019, 90, 22–31. [Google Scholar] [CrossRef]
- Boonsomwong, K.; Genix, A.C.; Chauveau, E.; Fromental, J.M.; Dieudonné-George, P.; Sirisinha, C.; Oberdisse, J. Rejuvenating the Structure and Rheological Properties of Silica Nanocomposites Based on Natural Rubber. Polymer 2020, 189, 122168. [Google Scholar] [CrossRef]
- Özcan, A.; Hamid, F.; Özcan, A.A. Synthesizing of a Nanocomposite Based on the Formation of Silver Nanoparticles on Fumed Silica to Develop an Electrochemical Sensor for Carbendazim Detection. Talanta 2021, 222, 121591. [Google Scholar] [CrossRef]
- Régibeau, N.; Tilkin, R.G.; Compère, P.; Heinrichs, B.; Grandfils, C. Preparation of PDLLA Based Nanocomposites with Modified Silica by in Situ Polymerization: Study of Molecular, Morphological, and Mechanical Properties. Mater. Today Commun. 2020, 25, 101610. [Google Scholar] [CrossRef]
- He, Y.; Shao, L.; Hu, Y.; Zhao, F.; Tan, S.; He, D.; Pan, A. Redox and PH Dual-Responsive Biodegradable Mesoporous Silica Nanoparticle as a Potential Drug Carrier for Synergistic Cancer Therapy. Ceram. Int. 2020. [Google Scholar] [CrossRef]
- Manzano, J.S.; Wang, H.; Kobayashi, T.; Naik, P.; Lai, K.C.; Evans, J.W.; Slowing, I.I. Kinetics of the Functionalization of Mesoporous Silica Nanoparticles: Implications on Surface Group Distributions, Adsorption and Catalysis. Microporous Mesoporous Mater. 2020, 305, 110276. [Google Scholar] [CrossRef]
- Ren, D.; Xu, J.; Chen, N.; Ye, Z.; Li, X.; Chen, Q.; Ma, S. Controlled Synthesis of Mesoporous Silica Nanoparticles with Tunable Architectures via Oil-Water Microemulsion Assembly Process. Colloids Surfaces A Physicochem. Eng. Asp. 2020, 125773. [Google Scholar] [CrossRef]
- Du, X.; He, J. Facile Fabrication of Hollow Mesoporous Silica Nanospheres for Superhydrophilic and Visible/Near-IR Antireflection Coatings. Chem. A Eur. J. 2011, 17, 8165–8174. [Google Scholar] [CrossRef]
- Jaafar, J.A.; Kamarudin, N.H.N.; Setiabudi, H.D.; Timmiati, S.N.; Peng, T.L. Mesoporous Silica Nanoparticles and Waste Derived-Siliceous Materials for Doxorubicin Adsorption and Release. In Materials Today: Proceedings; Elsevier Ltd.: Amsterdam, The Netherlands, 2019; Volume 19, pp. 1420–1425. [Google Scholar]
- Chen, J.; Sheng, Y.; Song, Y.; Chang, M.; Zhang, X.; Cui, L.; Meng, D.; Zhu, H.; Shi, Z.; Zou, H. Multimorphology Mesoporous Silica Nanoparticles for Dye Adsorption and Multicolor Luminescence Applications. ACS Sustain. Chem. Eng. 2018, 6, 3533–3545. [Google Scholar] [CrossRef]
- Sun, M.; Wang, H.; Li, X. Modification of Cellulose Microfibers by Polyglutamic Acid and Mesoporous Silica Nanoparticles for Enterovirus 71 Adsorption. Mater. Lett. 2020, 277, 128320. [Google Scholar] [CrossRef] [PubMed]
- Niu, B.; Zhou, Y.; Wen, T.; Quan, G.; Singh, V.; Pan, X.; Wu, C. Proper Functional Modification and Optimized Adsorption Conditions Improved the DNA Loading Capacity of Mesoporous Silica Nanoparticles. Colloids Surfaces A Physicochem. Eng. Asp. 2018, 548, 98–107. [Google Scholar] [CrossRef]
- Baig, M.M.; Zulfiqar, S.; Yousuf, M.A.; Shakir, I.; Aboud, M.F.A.; Warsi, M.F. DyxMnFe2−xO4 Nanoparticles Decorated over Mesoporous Silica for Environmental Remediation Applications. J. Hazard. Mater. 2021, 402, 123526. [Google Scholar] [CrossRef] [PubMed]
- Li, G.; Lan, J.; Liu, J.; Jiang, G. Synergistic Adsorption of As(V) from Aqueous Solution onto Mesoporous Silica Decorated Orderly with Al2O3 and Fe2O3 Nanoparticles. J. Colloid Interface Sci. 2013, 405, 164–170. [Google Scholar] [CrossRef] [PubMed]
- Wang, F.; Huang, W.; Guo, C.; Liu, C.Z. Functionalized Magnetic Mesoporous Silica Nanoparticles: Fabrication, Laccase Adsorption Performance and Direct Laccase Capture from Trametes Versicolor Fermentation Broth. Bioresour. Technol. 2012, 126, 117–122. [Google Scholar] [CrossRef]
- Javdani, H.; Khosravi, R.; Etemad, L.; Moshiri, M.; Zarban, A.; Hanafi-Bojd, M.Y. Tannic Acid-Templated Mesoporous Silica Nanoparticles as an Effective Treatment in Acute Ferrous Sulfate Poisoning. Microporous Mesoporous Mater. 2020, 307, 110486. [Google Scholar] [CrossRef]
- Gounani, Z.; Asadollahi, M.A.; Pedersen, J.N.; Lyngsø, J.; Pedersen, J.S.; Arpanaei, A.; Meyer, R.L. Mesoporous Silica Nanoparticles Carrying Multiple Antibiotics Provide Enhanced Synergistic Effect and Improved Biocompatibility. Colloids Surfaces B Biointerfaces 2019, 175, 498–508. [Google Scholar] [CrossRef]
- Ebrahimpour, M.; Hassaninejad-Darzi, S.K.; Mousavi, H.Z. Adsorption of Ternary Toxic Crystal Violet, Malachite Green and Methylene Blue onto Synthesised SBA-15 Mesoporous Nanoparticles. Int. J. Environ. Anal. Chem. 2020. [Google Scholar] [CrossRef]
- Todorov, A.R.; Aikonen, S.; Muuronen, M.; Helaja, J. Visible-Light-Photocatalyzed Reductions of N-Heterocyclic Nitroaryls to Anilines Utilizing Ascorbic Acid Reductant. Org. Lett. 2019, 21, 3764–3768. [Google Scholar] [CrossRef]
- D’Amato, C.A.; Giovannetti, R.; Zannotti, M.; Rommozzi, E.; Minicucci, M.; Gunnella, R.; Di Cicco, A. Band Gap Implications on Nano-TiO2 Surface Modification with Ascorbic Acid for Visible Light-Active Polypropylene Coated Photocatalyst. Nanomaterials 2018, 8, 599. [Google Scholar] [CrossRef]
- Mallakpour, S.; Soltanian, S. Vitamin C Functionalized Multi-Walled Carbon Nanotubes and Its Reinforcement on Poly (Ester-Imide) Nanocomposites Containing L-Isoleucine Amino Acid Moiety. Compos. Interfaces 2016, 23, 209–221. [Google Scholar] [CrossRef]
- Hasan, I.; Walia, S.; Alharbi, K.H.; Khanjer, M.A.; Alsalme, A.; Khan, R.A. Multi-Walled Carbon Nanotube Coupled β-Cyclodextrin/PANI Hybrid Photocatalyst for Advance Oxidative Degradation of Crystal Violet. J. Mol. Liq. 2020, 317, 114216. [Google Scholar] [CrossRef]
- Saad, M.; Tahir, H.; Khan, J.; Hameed, U.; Saud, A. Synthesis of Polyaniline Nanoparticles and Their Application for the Removal of Crystal Violet Dye by Ultrasonicated Adsorption Process Based on Response Surface Methodology. Ultrason. Sonochem. 2017, 34, 600–608. [Google Scholar] [CrossRef]
- Ahmad, R.; Hasan, I.; Mittal, A. Adsorption of Cr (VI) and Cd (II) on Chitosan Grafted Polyaniline-OMMT Nanocomposite: Isotherms, Kinetics and Thermodynamics Studies. Desalin. Water Treat. 2017, 58, 144–153. [Google Scholar] [CrossRef]
- Li, Y.; Yang, C.X.; Qian, H.L.; Zhao, X.; Yan, X.P. Carboxyl-Functionalized Covalent Organic Frameworks for the Adsorption and Removal of Triphenylmethane Dyes. ACS Appl. Nano Mater. 2019, 2, 7290–7298. [Google Scholar] [CrossRef]
- Li, Y.; Wang, S.; Shen, Z.; Li, X.; Zhou, Q.; Sun, Y.; Wang, T.; Liu, Y.; Gao, Q. Gradient Adsorption of Methylene Blue and Crystal Violet onto Compound Microporous Silica from Aqueous Medium. ACS Omega 2020, 5, 28382–28392. [Google Scholar] [CrossRef]
- Gautam, D.; Hooda, S. Magnetic Graphene Oxide/Chitin Nanocomposites for Efficient Adsorption of Methylene Blue and Crystal Violet from Aqueous Solutions. J. Chem. Eng. Data 2020, 65, 4052–4062. [Google Scholar] [CrossRef]
- Torabinejad, A.; Nasirizadeh, N.; Yazdanshenas, M.E.; Tayebi, H.-A. Synthesis of Conductive Polymer-Coated Mesoporous MCM-41 for Textile Dye Removal from Aqueous Media. J. Nanostruct. Chem. 2017, 7, 217–229. [Google Scholar] [CrossRef]
- Alotaibi, N.; Hammud, H.H.; Karnati, R.K.; Hussain, S.G.; Mazher, J.; Prakasam, T. Cobalt-Carbon/Silica Nanocomposites Prepared by Pyrolysis of a Cobalt 2,2′-Bipyridine Terephthalate Complex for Remediation of Cationic Dyes. RSC Adv. 2020, 10, 17660–17672. [Google Scholar] [CrossRef]
- Mani, S.; Bharagava, R.N. Exposure to Crystal Violet, Its Toxic, Genotoxic and Carcinogenic Effects on Environment and Its Degradation and Detoxification for Environmental Safety. In Reviews of Environmental Contamination and Toxicology; Springer: New York, NY, USA, 2016; Volume 237, pp. 71–104. [Google Scholar]
- Wang, H.; Lai, X.; Zhao, W.; Chen, Y.; Yang, X.; Meng, X.; Li, Y. Efficient Removal of Crystal Violet Dye Using EDTA/Graphene Oxide Functionalized Corncob: A Novel Low-Cost Adsorbent. RSC Adv. 2019, 9, 21996–22003. [Google Scholar] [CrossRef]
- Chen, C.Y.; Kuo, J.T.; Yang, H.A.; Chung, Y.C. A Coupled Biological and Photocatalysis Pretreatment System for the Removal of Crystal Violet from Wastewater. Chemosphere 2013, 92, 695–701. [Google Scholar] [CrossRef]
- Duan, M.; Wu, J.; Xiong, Y.; Fang, S.; Chen, J. Characterization and Differentiation of the Adsorption Behavior of Crystal Violet and Methylene Blue at the Silica/Water Interface Using near Field Evanescent Wave. Soft Matter 2018, 14, 7516–7525. [Google Scholar] [CrossRef]
- Ahmad, R.; Hasan, I. Efficient Remediation of an Aquatic Environment Contaminated by Cr (VI) and 2,4-Dinitrophenol by XG-g-Polyaniline@ZnO Nanocomposite. J. Chem. Eng. Data 2017, 62, 1594–1607. [Google Scholar] [CrossRef]
- Kumar, N.; Sinha, S.; Mehrotra, T.; Singh, R.; Tandon, S.; Thakur, I.S. Biodecolorization of Azo Dye Acid Black 24 by Bacillus Pseudomycoides: Process Optimization Using Box Behnken Design Model and Toxicity Assessment. Bioresour. Technol. Rep. 2019, 8, 100311. [Google Scholar] [CrossRef]
- Bahari, N.A.; Isahak, W.N.R.W.; Masdar, M.S.; Ba-Abbad, M.M. Optimization of the Controllable Crystal Size of Iron/Zeolite Nanocomposites Using a Box–Behnken Design and Their Catalytic Activity. Appl. Nanosci. 2019, 9, 209–224. [Google Scholar] [CrossRef]
- Venkataraghavan, R.; Thiruchelvi, R.; Sharmila, D. Statistical Optimization of Textile Dye Effluent Adsorption by Gracilaria Edulis Using Plackett-Burman Design and Response Surface Methodology. Heliyon 2020, 6, e05219. [Google Scholar] [CrossRef] [PubMed]
- Singh, R.; Bhateria, R. Optimization and Experimental Design of the Pb2+ Adsorption Process on a Nano-Fe3O4-Based Adsorbent Using the Response Surface Methodology. ACS Omega 2020, 5, 28305–28318. [Google Scholar] [CrossRef]
- Allouss, D.; Essamlali, Y.; Amadine, O.; Chakir, A.; Zahouily, M. Response Surface Methodology for Optimization of Methylene Blue Adsorption onto Carboxymethyl Cellulose-Based Hydrogel Beads: Adsorption Kinetics, Isotherm, Thermodynamics and Reusability Studies. RSC Adv. 2019, 9, 37858–37869. [Google Scholar] [CrossRef]
- Langmuir, I. The Constitution and Fundamental Properties of Solids and Liquids. Part I. Solids. J. Am. Chem. Soc. 1916, 38, 2221–2295. [Google Scholar] [CrossRef]
- Freundlich, H.M.F. Over the Adsorption in Solution. J. Phys. Chem 1906, 57, 385–470. [Google Scholar]
- Ahmad, R.; Hasan, I. Optimization of the Adsorption of Pb (II) from Aqueous Solution onto PAB Nanocomposite Using Response Surface Methodology. Environ. Nanotechnol. Monit. Manag. 2016, 6, 116–129. [Google Scholar] [CrossRef]
- Lagergren, S.K. About the Theory of So-Called Adsorption of Soluble Substances. Sven. Vetenskapsakad. Handingarl 1898, 24, 1–39. [Google Scholar]
- Ho, Y.S.; McKay, G. Pseudo-Second Order Model for Sorption Processes. Process Biochem. 1999, 34, 451–465. [Google Scholar] [CrossRef]
- De Franco, M.A.E.; De Carvalho, C.B.; Bonetto, M.M.; De Pelegrini Soares, R.; Féris, L.A. Diclofenac Removal from Water by Adsorption Using Activated Carbon in Batch Mode and Fixed-Bed Column: Isotherms, Thermodynamic Study and Breakthrough Curves Modeling. J. Clean. Prod. 2018, 181, 145–154. [Google Scholar] [CrossRef]
- Albayati, T.M.; Kalash, K.R. Polycyclic Aromatic Hydrocarbons Adsorption from Wastewater Using Different Types of Prepared Mesoporous Materials MCM-41in Batch and Fixed Bed Column. Process Saf. Environ. Prot. 2020, 133, 124–136. [Google Scholar] [CrossRef]
- Alardhi, S.M.; Albayati, T.M.; Alrubaye, J.M. Adsorption of the Methyl Green Dye Pollutant from Aqueous Solution Using Mesoporous Materials MCM-41 in a Fixed-Bed Column. Heliyon 2020, 6, e03253. [Google Scholar] [CrossRef]
- Charola, S.; Yadav, R.; Das, P.; Maiti, S. Fixed-Bed Adsorption of Reactive Orange 84 Dye onto Activated Carbon Prepared from Empty Cotton Flower Agro-Waste. Sustain. Environ. Res. 2018, 28, 298–308. [Google Scholar] [CrossRef]
- Thomas, H.C. Heterogeneous Ion Exchange in a Flowing System. J. Am. Chem. Soc. 1944, 66, 1664–1666. [Google Scholar] [CrossRef]
- Prasad, A.L.; Santhi, T.; Manonmani, S. Recent Developments in Preparation of Activated Carbons by Microwave: Study of Residual Errors. Arab. J. Chem. 2015, 8, 343–354. [Google Scholar] [CrossRef]
- Maruthapandi, M.; Kumar, V.B.; Luong, J.H.T.; Gedanken, A. Kinetics, Isotherm, and Thermodynamic Studies of Methylene Blue Adsorption on Polyaniline and Polypyrrole Macro-Nanoparticles Synthesized by C-Dot-Initiated Polymerization. ACS Omega 2018, 3, 7196–7203. [Google Scholar] [CrossRef]
- Vijayakumar, V.; Khastgir, D. Hybrid Composite Membranes of Chitosan/Sulfonated Polyaniline/Silica as Polymer Electrolyte Membrane for Fuel Cells. Carbohydr. Polym. 2018, 179, 152–163. [Google Scholar] [CrossRef] [PubMed]
- Zhu, X.; Zhao, J.; Wang, C. Acid and Base Dual-Controlled Cargo Molecule Release from Polyaniline Gated-Hollow Mesoporous Silica Nanoparticles. Polym. Chem. 2016, 7, 6467–6474. [Google Scholar] [CrossRef]
- Bilal, S.; Akbar, A.; Shah, A.-H.A. Highly Selective and Reproducible Electrochemical Sensing of Ascorbic Acid Through a Conductive Polymer Coated Electrode. Polymers 2019, 11, 1346. [Google Scholar] [CrossRef]
- Karthik, R.; Meenakshi, S. Removal of Hexavalent Chromium Ions Using Polyaniline/Silica Gel Composite. J. Water Process Eng. 2014, 1, 37–45. [Google Scholar] [CrossRef]
- Scherrer, P. Estimation of the Size and Internal Structure of Colloidal Particles by Means of Rontgen Rays. Nachr. Ges. Wiss. Göttingen 1918, 26, 98–100. [Google Scholar]
- Sasidharan, M.; Mal, N.K.; Bhaumik, A. In-Situ Polymerization of Grafted Aniline in the Channels of Mesoporous Silica SBA-15. J. Mater. Chem. 2007, 17, 278–283. [Google Scholar] [CrossRef]
- Lin, Y.S.; Abadeer, N.; Hurley, K.R.; Haynes, C.L. Ultrastable, Redispersible, Small, and Highly Organomodified Mesoporous Silica Nanotherapeutics. J. Am. Chem. Soc. 2011, 133, 20444–20457. [Google Scholar] [CrossRef]
- Das, D.; Yang, Y.; O’Brien, J.S.; Breznan, D.; Nimesh, S.; Bernatchez, S.; Hill, M.; Sayari, A.; Vincent, R.; Kumarathasan, P. Synthesis and Physicochemical Characterization of Mesoporous SiO2 Nanoparticles. J. Nanomater. 2014, 2014. [Google Scholar] [CrossRef]
- Dogra, P.; Adolphi, N.L.; Wang, Z.; Lin, Y.S.; Butler, K.S.; Durfee, P.N.; Croissant, J.G.; Noureddine, A.; Coker, E.N.; Bearer, E.L.; et al. Establishing the Effects of Mesoporous Silica Nanoparticle Properties on in Vivo Disposition Using Imaging-Based Pharmacokinetics. Nat. Commun. 2018. [Google Scholar] [CrossRef]
- Zu, L.; Cui, X.; Jiang, Y.; Hu, Z.; Lian, H.; Liu, Y.; Jin, Y.; Li, Y.; Wang, X. Preparation and Electrochemical Characterization of Mesoporous Polyaniline-Silica Nanocomposites as an Electrode Material for Pseudocapacitors. Materials 2015, 8, 1369–1383. [Google Scholar] [CrossRef]
- Lee, S.; Lee, J.; Song, M.K.; Ryu, J.C.; An, B.; Lee, C.G.; Park, C.; Lee, S.H.; Choi, J.W. Effective Regeneration of an Adsorbent for the Removal of Organic Contaminants Developed Based on UV Radiation and Toxicity Evaluation. React. Funct. Polym. 2015, 95, 62–70. [Google Scholar] [CrossRef]
- Casbeer, E.; Sharma, V.K.; Li, X.Z. Synthesis and Photocatalytic Activity of Ferrites under Visible Light: A Review. In Separation and Purification Technology; Elsevier: Amsterdam, The Netherlands, 2012; pp. 1–14. [Google Scholar] [CrossRef]
- Hassaninejad-Darzi, S.K.; Mousavi, H.Z.; Ebrahimpour, M. Biosorption of Acridine Orange and Auramine O Dyes onto MCM-41 Mesoporous Silica Nanoparticles Using High-Accuracy UV–Vis Partial Least Squares Regression. J. Mol. Liq. 2017, 248, 990–1002. [Google Scholar] [CrossRef]
- Wu, Y.H.; Ma, Y.L.; Sun, Y.G.; Xue, K.; Ma, Q.L.; Ma, T.; Ji, W.X. Graded Synthesis of Highly Ordered MCM-41 and Carbon/Zeolite Composite from Coal Gasification Fine Residue for Crystal Violet Removal. J. Clean. Prod. 2020, 277, 123186. [Google Scholar] [CrossRef]
- Mahmoudi, F.; Amini, M.M. Confined Crystallization of Microporous Metal-Organic Framework within Mesoporous Silica with Enhanced Hydrostability: Ultrafast Removal of Organic Dyes from Aqueous Solutions by MIL-68(Al)@SBA-15 Composite. J. Water Process Eng. 2020, 35, 101227. [Google Scholar] [CrossRef]
- Liang, Z.; Zhao, Z.; Sun, T.; Shi, W.; Cui, F. Enhanced Adsorption of the Cationic Dyes in the Spherical CuO/Meso-Silica Nano Composite and Impact of Solution Chemistry. J. Colloid Interface Sci. 2017, 485, 192–200. [Google Scholar] [CrossRef]












| Source | Sum of Squares | df | Mean Square | F Value | p-Value Prob > F | |
|---|---|---|---|---|---|---|
| Model | 1093.30 | 14 | 78.09 | 4.97 | 0.0025 | significant |
| A-Sonication Time | 6.16 | 1 | 6.16 | 0.39 | 0.5411 | |
| B-pH | 167.76 | 1 | 167.76 | 10.68 | 0.0056 | |
| C-CV Conc | 343.69 | 1 | 343.69 | 21.89 | 0.0004 | |
| D-Catalyst Dose | 412.81 | 1 | 412.81 | 26.29 | 0.0002 | |
| AB | 3.81 | 1 | 3.81 | 0.24 | 0.0063 | |
| AC | 0.83 | 1 | 0.83 | 0.053 | 0.8213 | |
| AD | 39.06 | 1 | 39.06 | 2.49 | 0.1370 | |
| BC | 1.65 | 1 | 1.65 | 0.11 | 0.7506 | |
| BD | 59.04 | 1 | 59.04 | 3.76 | 0.0072 | |
| CD | 2.01 | 1 | 2.01 | 0.13 | 0.7256 | |
| A2 | 3.87 | 1 | 3.87 | 0.25 | 0.6273 | |
| B2 | 3.56 | 1 | 3.56 | 0.23 | 0.0064 | |
| C2 | 1.12 | 1 | 1.12 | 0.072 | 0.7929 | |
| D2 | 37.41 | 1 | 37.41 | 2.38 | 0.1450 | |
| Residual | 219.81 | 14 | 15.70 | |||
| Lack of Fit | 196.94 | 10 | 19.69 | 3.44 | 0.1223 | not significant |
| Pure Error | 22.87 | 4 | 5.72 | |||
| Cor Total | 1313.11 | 28 |
| Isotherm Model | Equations | Parameters | 303 K | 313 K | 323 K | 333 K |
|---|---|---|---|---|---|---|
| Langmuir | qm (mg g-1) | 88.42 | 92.51 | 107.41 | 113.25 | |
| KL (L mg-1) | 0.054 | 0.057 | 0.099 | 0.101 | ||
| R2 | 0.99 | 0.99 | 0.99 | 0.99 | ||
| RMSE | 0.003 | 0.003 | 0.002 | 0.002 | ||
| Freundlich | KF (mg g−1) (L mg−1)1/n | 5.46 | 6.65 | 8.34 | 10.62 | |
| n | 1.27 | 1.28 | 1.29 | 1.32 | ||
| R2 | 0.98 | 0.98 | 0.98 | 0.98 | ||
| RMSE | 0.02 | 0.02 | 0.06 | 0.06 |
| Model | Enthalpy (ΔH) KJ mol−1 | Entropy (ΔS) (KJ mol−1 K−1) | Gibbs Free Energy (ΔG) (KJ mol−1) | |||
|---|---|---|---|---|---|---|
| 303 K | 313 K | 323 K | 333 K | |||
| Gibbs | 3.62 | 0.015 | −0.99 | −1.08 | −1.23 | −1.38 |
| Kinetic Model | Equation | Parameters | 50 mg L−1 | 60 mg L−1 |
|---|---|---|---|---|
| Pseudo First | qe,exp | 45.87 | 49.76 | |
| qe,cal | 43.92 | 47.44 | ||
| K1 (min−1) | 0.099 | 0.126 | ||
| R2 | 0.84 | 0.86 | ||
| RMSE | 3.55 | 3.25 | ||
| Pseudo Second | qe,cal | 47.51 | 51.01 | |
| K2 (L mg−1 min−1) | 0.003 | 0.003 | ||
| R2 | 0.96 | 0.99 | ||
| RMSE | 2.93 | 0.86 |
| Model | Bed Height (cm) | qeq (mg g−1) | %Removal | Veff (L) | tb (min) | te (min) | Zm (cm) | Zm/L |
|---|---|---|---|---|---|---|---|---|
| Fixed Bed | 3.7 | 99.06 | 91.67 | 3.6 | 93.9 | 360.2 | 2.74 | 0.74 |
| 5.4 | 94.71 | 87.24 | 5.2 | 123.1 | 517.2 | 4.11 | 0.76 | |
| 8.1 | 86.8 | 81.58 | 6.2 | 209.4 | 620.5 | 5.37 | 0.66 |
| Model | Parameters | Bed Height | ||
|---|---|---|---|---|
| 3.7 cm | 5.4 cm | 8.1 cm | ||
| Thomas Model | qeq (mg g−1) | 87.79 | 84.37 | 79.48 |
| KTH (mL mg−1 min−1) | 0.64 | 0.41 | 0.28 | |
| R2 | 0.99 | 0.99 | 0.99 | |
| RMSE | 0.02 | 0.03 | 0.04 | |
| Material | Target | Time (min) | Target Concentration (mg L−1) | % Removal | References |
|---|---|---|---|---|---|
| DyxMnFe2−xO4 nanoparticles decorated over mesoporous silica | Crystal Violet | 150 | 5 | 98 | [14] |
| SiO2/NiFe2O4 | Methyl Orange | 60 | 10 | 5 | [64] |
| MCM-41 mesoporous silica nanoparticles | Auramine O | 20 | 20 | 56.43 | [65] |
| MCM-41 | Crystal Violet | 120 | 600 | 90 | [66] |
| MIL-68(Al)@SBA-15 | Crystal Violet | 30 | 50 | 85 | [67] |
| CuO/MCM-41 nano composite | Crystal Violet | 60 | 36 | 26.52 | [68] |
| Ascorbic acid-g-Polyanile@Mes. Silica Nanocomposite | Crystal Violet | 90 | 60 | 97.11 | Present Study |
Publisher’s Note: MDPI stays neutral with regard to jurisdictional claims in published maps and institutional affiliations. |
© 2020 by the authors. Licensee MDPI, Basel, Switzerland. This article is an open access article distributed under the terms and conditions of the Creative Commons Attribution (CC BY) license (http://creativecommons.org/licenses/by/4.0/).
Share and Cite
Hasan, I.; BinSharfan, I.I.; Khan, R.A.; Alsalme, A. L-Ascorbic Acid-g-Polyaniline Mesoporous Silica Nanocomposite for Efficient Removal of Crystal Violet: A Batch and Fixed Bed Breakthrough Studies. Nanomaterials 2020, 10, 2402. https://doi.org/10.3390/nano10122402
Hasan I, BinSharfan II, Khan RA, Alsalme A. L-Ascorbic Acid-g-Polyaniline Mesoporous Silica Nanocomposite for Efficient Removal of Crystal Violet: A Batch and Fixed Bed Breakthrough Studies. Nanomaterials. 2020; 10(12):2402. https://doi.org/10.3390/nano10122402
Chicago/Turabian StyleHasan, Imran, Ibtisam I. BinSharfan, Rais Ahmad Khan, and Ali Alsalme. 2020. "L-Ascorbic Acid-g-Polyaniline Mesoporous Silica Nanocomposite for Efficient Removal of Crystal Violet: A Batch and Fixed Bed Breakthrough Studies" Nanomaterials 10, no. 12: 2402. https://doi.org/10.3390/nano10122402
APA StyleHasan, I., BinSharfan, I. I., Khan, R. A., & Alsalme, A. (2020). L-Ascorbic Acid-g-Polyaniline Mesoporous Silica Nanocomposite for Efficient Removal of Crystal Violet: A Batch and Fixed Bed Breakthrough Studies. Nanomaterials, 10(12), 2402. https://doi.org/10.3390/nano10122402

