Co2+ Substituted Spinel MgCuZn Ferrimagnetic Oxide: A Highly Versatile Electromagnetic Material via a Facile Molten Salt Route
Abstract
1. Introduction
2. Experimental Details
3. Results and Discussion
3.1. Crystallographic Identification
3.2. Morphological and Elemental Analyses
3.3. Electrical Properties
3.3.1. Direct Current (DC) Resistivity Studies
3.3.2. Dielectric Properties
3.4. Magnetic Properties
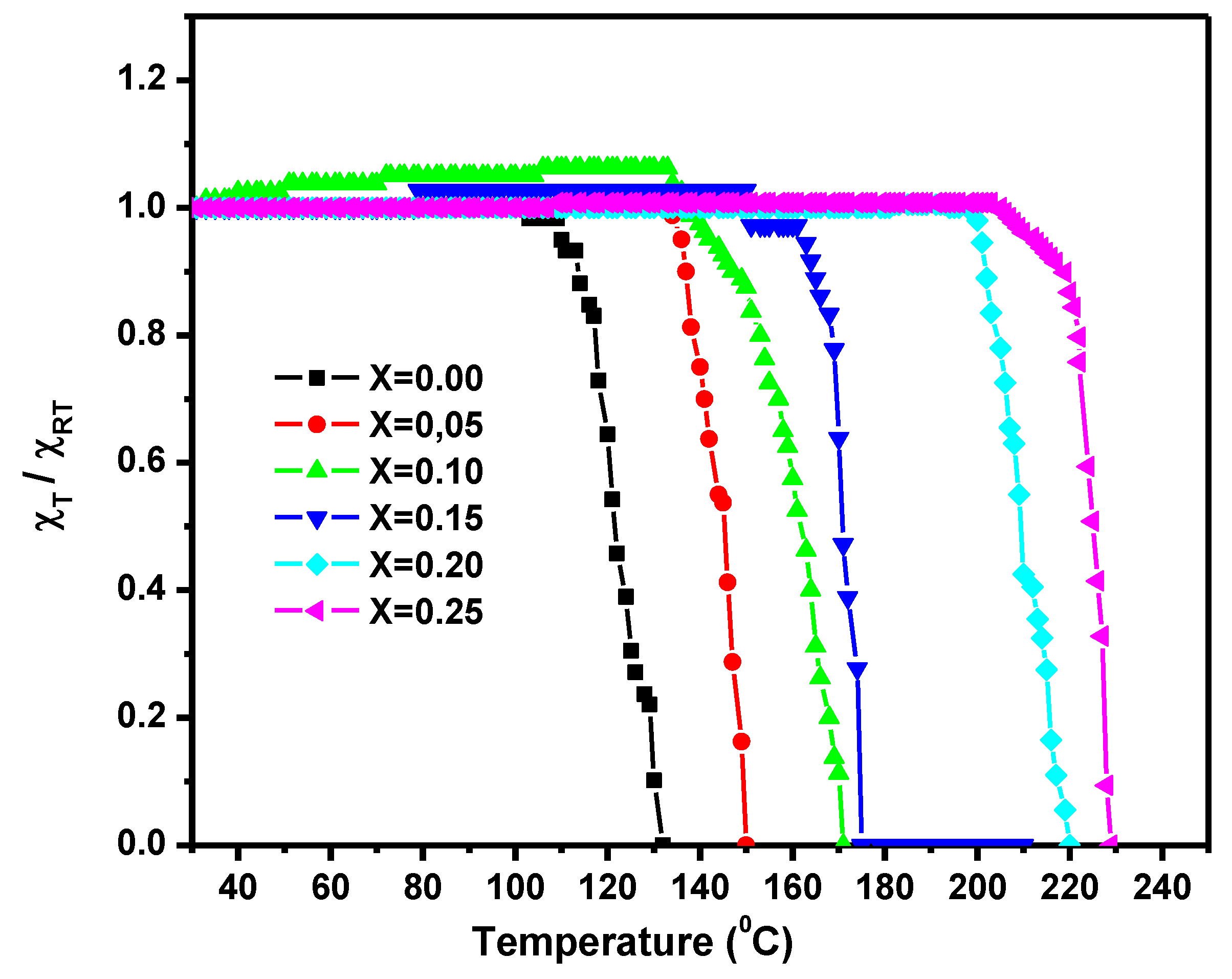
3.4.1. Alternating Current (AC) Susceptibility
3.4.2. Magnetization
3.4.3. Initial Permeability
4. Conclusions
Supplementary Materials
Author Contributions
Funding
Acknowledgments
Conflicts of Interest
References
- Xie, F.; Chen, Y.; Bai, M.; Wang, P. Co-substituted LiZnTiBi ferrite with equivalent permeability and permittivity for high-frequency miniaturized antenna application. Ceram. Int. 2019, 45, 17915–17919. [Google Scholar] [CrossRef]
- Prateek, V.; Thakur, K.; Gupta, R.K. Recent Progress on Ferroelectric Polymer-Based Nanocomposites for High Energy Density Capacitors: Synthesis, Dielectric Properties, and Future Aspects. Chem. Rev. 2016, 116, 4260–4317. [Google Scholar] [CrossRef] [PubMed]
- Braniste, T.; Dragoman, M.; Zhukov, S.; Aldrigo, M.; Ciobanu, V.; Iordanescu, S.; Alyabyeva, L.; Fumagalli, F.; Ceccone, G.; Raevschi, S.; et al. Aero-Ga2O3 Nanomaterial Electromagnetically Transparent from Microwaves to Terahertz for Internet of Things Applications. Nanomaterials 2020, 10, 1047. [Google Scholar] [CrossRef] [PubMed]
- Kefeni, K.; Msagati, T.; Mamba, B. Ferrite nanoparticles: Synthesis, characterisation and applications in electronic device. Mater. Sci. Eng. B 2017, 215, 37–55. [Google Scholar] [CrossRef]
- Lasheras, X.; Insausti, M.; de Muro, I.G.; Garaio, E.; Plazaola, F.; Moros, M.; de Matteis, L.; de la Fuente, J.M.; Lezama, L. Chemical Synthesis and Magnetic Properties of Monodisperse Nickel Ferrite Nanoparticles for Biomedical Applications. J. Phys. Chem. 2016, 120, 3492–3500. [Google Scholar] [CrossRef]
- Fu, Y.; Chen, Q.; He, M.; Wan, Y.; Sun, X.; Xia, H.; Wang, X. Copper Ferrite-Graphene Hybrid: A Multifunctional Heteroarchitecture for Photocatalysis and Energy Storage. Ind. Eng. Chem. 2012, 51, 11700–11709. [Google Scholar] [CrossRef]
- Šepelák, V.; Bergmann, I.; Feldhoff, A.; Heitjans, P.; Krumeich, F.; Menzel, D.; Litterst, F.J.; Campbell, S.J.; Becker, K.D. Nanocrystalline Nickel Ferrite, NiFe2O4: Mechanosynthesis, Nonequilibrium Cation Distribution, Canted Spin Arrangement, and Magnetic Behavior. J. Phys. Chem. 2007, 111, 5026–5033. [Google Scholar] [CrossRef]
- Al Yaqoob, K.; Bououdina, M.; Akhter, M.S.; Al Najar, B.; Vijaya, J.J. Selectivity and efficient Pb and Cd ions removal by magnetic MFe2O4 (M=Co, Ni, Cu and Zn) nanoparticles. Mater. Chem. Phys. 2019, 232, 254–264. [Google Scholar] [CrossRef]
- Tsay, C.Y.; Chiu, Y.C.; Tseng, Y.K. Investigation on structural, magnetic, and FMR properties for hydrothermally-synthesized magnesium-zinc ferrite nanoparticles. Phys. B Cond. Matter 2019, 570, 29–34. [Google Scholar] [CrossRef]
- Patil, J.; Nadargi, D.; Mulla, I.; Suryavanshi, S. Spinel MgFe2O4 thick films: A colloidal approach for developing gas sensors. Mater. Lett. 2018, 213, 27–30. [Google Scholar] [CrossRef]
- Amiri, M.; Salavati-Niasari, M.; Akbari, A.; Razavi, R. Sol–gel auto-combustion synthesize and characterization of a novel anticorrosive cobalt ferrite nanoparticles dispersed in silica matrix. J. Mater. Sci. Mater. Electron. 2017, 28, 10495–10508. [Google Scholar] [CrossRef]
- Khandekar, M.; Tarwal, N.; Mulla, I.; Suryavanshi, S. Nanocrystalline Ce doped CoFe2O4 as an acetone gas sensor. Ceram. Int. 2014, 40, 447–452. [Google Scholar] [CrossRef]
- Thorat, L.M.; Patil, J.Y.; Nadargi, D.Y.; Kambale, R.C.; Suryavanshi, S.S. Ni2+ substituted Mg-Cu-Zn ferrites by molten salt route: Evaluation of structural, morphological and electromagnetic properties. Inorg. Chem. Commun. 2019, 99, 20–25. [Google Scholar] [CrossRef]
- Sawant, S.R.; Patil, R.N. Structural and lattice parameter changes in the slow cooled and quenched CuxZn1−xFe2O4 samples. J. Mater. Sci. 1981, 16, 3496–3499. [Google Scholar] [CrossRef]
- Rezlescu, N.; Rezlescu, E.; Tudorache, F.; Popa, P.D. MgCu nanocrystalline ceramic with La3+ and Y3+ ionic substitutions used as humidity sensor. J. Opt. Electron. Adv. Mater. 2004, 6, 695–698. [Google Scholar]
- Hoeffgen, D.; Hopper, H.; Monch, L. Investigations of chemically-precipitated barium titanate. Ber. Dtsch. Keram. Ges. 1978, 55, 216. [Google Scholar]
- Coble, R.L.; Gupta, T.K. Sintering and Related Phenomena; Kuczynski, G.C., Hroton, N.A., Gibbon, C.F., Eds.; Gordon and Breach: New York, NY, USA, 1967; p. 423. [Google Scholar]
- Reddy, M.P.; Kim, I.G.; Yooa, D.S.; Madhuri, W.; VenkataRamana, M.; Shaaban, A.; Reddy, N.R.; Kumar, K.V.S.; Reddy, R.R. Effect of La substitution on structural and magnetic properties of microwave treated Mg0.35Cu0.05Zn0.60LaxFe2−xO4 ceramics. Superlatt. Micros. 2013, 56, 99–106. [Google Scholar] [CrossRef]
- Low, K.O.; Sale, F.R. Electromagnetic properties of gel-derived NiCuZn ferrites. J. Magn. Magn. Mater. 2002, 246, 30–35. [Google Scholar] [CrossRef]
- Reddy, P.V.; Rao, T.S.; Rao, S.M.D. Electrical conductivity of lithium-nickel ferrites. J. Less Common Met. 1981, 79, 191–198. [Google Scholar] [CrossRef]
- Irkhin, Y.P.; Turov, E.A. Physics. Sov. Phys. JETP 1957, 33, 673. [Google Scholar]
- Wagner, K.W. Zurtheorie der unvollkommenendielektrika. Ann. Phys. 1913, 345, 817–855. [Google Scholar] [CrossRef]
- Koops, C.G. On the dispersion of resistivity and dielectric constant of some semiconductors at audiofrequencies. Phys. Rev. 1951, 83, 121–124. [Google Scholar] [CrossRef]
- Bellad, S.S.; Watwe, S.C.; Chougule, B.K. Microstructure and permeability studies of mixed Li-Cd ferrites. J. Magn. Magn. Mater. 1999, 195, 57–64. [Google Scholar] [CrossRef]
- Koh, J.G.; Kim, K.U. New Phys. New Phys. Korean Phys. Soc. 1986, 26, 540. [Google Scholar]
- Naeem, M.; Shah, N.A.; Gul, I.F.; Maqsood, A. Structural, electrical and magnetic characterization of Ni–Mg spinel ferrites. J. Alloys Compd. 2009, 487, 739–743. [Google Scholar] [CrossRef]
- Smit, J.; Wijn, H.P.J. Ferrites; Philips Technical Library: Eindhoven, The Netherlands, 1959. [Google Scholar]











| # | Methods | Merits | Demerits |
|---|---|---|---|
| 1 | Solvothermal | Cost-effective | Long process time Need of autoclave for high pressure |
| 2 | Hydrothermal | Scalable, Cost-effective, High yield | |
| 3 | Sonochemical | Time effective, Fine size distribution | Less yield, uncontrolled particle shape |
| 4 | Co-precipitation | Facile synthesis route, almost water medium, good control on particle size and morphology, scalable | Broad size distribution of particle, weak crystallinity |
| 5 | Thermal decomposition | Great crystallinity, scalable, good control on particle size, narrow size distribution | Longer reaction time, high temperature, organic media, need of ligand exchange |
| 6 | Sol-gel | Facile synthesis route, great control on size, scalable | Alcoholic media |
| 7 | Spray pyrolysis | Variety of material deposition with ease | Control of nozzle, flow of liquid, high temperature |
| 8 | Microwave assisted | Very versatile, quick process time, narrow size distribution of particle | Low yield, need of microwave transparent reacting media |
| 9 | Molten Salt | Simple synthesis Low temperature | Low yield Longer time |
| 10 | Ceramic | Size control | Medium yield High temperature |
| X | Lattice Constant A (Å) | Crystallite Size D (nm) | Bulk Density ρm (g/cm3) | X-Ray Density ρx (g/cm3) | Relative Density ρr (%) |
|---|---|---|---|---|---|
| 0 | 8.411 | 48 | 4.62 | 5.14 | 90 |
| 0.05 | 8.406 | 48 | 4.97 | 5.18 | 96 |
| 0.10 | 8.417 | 49 | 4.88 | 5.20 | 94 |
| 0.15 | 8.394 | 52 | 4.96 | 5.28 | 94 |
| 0.20 | 8.411 | 49 | 4.86 | 5.29 | 92 |
| 0.25 | 8.414 | 49 | 4.94 | 5.32 | 93 |
| Element | Mg0.25−xCoxCu0.25Zn0.5Fe2O4 (Atomic %) | |||||
|---|---|---|---|---|---|---|
| X = 0 | X = 0.05 | X = 0.10 | X = 0.15 | X = 0.20 | X = 0.25 | |
| Mg | 3.96 | 3.16 | 2.40 | 1.76 | 0.87 | - |
| Co | - | 0.77 | 1.61 | 2.48 | 3.10 | 4.27 |
| Cu | 4.14 | 4.17 | 4.39 | 4.29 | 4.50 | 4.36 |
| Zn | 8.37 | 8.18 | 8.29 | 7.83 | 8.27 | 8.63 |
| Fe | 31.97 | 32.67 | 32.10 | 33.19 | 34.83 | 34.99 |
| O | 51.56 | 51.05 | 51.21 | 50.45 | 48.43 | 47.75 |
| X | TEM-Avg. Particle Size (nm) | Activation Energy (eV) | Curie Temperature (°C) | |
|---|---|---|---|---|
| Ferro | Para | |||
| 0 | 314 | 0.35 | 0.55 | 131 |
| 0.05 | 118 | 0.39 | 0.60 | 160 |
| 0.10 | 226 | 0.36 | 0.60 | 167 |
| 0.15 | 255 | 0.39 | 0.64 | 192 |
| 0.20 | 195 | 0.41 | 0.68 | 210 |
| 0.25 | 299 | 0.24 | 0.51 | 232 |
| X | Ms (emu/g) | Mr/Ms | nBExpt. | ρR (%) | Hc (G) | D (µm) | TC (°C) χa.c. |
|---|---|---|---|---|---|---|---|
| 0.00 | 42 | 0.0076 | 1.76 | 90 | 6.97 | 0.9 | 138 |
| 0.05 | 43 | 0.010 | 1.98 | 96 | 10.01 | 1.40 | 168 |
| 0.10 | 45 | 0.011 | 1.91 | 94 | 11.30 | 0.97 | 171 |
| 0.15 | 50 | 0.012 | 2.11 | 94 | 14.13 | 0.95 | 175 |
| 0.20 | 63 | 0.013 | 2.77 | 92 | 13.16 | 0.80 | 181 |
| 0.25 | 51 | 0.016 | 2.11 | 93 | 17.86 | 1.21 | 187 |
| X | Permeability | Ms (emu/g) | K1 × 104 (erg/mL) | ||
|---|---|---|---|---|---|
| Initial µi | Rotational µrot | Wall µw | |||
| 0.00 | 1398 | 12 | 1257 | 42 | −2.50 |
| 0.05 | 2730 | 30 | 2437 | 43 | 12.63 |
| 0.10 | 466 | 13 | 935 | 45 | 27.83 |
| 0.15 | 565 | 11 | 738 | 50 | 43.03 |
| 0.20 | 563 | 13 | 562 | 63 | 58.23 |
| 0.25 | 464 | 11 | 355 | 51 | 73.43 |
| X | µih | µic. | ∆µi |
|---|---|---|---|
| 0.00 | 1678 | 1689 | 11 |
| 0.05 | 2589 | 2601 | 12 |
| 0.10 | 1087 | 1099 | 12 |
| 0.15 | 1300 | 1334 | 34 |
| 0.20 | 834 | 892 | 58 |
| 0.25 | 800 | 890 | 90 |
Publisher’s Note: MDPI stays neutral with regard to jurisdictional claims in published maps and institutional affiliations. |
© 2020 by the authors. Licensee MDPI, Basel, Switzerland. This article is an open access article distributed under the terms and conditions of the Creative Commons Attribution (CC BY) license (http://creativecommons.org/licenses/by/4.0/).
Share and Cite
Thorat, L.M.; Nadargi, D.Y.; Tamboli, M.S.; Al-Enizi, A.M.; Kambale, R.C.; Shaikh, S.F.; Suryavanshi, S.S.; Ubaidullah, M.; Nafady, A.; Al-Abdrabalnabia, M.A. Co2+ Substituted Spinel MgCuZn Ferrimagnetic Oxide: A Highly Versatile Electromagnetic Material via a Facile Molten Salt Route. Nanomaterials 2020, 10, 2333. https://doi.org/10.3390/nano10122333
Thorat LM, Nadargi DY, Tamboli MS, Al-Enizi AM, Kambale RC, Shaikh SF, Suryavanshi SS, Ubaidullah M, Nafady A, Al-Abdrabalnabia MA. Co2+ Substituted Spinel MgCuZn Ferrimagnetic Oxide: A Highly Versatile Electromagnetic Material via a Facile Molten Salt Route. Nanomaterials. 2020; 10(12):2333. https://doi.org/10.3390/nano10122333
Chicago/Turabian StyleThorat, Lankeshwar M., Digambar Y. Nadargi, Mohaseen S. Tamboli, Abdullah M. Al-Enizi, Rahul C. Kambale, Shoyebmohamad F. Shaikh, Shard S. Suryavanshi, Mohd Ubaidullah, Ayman Nafady, and Mohammed A. Al-Abdrabalnabia. 2020. "Co2+ Substituted Spinel MgCuZn Ferrimagnetic Oxide: A Highly Versatile Electromagnetic Material via a Facile Molten Salt Route" Nanomaterials 10, no. 12: 2333. https://doi.org/10.3390/nano10122333
APA StyleThorat, L. M., Nadargi, D. Y., Tamboli, M. S., Al-Enizi, A. M., Kambale, R. C., Shaikh, S. F., Suryavanshi, S. S., Ubaidullah, M., Nafady, A., & Al-Abdrabalnabia, M. A. (2020). Co2+ Substituted Spinel MgCuZn Ferrimagnetic Oxide: A Highly Versatile Electromagnetic Material via a Facile Molten Salt Route. Nanomaterials, 10(12), 2333. https://doi.org/10.3390/nano10122333

