Twin Domain Structure in Magnetically Doped Bi2Se3 Topological Insulator
Abstract
1. Introduction
2. Methods
3. Results and Discussion
3.1. Inter Twin Plane Interactions
3.1.1. Structure without Disorder
3.1.2. Native and Magnetic Defects
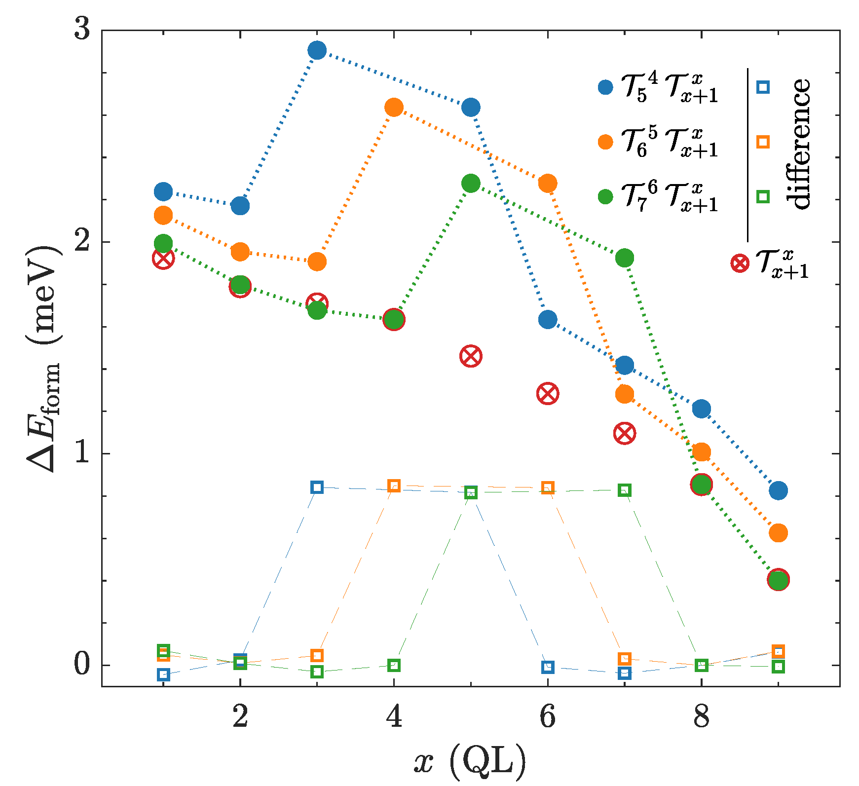
3.2. Twin Plane Formation under Chemical Disorder
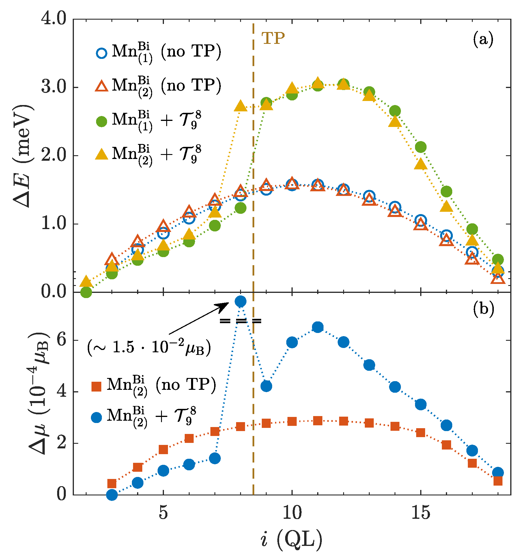
3.3. Magnetic Dopants Behavior
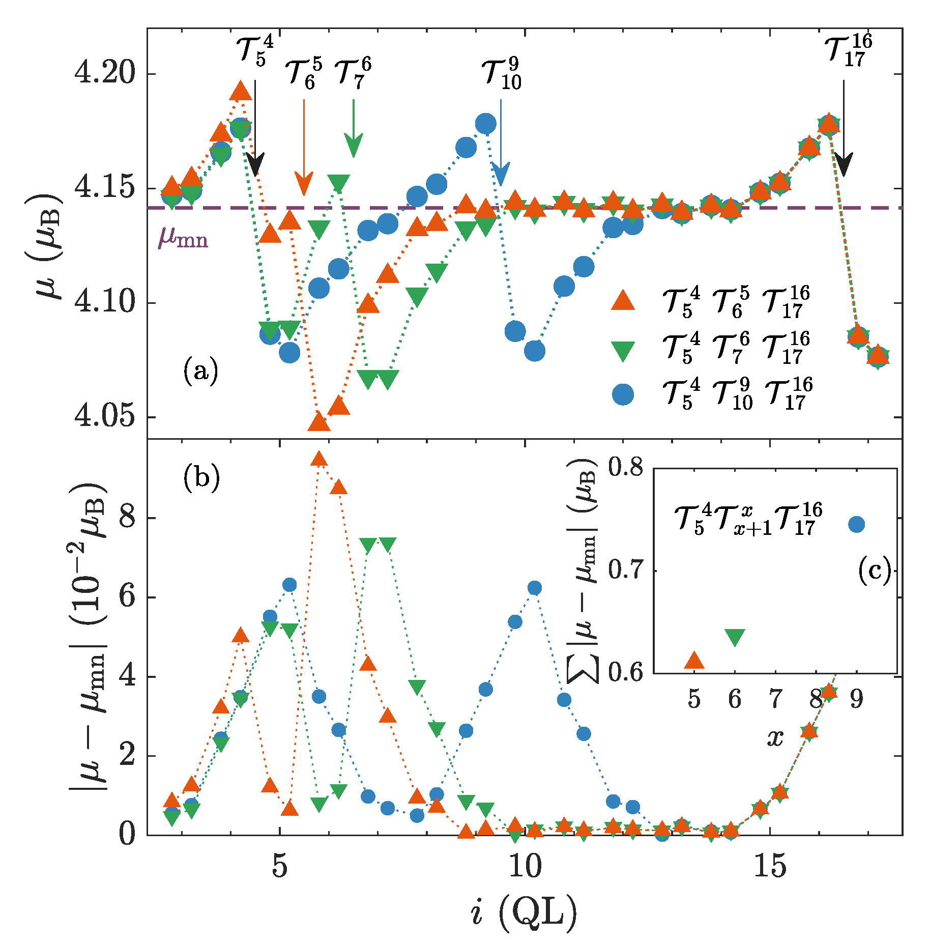
3.4. Comparison of Different TP Orientations
3.5. Surface States
4. Conclusions
Author Contributions
Funding
Acknowledgments
Conflicts of Interest
Appendix A. Single TP Distribution


References
- Bansil, A.; Lin, H.; Das, T. Colloquium: Topological band theory. Rev. Mod. Phys. 2016, 88, 021004. [Google Scholar] [CrossRef]
- Xia, Y.; Qian, D.; Hsieh, D.; Wray, L.; Pal, A.; Lin, H.; Bansil, A.; Grauer, D.; Hor, Y.S.; Cava, R.J.; et al. Observation of a large-gap topological-insulator class with a single Dirac cone on the surface. Nat. Phys. 2009, 5, 398–402. [Google Scholar] [CrossRef]
- Qi, X.L.; Zhang, S.C. Topological insulators and superconductors. Rev. Mod. Phys. 2011, 83, 1057–1110. [Google Scholar] [CrossRef]
- Hsieh, D.; Xia, Y.; Qian, D.; Wray, L.; Meier, F.; Dil, J.H.; Osterwalder, J.; Patthey, L.; Fedorov, A.V.; Lin, H.; et al. Observation of Time-Reversal-Protected Single-Dirac-Cone Topological-Insulator States in Bi2Te3 and Sb2Te3. Phys. Rev. Lett. 2009, 103, 146401. [Google Scholar] [CrossRef] [PubMed]
- Hasan, M.Z.; Kane, C.L. Colloquium: Topological insulators. Rev. Mod. Phys. 2010, 82, 3045–3067. [Google Scholar] [CrossRef]
- Zhang, Y.; He, K.; Chang, C.Z.; Song, C.L.; Wang, L.L.; Chen, X.; Jia, J.F.; Fang, Z.; Dai, X.; Shan, W.Y.; et al. Crossover of the three-dimensional topological insulator Bi2Se3 to the two-dimensional limit. Nat. Phys. 2010, 6, 584–588. [Google Scholar] [CrossRef]
- Cayssol, J. Introduction to Dirac materials and topological insulators. C. R. Phys. 2013, 14, 760–778. [Google Scholar] [CrossRef]
- Zhang, H.; Liu, C.X.; Qi, X.L.; Dai, X.; Fang, Z.; Zhang, S.C. Topological insulators in Bi2Se3, Bi2Te3 and Sb2Te3 with a single Dirac cone on the surface. Nat. Phys. 2009, 5, 438–442. [Google Scholar] [CrossRef]
- Freitas, R.R.Q.; de Brito Mota, F.; Rivelino, R.; de Castilho, C.M.C.; Kakanakova-Georgieva, A.; Gueorguiev, G.K. Tuning band inversion symmetry of buckled III-Bi sheets by halogenation. Nanotechnology 2016, 27, 055704. [Google Scholar] [CrossRef]
- Bernevig, B.; Hughes, T. Topological Insulators and Topological Superconductors; Princeton University Press: Princeton, NJ, USA, 2013. [Google Scholar]
- Ortmann, F.; Roche, S.; Valenzuela, S. Topological Insulators: Fundamentals and Perspectives; Wiley-VCH: Weinheim, Germany, 2015. [Google Scholar]
- König, M.; Wiedmann, S.; Brüne, C.; Roth, A.; Buhmann, H.; Molenkamp, L.W.; Qi, X.L.; Zhang, S.C. Quantum Spin Hall Insulator State in HgTe Quantum Wells. Science 2007, 318, 766–770. [Google Scholar] [CrossRef] [PubMed]
- Wray, L.A.; Xu, S.Y.; Xia, Y.; Hsieh, D.; Fedorov, A.V.; Hor, Y.S.; Cava, R.J.; Bansil, A.; Lin, H.; Hasan, M.Z. A topological insulator surface under strong Coulomb, magnetic and disorder perturbations. Nat. Phys. 2010, 7, 32–37. [Google Scholar] [CrossRef]
- Xu, S.Y.; Neupane, M.; Liu, C.; Zhang, D.; Richardella, A.; Andrew Wray, L.; Alidoust, N.; Leandersson, M.; Balasubramanian, T.; Sánchez-Barriga, J.; et al. Hedgehog spin texture and Berry’s phase tuning in a magnetic topological insulator. Nat. Phys. 2012, 8, 616–622. [Google Scholar] [CrossRef]
- Chen, Y.L.; Chu, J.H.; Analytis, J.G.; Liu, Z.K.; Igarashi, K.; Kuo, H.H.; Qi, X.L.; Mo, S.K.; Moore, R.G.; Lu, D.H.; et al. Massive Dirac Fermion on the Surface of a Magnetically Doped Topological Insulator. Science 2010, 329, 659–662. [Google Scholar] [CrossRef] [PubMed]
- Chang, C.Z.; Zhang, J.; Liu, M.; Zhang, Z.; Feng, X.; Li, K.; Wang, L.L.; Chen, X.; Dai, X.; Fang, Z.; et al. Thin Films of Magnetically Doped Topological Insulator with Carrier-Independent Long-Range Ferromagnetic Order. Adv. Mater. 2013, 25, 1065–1070. [Google Scholar] [CrossRef] [PubMed]
- Carva, K.; Kudrnovský, J.; Máca, F.; Drchal, V.; Turek, I.; Baláž, P.; Tkáč, V.; Holý, V.; Sechovský, V.; Honolka, J. Electronic and transport properties of the Mn-doped topological insulator Bi2Te3: A first-principles study. Phys. Rev. B 2016, 93, 214409. [Google Scholar] [CrossRef]
- Máca, F.; Kudrnovský, J.; Baláž, P.; Drchal, V.; Carva, K.; Turek, I. Tetragonal CuMnAs alloy: Role of defects. J. Magn. Magn. Mater. 2019, 474, 467–471. [Google Scholar] [CrossRef]
- Zhang, W.; Yu, R.; Zhang, H.J.; Dai, X.; Fang, Z. First-principles studies of the three-dimensional strong topological insulators Bi2Te3, Bi2Se3 and Sb2Te3. New J. Phys. 2010, 12, 065013. [Google Scholar] [CrossRef]
- Lee, Y.; Punugupati, S.; Wu, F.; Jin, Z.; Narayan, J.; Schwartz, J. Evidence for topological surface states in epitaxial Bi2Se3 thin film grown by pulsed laser deposition through magneto-transport measurements. Curr. Opin. Solid State Mater. Sci. 2014, 18, 279–285. [Google Scholar] [CrossRef]
- Kriegner, D.; Harcuba, P.; Veselý, J.; Lesnik, A.; Bauer, G.; Springholz, G.; Holý, V. Twin domain imaging in topological insulator Bi2Te3 and Bi2Se3 epitaxial thin films by scanning X-ray nanobeam microscopy and electron backscatter diffraction. J. Appl. Crystallogr. 2017, 50, 369–377. [Google Scholar] [CrossRef]
- Eremeev, S.V.; Vergniory, M.G.; Menshchikova, T.V.; Shaposhnikov, A.A.; Chulkov, E.V. The effect of van der Waal’s gap expansions on the surface electronic structure of layered topological insulators. New J. Phys. 2012, 14, 113030. [Google Scholar] [CrossRef]
- Zhang, J.M.; Ming, W.; Huang, Z.; Liu, G.B.; Kou, X.; Fan, Y.; Wang, K.L.; Yao, Y. Stability, electronic, and magnetic properties of the magnetically doped topological insulators Bi2Se3, Bi2Te3, and Sb2Te3. Phys. Rev. B 2013, 88, 235131. [Google Scholar] [CrossRef]
- Hor, Y.S.; Roushan, P.; Beidenkopf, H.; Seo, J.; Qu, D.; Checkelsky, J.G.; Wray, L.A.; Hsieh, D.; Xia, Y.; Xu, S.Y.; et al. Development of ferromagnetism in the doped topological insulator Bi2-xMnxTe3. Phys. Rev. B 2010, 81, 195203. [Google Scholar] [CrossRef]
- Zhang, J.M.; Zhu, W.; Zhang, Y.; Xiao, D.; Yao, Y. Tailoring Magnetic Doping in the Topological Insulator Bi2Se3. Phys. Rev. Lett. 2012, 109, 266405. [Google Scholar] [CrossRef] [PubMed]
- Ghasemi, A.; Kepaptsoglou, D.; Figueroa, A.I.; Naydenov, G.A.; Hasnip, P.J.; Probert, M.I.J.; Ramasse, Q.; van der Laan, G.; Hesjedal, T.; Lazarov, V.K. Experimental and density functional study of Mn doped Bi2Te3 topological insulator. APL Mater. 2016, 4, 126103. [Google Scholar] [CrossRef]
- Figueroa, A.I.; van der Laan, G.; Collins-McIntyre, L.J.; Cibin, G.; Dent, A.J.; Hesjedal, T. Local Structure and Bonding of Transition Metal Dopants in Bi2Se3 Topological Insulator Thin Films. J. Phys. Chem. C 2015, 119, 17344–17351. [Google Scholar] [CrossRef]
- Rienks, E.D.L.; Wimmer, S.; Sánchez-Barriga, J.; Caha, O.; Mandal, P.S.; Ruzicka, J.; Ney, A.; Steiner, H.; Volobuev, V.V.; Groiss, H.; et al. Large magnetic gap at the Dirac point in Bi2Te3/MnBi2Te4 heterostructures. Nature 2019, 576, 423–428. [Google Scholar] [CrossRef]
- Růžička, J.; Caha, O.; Holý, V.; Steiner, H.; Volobuiev, V.; Ney, A.; Bauer, G.; Duchoň, T.; Veltruská, K.; Khalakhan, I.; et al. Structural and electronic properties of manganese-doped Bi2Te3 epitaxial layers. New J. Phys. 2015, 17, 013028. [Google Scholar] [CrossRef]
- Carva, K.; Baláž, P.; Šebesta, J.; Turek, I.; Kudrnovský, J.; Máca, F.; Drchal, V.; Chico, J.; Sechovský, V.; Honolka, J. Magnetic properties of Mn-doped Bi2Se3 topological insulators: Ab initio calculations. Phys. Rev. B 2020, 101, 054428. [Google Scholar] [CrossRef]
- Ptok, A.; Kapcia, K.J.; Ciechan, A. Electronic properties of Bi2Se3 dopped by 3d transition metal (Mn, Fe, Co, or Ni) ions. J. Phys. Condens. Matter 2020. [Google Scholar] [CrossRef]
- Wei, X.; Zhang, J.; Zhao, B.; Zhu, Y.; Yang, Z. Ferromagnetism in Fe-doped Bi2Se3 topological insulators with Se vacancies. Phys. Lett. A 2015, 379, 417–420. [Google Scholar] [CrossRef]
- Hor, Y.S.; Richardella, A.; Roushan, P.; Xia, Y.; Checkelsky, J.G.; Yazdani, A.; Hasan, M.Z.; Ong, N.P.; Cava, R.J. p-type Bi2Se3 for topological insulator and low-temperature thermoelectric applications. Phys. Rev. B 2009, 79, 195208. [Google Scholar] [CrossRef]
- Scanlon, D.O.; King, P.D.C.; Singh, R.P.; de la Torre, A.; Walker, S.M.; Balakrishnan, G.; Baumberger, F.; Catlow, C.R.A. Controlling Bulk Conductivity in Topological Insulators: Key Role of Anti-Site Defects. Adv. Mater. 2012, 24, 2154–2158. [Google Scholar] [CrossRef] [PubMed]
- Wolos, A.; Drabinska, A.; Borysiuk, J.; Sobczak, K.; Kaminska, M.; Hruban, A.; Strzelecka, S.G.; Materna, A.; Piersa, M.; Romaniec, M.; et al. High-spin configuration of Mn in Bi2Se3 three-dimensional topological insulator. J. Magn. Magn. Mater. 2016, 419, 301–308. [Google Scholar] [CrossRef]
- Huang, F.T.; Chu, M.W.; Kung, H.H.; Lee, W.L.; Sankar, R.; Liou, S.C.; Wu, K.K.; Kuo, Y.K.; Chou, F.C. Nonstoichiometric doping and Bi antisite defect in single crystal Bi2Se3. Phys. Rev. B 2012, 86, 081104. [Google Scholar] [CrossRef]
- Miao, L.; Xu, Y.; Zhang, W.; Older, D.; Breitweiser, S.A.; Kotta, E.; He, H.; Suzuki, T.; Denlinger, J.D.; Biswas, R.R.; et al. Observation of a topological insulator Dirac cone reshaped by non-magnetic impurity resonance. NPJ Quantum Mater. 2018, 3, 29. [Google Scholar] [CrossRef]
- Sánchez-Barriga, J.; Varykhalov, A.; Springholz, G.; Steiner, H.; Kirchschlager, R.; Bauer, G.; Caha, O.; Schierle, E.; Weschke, E.; Ünal, A.A.; et al. Nonmagnetic band gap at the Dirac point of the magnetic topological insulator (Bi(1-x)Mnx)2Se3. Nat. Commun. 2016, 7, 10559. [Google Scholar] [CrossRef]
- Medlin, D.L.; Yang, N.Y.C. Interfacial Step Structure at a (0001) Basal Twin in Bi2Te3. J. Electron. Mater. 2012, 41, 1456–1464. [Google Scholar] [CrossRef]
- Medlin, D.L.; Ramasse, Q.M.; Spataru, C.D.; Yang, N.Y.C. Structure of the (0001) basal twin boundary in Bi2Te3. J. Appl. Phys. 2010, 108, 043517. [Google Scholar] [CrossRef]
- Tarakina, N.V.; Schreyeck, S.; Luysberg, M.; Grauer, S.; Schumacher, C.; Karczewski, G.; Brunner, K.; Gould, C.; Buhmann, H.; Dunin-Borkowski, R.E.; et al. Suppressing Twin Formation in Bi2Se3 Thin Films. Adv. Mater. Interfaces 2014, 1, 1400134. [Google Scholar] [CrossRef]
- Levy, I.; Garcia, T.A.; Shafique, S.; Tamargo, M.C. Reduced twinning and surface roughness of Bi2Se3 and Bi2Te3 layers grown by molecular beam epitaxy on sapphire substrates. J. Vac. Sci. Technol. B 2018, 36, 02D107. [Google Scholar] [CrossRef]
- Aramberri, H.; Cerdá, J.I.; Muñoz, M.C. Tunable Dirac Electron and Hole Self-Doping of Topological Insulators Induced by Stacking Defects. Nano Lett. 2015, 15, 3840–3844. [Google Scholar] [CrossRef] [PubMed]
- Skriver, H.L. The LMTO Method: Muffin-Tin Orbitals and Electronic Structure; Springer: Berlin, Germnay, 2012. [Google Scholar]
- Turek, I.; Drchal, V.; Kudrnovsky, J.; Sob, M.; Weinberger, P. Electronic Structure of Disordered Alloys, Surfaces and Interfaces; Kluwer: Boston, MA, USA, 1997. [Google Scholar]
- Vosko, S.H.; Wilk, L.; Nusair, M. Accurate spin-dependent electron liquid correlation energies for local spin density calculations: A critical analysis. Can. J. Phys. 1980, 58, 1200–1211. [Google Scholar] [CrossRef]
- Freitas, R.R.Q.; de Brito Mota, F.; Rivelino, R.; de Castilho, C.M.C.; Kakanakova-Georgieva, A.; Gueorguiev, G.K. Spin-orbit-induced gap modification in buckled honeycomb XBi and XBi3 (X=B, Al, Ga, and In) sheets. J. Phys. Condens. Matter 2015, 27, 485306. [Google Scholar] [CrossRef] [PubMed]
- Korzhavyi, P.A.; Ruban, A.V.; Abrikosov, I.A.; Skriver, H.L. Madelung energy for random metallic alloys in the coherent potential approximation. Phys. Rev. B 1995, 51, 5773–5780. [Google Scholar] [CrossRef]
- Velický, B.; Kirkpatrick, S.; Ehrenreich, H. Single-Site Approximations in the Electronic Theory of Simple Binary Alloys. Phys. Rev. 1968, 175, 747–766. [Google Scholar] [CrossRef]
- Kudrnovský, J.; Drchal, V.; Blaas, C.; Weinberger, P.; Turek, I.; Bruno, P. Ab initio theory of perpendicular magnetotransport in metallic multilayers. Phys. Rev. B 2000, 62, 15084–15095. [Google Scholar] [CrossRef]
- Turek, I.; Kudrnovský, J.; Šob, M.; Drchal, V.; Weinberger, P. Ferromagnetism of Imperfect Ultrathin Ru and Rh Films on a Ag(001) Substrate. Phys. Rev. Lett. 1995, 74, 2551–2554. [Google Scholar] [CrossRef]
- Kudrnovský, J.; Drchal, V.; Turek, I.; Dederichs, P.; Weinberger, P.; Bruno, P. Ab initio theory of perpendicular transport in layered magnetic systems. J. Magnetism Magn. Mater. 2002, 240, 177–179. [Google Scholar] [CrossRef]
- Spedding, F.H.; Daane, A.H.; Herrmann, K.W. The crystal structures and lattice parameters of high-purity scandium, yttrium and the rare earth metals. Acta Crystallogr. 1956, 9, 559–563. [Google Scholar] [CrossRef]
- Vališka, M.; Warmuth, J.; Michiardi, M.; Vondráček, M.; Ngankeu, A.S.; Holý, V.; Sechovský, V.; Springholz, G.; Bianchi, M.; Wiebe, J.; et al. Topological insulator homojunctions including magnetic layers: The example of n-p type (n-QLs Bi2Se3/Mn-Bi2Se3) heterostructures. Appl. Phys. Lett. 2016, 108, 262402. [Google Scholar] [CrossRef]
- Liechtenstein, A.; Katsnelson, M.; Antropov, V.; Gubanov, V. Local spin density functional approach to the theory of exchange interactions in ferromagnetic metals and alloys. J. Magn. Magn. Mater. 1987, 67, 65–74. [Google Scholar] [CrossRef]
- Turek, I.; Kudrnovský, J.; Drchal, V.; Bruno, P. Exchange interactions, spin waves, and transition temperatures in itinerant magnets. Philos. Mag. 2006, 86, 1713–1752. [Google Scholar] [CrossRef]
- Polyakov, A.; Meyerheim, H.L.; Crozier, E.D.; Gordon, R.A.; Mohseni, K.; Roy, S.; Ernst, A.; Vergniory, M.G.; Zubizarreta, X.; Otrokov, M.M.; et al. Surface alloying and iron selenide formation in Fe/Bi2Se3(0001) observed by x-ray absorption fine structure experiments. Phys. Rev. B 2015, 92, 045423. [Google Scholar] [CrossRef]
- Alexandre, S.S.; Anglada, E.; Soler, J.M.; Yndurain, F. Magnetism of two-dimensional defects in Pd: Stacking faults, twin boundaries, and surfaces. Phys. Rev. B 2006, 74, 054405. [Google Scholar] [CrossRef]












Publisher’s Note: MDPI stays neutral with regard to jurisdictional claims in published maps and institutional affiliations. |
© 2020 by the authors. Licensee MDPI, Basel, Switzerland. This article is an open access article distributed under the terms and conditions of the Creative Commons Attribution (CC BY) license (http://creativecommons.org/licenses/by/4.0/).
Share and Cite
Šebesta, J.; Carva, K.; Kriegner, D.; Honolka, J. Twin Domain Structure in Magnetically Doped Bi2Se3 Topological Insulator. Nanomaterials 2020, 10, 2059. https://doi.org/10.3390/nano10102059
Šebesta J, Carva K, Kriegner D, Honolka J. Twin Domain Structure in Magnetically Doped Bi2Se3 Topological Insulator. Nanomaterials. 2020; 10(10):2059. https://doi.org/10.3390/nano10102059
Chicago/Turabian StyleŠebesta, Jakub, Karel Carva, Dominik Kriegner, and Jan Honolka. 2020. "Twin Domain Structure in Magnetically Doped Bi2Se3 Topological Insulator" Nanomaterials 10, no. 10: 2059. https://doi.org/10.3390/nano10102059
APA StyleŠebesta, J., Carva, K., Kriegner, D., & Honolka, J. (2020). Twin Domain Structure in Magnetically Doped Bi2Se3 Topological Insulator. Nanomaterials, 10(10), 2059. https://doi.org/10.3390/nano10102059

