Influence of Electric Field on Proliferation Activity of Human Dermal Fibroblasts
Abstract
:1. Introduction
2. Materials and Methods
2.1. Characterization of PI + Gr Composite Films
2.2. In Vitro Studies of Cell Behavior
2.3. Study of the Influence of Electrostimulation on Vital Functions of Cells
3. Results and Discussion
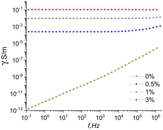
3.1. Electrical Properties of the Graphene-Containing Films on the Basis of R-BAPB
3.2. Volt-Ampere Characteristic of the Graphene-Containing R-BAPB Films
3.3. Analysis of Biocompatibility of the Composite Films
3.4. Electrostimulation of Human Dermal Fibroblasts
4. Conclusions
Author Contributions
Funding
Institutional Review Board Statement
Informed Consent Statement
Data Availability Statement
Conflicts of Interest
References
- Chen, C.; Bai, X.; Ding, Y.; Lee, I.-S. Electrical Stimulation as a Novel Tool for Regulating Cell Behavior in Tissue Engineering. Biomater. Res. 2019, 23, 25. [Google Scholar] [CrossRef] [PubMed] [Green Version]
- Titushkin, I.; Cho, M. Regulation of Cell Cytoskeleton and Membrane Mechanics by Electric Field: Role of Linker Proteins. Biophys. J. 2009, 96, 717–728. [Google Scholar] [CrossRef] [PubMed] [Green Version]
- Rouabhia, M.; Park, H.; Meng, S.; Derbali, H.; Zhang, Z. Electrical Stimulation Promotes Wound Healing by Enhancing Dermal Fibroblast Activity and Promoting Myofibroblast Transdifferentiation. PLoS ONE 2013, 8, e71660. [Google Scholar] [CrossRef] [PubMed] [Green Version]
- Korupalli, C.; Li, H.; Nguyen, N.; Mi, F.-L.; Chang, Y.; Lin, Y.-J.; Sung, H.-W. Conductive Materials for Healing Wounds: Their Incorporation in Electroactive Wound Dressings, Characterization, and Perspectives. Adv. Healthc. Mater. 2021, 10, 2001384. [Google Scholar] [CrossRef]
- Dong, R.; Ma, P.X.; Guo, B. Conductive Biomaterials for Muscle Tissue Engineering. Biomaterials 2020, 229, 119584. [Google Scholar] [CrossRef]
- Balint, R.; Cassidy, N.J.; Cartmell, S.H. Conductive Polymers: Towards a Smart Biomaterial for Tissue Engineering. Acta Biomater. 2014, 10, 2341–2353. [Google Scholar] [CrossRef]
- Dobrovolskaya, I.P.; Yudin, V.E.; Popryadukhin, P.V.; Ivan’kova, E.M. Polymer Scaffolds for Tisue Engineering; Mediapapir: St. Petersburg, Russia, 2018; p. 232. [Google Scholar]
- Yudin, V.E.; Dobrovolskaya, I.P.; Neelov, I.M.; Dresvyanina, E.N.; Popryadukhin, P.V.; Ivan’kova, E.M.; Elokhovskii, V.Y.; Kasatkin, I.A.; Okrugin, B.M.; Morganti, P. Wet Spinning of Fibers Made of Chitosan and Chitin Nanofibrils. Carbohydr. Polym. 2014, 108, 176–182. [Google Scholar] [CrossRef]
- Dobrovolskaya, I.P.; Yudin, V.E.; Popryadukhin, P.V.; Ivan’kova, E.M.; Shabunin, A.S.; Kasatkin, I.A.; Morgantie, P. Effect of Chitin Nanofibrils on Electrospinning of Chitosan-Based Composite Nanofibers. Carbohydr. Polym. 2018, 194, 260–266. [Google Scholar] [CrossRef]
- Ivan’kova, E.M.; Dobrovolskaya, I.P.; Popryadukhin, P.V.; Kryukov, A.; Yudin, V.E.; Morganti, P. In-Situ Cryo-SEM Investigation of Porous Structure Formation of Chitosan Sponges. Polym. Test. 2016, 52, 41–45. [Google Scholar] [CrossRef]
- Chan, C.K.; Kumar, T.S.S.; Liao, S.; Murugan, R.; Ngiam, M.; Ramakrishnan, S. Biomimetic Nanocomposites for Bone Graft Applications. Nanomedicine 2006, 1, 177–188. [Google Scholar] [CrossRef]
- Alghamdi, H.M.; Abutalib, M.M.; Rajeh, A.; Mannaa, M.A.; Nur, O.; Abdelrazek, E.M. Effect of the Fe2O3/TiO2 Nanoparticles on the Structural, Mechanical, Electrical Properties and Antibacterial Activity of the Biodegradable Chitosan/Polyvinyl Alcohol Blend for Food Packaging. J. Polym. Environ. 2022. [Google Scholar] [CrossRef]
- Ahmed, M.K.; Mansour, S.F.; Al-Wafi, R.; Menazea, A.A. Composition and Design of Nanofibrous Scaffolds of Mg/Se- Hydroxyapatite/Graphene Oxide @ ε-Polycaprolactone for Wound Healing Applications. J. Mater. Res. Technol. 2020, 9, 7472–7485. [Google Scholar] [CrossRef]
- Hassan, S.M.; Ahmed, A.I.; Mannaa, M.A. Structural, Photocatalytic, Biological and Catalytic Properties of SnO2/TiO2 Nanoparticles. Ceram. Int. 2018, 44, 6201–6211. [Google Scholar] [CrossRef]
- Farea, M.O.; Abdelghany, A.M.; Meikhail, M.S.; Oraby, A.H. Effect of Cesium Bromide on the Structural, Optical, Thermal and Electrical Properties of Polyvinyl Alcohol and Polyethylene Oxide. J. Mater. Res. Technol. 2020, 9, 1530–1538. [Google Scholar] [CrossRef]
- Algethami, N.; Rajeh, A.; Ragab, H.M.; Tarabiah, A.E.; Gami, F. Characterization, Optical, and Electrical Properties of Chitosan/Polyacrylamide Blend Doped Silver Nanoparticles. J. Mater. Sci. Mater. Electron. 2022, 33, 10645–10656. [Google Scholar] [CrossRef]
- Asnag, G.M.; Oraby, A.H.; Abdelghany, A.M. Effect of Gamma-Irradiation on the Structural, Optical and Electrical Properties of PEO/Starch Blend Containing Different Concentrations of Gold Nanoparticles. Radiat. Eff. Defects Solids 2019, 174, 579–595. [Google Scholar] [CrossRef]
- Abdelghany, A.M.; Oraby, A.H.; Asnag, G.M. Structural, Thermal and Electrical Studies of Polyethylene Oxide/Starch Blend Containing Green Synthesized Gold Nanoparticles. J. Mol. Struct. 2019, 1180, 15–25. [Google Scholar] [CrossRef]
- Xue, H.; Wang, X.; Xu, Q.; Dhaouadi, F.; Sellaoui, L.; Seliem, M.K.; Ben Lamine, A.; Belmabrouk, H.; Bajahzar, A.; Bonilla-Petriciolet, A.; et al. Adsorption of Methylene Blue from Aqueous Solution on Activated Carbons and Composite Prepared from an Agricultural Waste Biomass: A Comparative Study by Experimental and Advanced Modeling Analysis. Chem. Eng. J. 2022, 430, 132801. [Google Scholar] [CrossRef]
- Hamza, M.F.; Abdel-Rahman, A.A.-H.; Hawata, M.A.; El Araby, R.; Guibal, E.; Fouda, A.; Wei, Y.; Hamad, N.A. Functionalization of Magnetic Chitosan Microparticles—Comparison of Trione and Trithione Grafting for Enhanced Silver Sorption and Application to Metal Recovery from Waste X-ray Photographic Films. J. Environ. Chem. Eng. 2022, 10, 107939. [Google Scholar] [CrossRef]
- Karkhani, R.; Javanbakht, V. A Polyurethane Foam Membrane Filled with Double Cross-Linked Chitosan/Carboxymethyl Cellulose Gel and Decorated with ZSM-5 Nano Zeolite: Simultaneous Dye Removal. Int. J. Biol. Macromol. 2022, 213, 699–717. [Google Scholar] [CrossRef]
- Malhotra, B.D.; Ali, M.A. Biopolymeric Nanostructures. In Nanomaterials for Biosensors; Elsevier: Amsterdam, The Netherlands, 2018. [Google Scholar] [CrossRef]
- Matrenichev, V.V.; Shishov, M.A.; Popryadukhin, P.V.; Sapurina, I.Y.; Ivan’kova, E.M.; Dobrovol’skaya, I.P.; Yudin, V.E. Preparation of Conducting Composite Materials Based on Polymer Nanofibers and Polypyrrole. Russ. J. Appl. Chem. 2017, 90, 1680–1685. [Google Scholar] [CrossRef]
- Matrenichev, V.V.; Popryadukhin, P.V.; Kryukov, A.E.; Smirnova, N.V.; Ivan’kova, E.M.; Dobrovol’skaya, I.P.; Yudin, V.E. Properties of Film Materials Based on Composite Nanofibers from Aliphatic Copolyamide and Carbon Nanotubes for Tissue Engineering. Polym. Sci. Ser. A 2018, 60, 215–221. [Google Scholar] [CrossRef]
- Popov, G.I.; Kryukov, A.E.; Popryadukhin, P.V.; Naschekina, Y.A.; Ivankova, E.M.; Vavilov, V.N.; Yudin, V.E.; Smirnova, N.V. Optimal Methods of Cell Seeding and Cultivation on a Poly(L-Lactide) Biodegradable Scaffold. Cell Tissue Biol. 2018, 12, 359–366. [Google Scholar] [CrossRef]
- Nethi, S.K.; Das, S.; Patra, C.R.; Mukherjee, S. Recent Advances in Inorganic Nanomaterials for Wound-Healing Applications. Biomater. Sci. 2019, 7, 2652–2674. [Google Scholar] [CrossRef]
- Sreeprasad, T.S.; Berry, V. How Do the Electrical Properties of Graphene Change with Its Functionalization? Small 2013, 9, 341–350. [Google Scholar] [CrossRef]
- MacDiarmid, A.G. Synthetic Metals: A Novel Role for Organic Polymers. Synth. Met. 2001, 125, 11–22. [Google Scholar] [CrossRef]
- Guo, B.; Glavas, L.; Albertsson, A.-C. Biodegradable and Electrically Conducting Polymers for Biomedical Applications. Prog. Polym. Sci. 2013, 38, 1263–1286. [Google Scholar] [CrossRef]
- Urie, R.; Ghosh, D.; Ridha, I.; Rege, K. Inorganic Nanomaterials for Soft Tissue Repair and Regeneration. Annu. Rev. Biomed. Eng. 2018, 20, 353–374. [Google Scholar] [CrossRef] [PubMed]
- Kaushik, M.; Niranjan, R.; Thangam, R.; Madhan, B.; Pandiyarasan, V.; Ramachandran, C.; Oh, D.; Venkatasubbu, G.D. Investigations on the Antimicrobial Activity and Wound Healing Potential of ZnO Nanoparticles. Appl. Surf. Sci. 2019, 479, 1169–1177. [Google Scholar] [CrossRef]
- Wu, M.; Zhang, Z.; Liu, Z.; Zhang, J.; Zhang, Y.; Ding, Y.; Huang, T.; Xiang, D.; Wang, Z.; Dai, Y.; et al. Piezoelectric Nanocomposites for Sonodynamic Bacterial Elimination and Wound Healing. Nano Today 2021, 37, 101104. [Google Scholar] [CrossRef]
- Chen, C.-Y.; Yin, H.; Chen, X.; Chen, T.-H.; Liu, H.-M.; Rao, S.-S.; Tan, Y.-J.; Qian, Y.-X.; Liu, Y.-W.; Hu, X.-K.; et al. Ångstrom-Scale Silver Particle–Embedded Carbomer Gel Promotes Wound Healing by Inhibiting Bacterial Colonization and Inflammation. Sci. Adv. 2020, 6, eaba0942. [Google Scholar] [CrossRef]
- Talikowska, M.; Fu, X.; Lisak, G. Application of Conducting Polymers to Wound Care and Skin Tissue Engineering: A Review. Biosens. Bioelectron. 2019, 135, 50–63. [Google Scholar] [CrossRef]
- Karim, R.; Abdurahman Al-Ahmari, M.; Dar, M.A.; Aijaz, M.O.; Mollah, M.L.; Ajayan, P.M.; Yeum, J.H.; Kim, K. Conducting and Biopolymer Based Electrospun Nanofiber Membranes for Wound Healing Applications. Curr. Nanosci. 2016, 12, 220–227. [Google Scholar] [CrossRef]
- Long, Y.; Wei, H.; Li, J.; Yao, G.; Yu, B.; Ni, D.; Gibson, A.L.; Lan, X.; Jiang, Y.; Cai, W.; et al. Effective Wound Healing Enabled by Discrete Alternative Electric Fields from Wearable Nanogenerators. ACS Nano 2018, 12, 12533–12540. [Google Scholar] [CrossRef] [Green Version]
- Thakral, G.; LaFontaine, J.; Najafi, B.; Talal, T.K.; Kim, P.; Lavery, L.A. Electrical Stimulation to Accelerate Wound Healing. Diabet. Foot Ankle 2013, 4. [Google Scholar] [CrossRef]
- Song, B.; Gu, Y.; Pu, J.; Reid, B.; Zhao, Z.; Zhao, M. Application of Direct Current Electric Fields to Cells and Tissues in Vitro and Modulation of Wound Electric Field in Vivo. Nat. Protoc. 2007, 2, 1479–1489. [Google Scholar] [CrossRef]
- Sikorski, P. Electroconductive Scaffolds for Tissue Engineering Applications. Biomater. Sci. 2020, 8, 5583–5588. [Google Scholar] [CrossRef]
- Constantin, C.P.; Aflori, M.; Damian, R.F.; Rusu, R.D. Biocompatibility of Polyimides: A Mini-Review. Materials 2019, 12, 3166. [Google Scholar] [CrossRef] [Green Version]
- Vaganov, G.; Didenko, A.; Ivan’kova, E.; Popova, E.; Yudin, V.; Elokhovskii, V.; Lasota, I. Development of New Polyimide Powder for Selective Laser Sintering. J. Mater. Res. 2019, 34, 2895–2902. [Google Scholar] [CrossRef]
- Bolotin, K.I.; Sikes, K.J.; Jiang, Z.; Klima, M.; Fudenberg, G.; Hone, J.; Kim, P.; Stormer, H.L. Ultrahigh Electron Mobility in Suspended Graphene. Solid State Commun. 2008, 146, 351–355. [Google Scholar] [CrossRef] [Green Version]
- Nair, R.R.; Blake, P.; Grigorenko, A.N.; Novoselov, K.S.; Booth, T.J.; Stauber, T.; Peres, N.M.R.; Geim, A.K. Fine Structure Constant Defines Visual Transparency of Graphene. Science 2008, 320, 1308. [Google Scholar] [CrossRef] [PubMed] [Green Version]
- Falkovich, S.G.; Nazarychev, V.M.; Larin, S.V.; Kenny, J.M.; Lyulin, S.V. Mechanical Properties of a Polymer at the Interface Structurally Ordered by Graphene. J. Phys. Chem. C 2016, 120, 6771–6777. [Google Scholar] [CrossRef]
- Ma, L.; Wang, Y.; Wang, Y.; Wang, C.; Zhuang, G. Polyimide Nanocomposites with Reduced Graphene Oxide for Enhanced Thermal Conductivity and Tensile Strength. Mater. Res. Express 2020, 6, 125346. [Google Scholar] [CrossRef]
- Dai, W.; Yu, J.; Wang, Y.; Song, Y.; Bai, H.; Nishimura, K.; Liao, H.; Jiang, N. Enhanced Thermal and Mechanical Properties of Polyimide/Graphene Composites. Macromol. Res. 2014, 22, 983–989. [Google Scholar] [CrossRef]
- Yoonessi, M.; Gaier, J.R.; Sahimi, M.; Daulton, T.L.; Kaner, R.B.; Meador, M.A. Fabrication of Graphene–Polyimide Nanocomposites with Superior Electrical Conductivity. ACS Appl. Mater. Interfaces 2017, 9, 43230–43238. [Google Scholar] [CrossRef]
- Savchenko, A.; Yin, R.T.; Kireev, D.; Efimov, I.R.; Molokanova, E. Graphene-Based Scaffolds: Fundamentals and Applications for Cardiovascular Tissue Engineering. Front. Bioeng. Biotechnol. 2021, 9, 797340. [Google Scholar] [CrossRef]
- Nilforoushzadeh, M.A.; Ashtiani, H.R.A.; Jaffary, F.; Jahangiri, F.; Nikkhah, N.; Mahmoudbeyk, M.; Fard, M.; Ansari, Z.; Zare, S. Dermal Fibroblast Cells: Biology and Function in Skin Regeneration. J. Ski. Stem Cell 2017, 4, e69080. [Google Scholar] [CrossRef] [Green Version]
- Kolbe, K.A.; Shihov, M.A.; Yu, S.I.; Smirnova, N.V.; Kodolova-Chukhontseva, V.V.; Dresvyanina, E.N.; Kamalov, A.M.; Yudin, V.E. Electrical stimulation of human dermal fibroblasts on conducting matrix. Tech. Phys. 2021, 91, 2059–2066. [Google Scholar] [CrossRef]
- Stefanowicz-Hajduk, J.; Ochocka, J.R. Real-Time Cell Analysis System in Cytotoxicity Applications: Usefulness and Comparison with Tetrazolium Salt Assays. Toxicol. Rep. 2020, 7, 335–344. [Google Scholar] [CrossRef]
- Kho, D.; MacDonald, C.; Johnson, R.; Unsworth, C.; O’Carroll, S.; Mez, E.; Angel, C.; Graham, E. Application of XCELLigence RTCA Biosensor Technology for Revealing the Profile and Window of Drug Responsiveness in Real Time. Biosensors 2015, 5, 199–222. [Google Scholar] [CrossRef] [Green Version]
- Borisova, M.E.; Kamalov, A.M.; Smirnova, V.E.; Yudin, V.E. Effect of the Degree of Crystallinity on Charge Relaxation in a Polyimide. Polym. Sci. Ser. A 2018, 60, 278–283. [Google Scholar] [CrossRef]
- Berridge, M.V.; Herst, P.M.; Tan, A.S. Tetrazolium Dyes as Tools in Cell Biology: New Insights into Their Cellular Reduction. Biotechnol. Annu. Rev. 2005, 11, 127–152. [Google Scholar] [CrossRef]
- Kloth, L.C. Electrical Stimulation Technologies for Wound Healing. Adv. Wound Care 2014, 3, 81–90. [Google Scholar] [CrossRef] [Green Version]
- Song, B.; Zhao, M.; Forrester, J.; McCaig, C. Nerve Regeneration and Wound Healing Are Stimulated and Directed by an Endogenous Electrical Field In Vivo. J. Cell Sci. 2004, 117, 4681–4690. [Google Scholar] [CrossRef] [Green Version]
- Nuccitelli, R.; Nuccitelli, P.; Ramlatchan, S.; Sanger, R.; Smith, P.J.S. Imaging the Electric Field Associated with Mouse and Human Skin Wounds. Wound Repair Regen. 2008, 16, 432–441. [Google Scholar] [CrossRef] [Green Version]
- Meng, S.; Rouabhia, M.; Zhang, Z. Electrical Stimulation and Cellular Behaviors in Electric Field in Biomedical Research. Materials 2021, 15, 165. [Google Scholar] [CrossRef]










Publisher’s Note: MDPI stays neutral with regard to jurisdictional claims in published maps and institutional affiliations. |
© 2022 by the authors. Licensee MDPI, Basel, Switzerland. This article is an open access article distributed under the terms and conditions of the Creative Commons Attribution (CC BY) license (https://creativecommons.org/licenses/by/4.0/).
Share and Cite
Kamalov, A.; Shishov, M.; Smirnova, N.; Kodolova-Chukhontseva, V.; Dobrovol’skaya, I.; Kolbe, K.; Didenko, A.; Ivan’kova, E.; Yudin, V.; Morganti, P. Influence of Electric Field on Proliferation Activity of Human Dermal Fibroblasts. J. Funct. Biomater. 2022, 13, 89. https://doi.org/10.3390/jfb13030089
Kamalov A, Shishov M, Smirnova N, Kodolova-Chukhontseva V, Dobrovol’skaya I, Kolbe K, Didenko A, Ivan’kova E, Yudin V, Morganti P. Influence of Electric Field on Proliferation Activity of Human Dermal Fibroblasts. Journal of Functional Biomaterials. 2022; 13(3):89. https://doi.org/10.3390/jfb13030089
Chicago/Turabian StyleKamalov, Almaz, Mikhail Shishov, Natalia Smirnova, Vera Kodolova-Chukhontseva, Irina Dobrovol’skaya, Konstantin Kolbe, Andrei Didenko, Elena Ivan’kova, Vladimir Yudin, and Pierfrancesco Morganti. 2022. "Influence of Electric Field on Proliferation Activity of Human Dermal Fibroblasts" Journal of Functional Biomaterials 13, no. 3: 89. https://doi.org/10.3390/jfb13030089
APA StyleKamalov, A., Shishov, M., Smirnova, N., Kodolova-Chukhontseva, V., Dobrovol’skaya, I., Kolbe, K., Didenko, A., Ivan’kova, E., Yudin, V., & Morganti, P. (2022). Influence of Electric Field on Proliferation Activity of Human Dermal Fibroblasts. Journal of Functional Biomaterials, 13(3), 89. https://doi.org/10.3390/jfb13030089

