Intelligent Academic Specialties Selection in Higher Education for Ukrainian Entrants: A Recommendation System
Abstract
:1. Introduction
- There is an inevitable information overload with information about lots of educational programs.
- The lack of a single system capable of meeting the information needs of entrants and helping to determine the most appropriate higher school.
- Complete or partial incomprehension of how the acquired knowledge will allow professional and personal development.
- Education type.
- Academic aspect covered with the recommender system.
- Target audience.
- Methods for the recommender system development.
- Platform to serve the users.
- Do not know about other less popular but in-demand specialties.
- These well-known and favored ones seem pretty exciting and promising.
- Do not understand labor market trends and demand for existing academic university specialties.
2. Literature Review
2.1. Preferred Reporting Items for Systematic Reviews (PRISMA) Analysis
- Publication Years: 2017–2022.
- Document Types: Articles.
- Access: Open Access.
- Languages: English.
- Knowledge-based recommender system (Barabash et al. 2021; Barón et al. 2015; Bin-Noor et al. 2021; Brunello and Wruuck 2021);
- E-learning and distance learning (Bukralia et al. 2015; Burman et al. 2021; Casselman 2021; Chahal et al. 2020);
- Inter-professional education (Cheng 2017);
- Network course recommendation system (Cinquin et al. 2019; Dhar and Jodder 2020; Dolgikh 2021; Ehimwenma and Krishnamoorthy 2021);
- Modern information communication technologies in the higher education sector (El Gourari et al. 2021; Elahi et al. 2022; Ellyatt 2021; Elumalai et al. 2019);
- Transformation of education during the COVID-19 pandemic (Erridge 2006; Ezz and Elshenawy 2020; Fedushko and Ustyianovych 2020);
- Personalized recommendation system for learning resources (Habib et al. 2021; Ibrahim et al. 2019; Karan and Asgari 2021; Khan and Ramzan 2018; Khosravi et al. 2021);
- Artificial intelligence techniques for education tasks solving (Kim Rosemary et al. 2014; Levchenko et al. 2020);
- Machine learning techniques for education tasks (Korzh et al. 2014; Lee and Jung 2021; Li and Kim 2021; Mansouri et al. 2021);
- Self-learning systems development (Márquez-Vera et al. 2016; Mircea et al. 2021; Muljana and Luo 2019);
- Mobile Computing Education System (O’Neill 2018; OECD iLibrary 2022);
- Internet of Things in higher education environment (Olszewski and Siegel 2019).
2.2. Recent Studies Analysis
- Close contacts of the entrant (parents, friends, and various acquaintanceships);
- University representatives, in particular professionals responsible for vocational guidance;
- Official pages of a Higher Education Institution and its structural subdivisions in social networks;
- Official websites of a Higher Education Institution;
- Printed sources of information (leaflets, flyers, and magazines) about the educational institution and its programs;
- Web forums and online blogs with ratings, descriptions of Higher Education Institutions, and academic programs;
- Channels with educational information in online communication services (e.g., Telegram, Slack);
- Conferences, meetings, career guidance events, and open days.
- Transition to distance learning.
- Rapid development of computing capabilities.
- The need to modernize education.
- Development and availability of cloud computing.
- Big data opportunities for academic process optimization.
3. Materials and Methods
3.1. Data and User Specifics
3.2. Data Processing within the Recommendation System
4. Results
4.1. 2021 University Admission Campaign Analysis
- What are the most/least popular specialties among university entrants in Ukraine?
- According to the government, what are the percentages of applications and entrants admitted to study in specialties with special state support status, i.e., in demand?
- Which period of the admission campaign is the most emphasized for entrants to get into university?
- How to increase the probability of being admitted to a state-funded place?
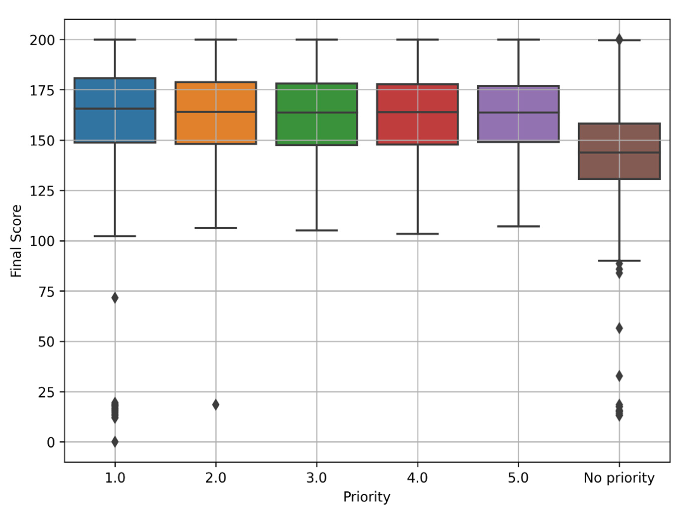
- Is there a statistically significant difference among entrants admitted within various priorities?
- Submit as many applications as possible to the tuition-free form.
- Set priorities correctly.
- Get the highest possible final competitive score.
4.2. Association Rules Mining
- What specialty Xj to recommend to entrants who applied for Xi?
- What alternative specialties can an entrant apply for, given his current choice? How to display it in a data set?
- What is the relationship between the admission probability and specialty itemsets?
- generate reports on specialties selection among entrants for internal use to gain insights about university admission campaigns, share them with the development team and all other subjects interested in this topic (academic departments, faculties, and universities) at their request.
- Build a model for specialty selection based on this technique. Its validation and comparison with other furtherly developed models might be performed using methods such as A/B Testing.
- Entrants who choose popular specialties tend to choose the same popular alternatives.
- In 98% of cases, entrants choose alternative specialties from the same field; we did not find an itemset with humanitarian and natural or technical specialties.
- We found several associative rules that contain technical and managerial specialties; this reflects the market need for managers with technical backgrounds or technology workers with advanced management skills.
- The choice of alternative specialties among entrants is exceptionally high-quality but needs improvement.
- Many entrants do not understand the difference between similar specialties in one field; correspondingly, they tend to apply for as many as possible with the exact keywords in these specialty names.
5. Discussion
- The entrant purposefully seeks to acquire a specific profession.
- This specific industry is considered popular, and an entrant no longer sees alternatives.
6. Conclusions
- Develop automated solutions to find similar and alternative specialties.
- Carry out data augmentation of a successfully selected specialties itemset to provide better and more unique, personalized recommendations to entrants.
- Identify and increase entrants’ awareness when choosing a place to study.
Author Contributions
Funding
Institutional Review Board Statement
Informed Consent Statement
Data Availability Statement
Acknowledgments
Conflicts of Interest
References
- Agarwal, Abhinav, Divyansh Shankar Mishra, and Sucheta V. Kolekar. 2022. Knowledge-based recommendation system using semantic web rules based on Learning styles for MOOCs. Cogent Engineering 9: 1. [Google Scholar] [CrossRef]
- Alakbarov, Rashid G. 2021. Challenges of Mobile Devices’ Resources and in Communication Channels and their Solutions. International Journal of Computer Network and Information Security 13: 39–46. [Google Scholar] [CrossRef]
- Allayarova, Solikha N. 2019. Implementation of modern information communication technologies (ICT) in higher education sector: International experience and the example of Uzbekistan. International Journal of Innovative Technology and Exploring Engineering 9: 386–92. [Google Scholar] [CrossRef]
- Asare, Andy Ohemeng, Robin Yap, Ngoc Truong, and Eric Ohemeng Sarpong. 2021. The pandemic semesters: Examining public opinion regarding online learning amidst COVID-19. Journal of Computer Assisted Learning 37: 1591–605. [Google Scholar] [CrossRef] [PubMed]
- Barabash, Oleg, Andrii Musienko, Spartak Hohoniants, Oleksand Laptiev, Oleg Salash, Yevgen Rudenko, and Alla Klochko. 2021. Comprehensive Methods of Evaluation of Efficiency of Distance Learning System Functioning. International Journal of Computer Network and Information Security 13: 16–28. [Google Scholar] [CrossRef]
- Barón, Holman Bolívar, Rubén González Crespo, Jordán Pascual Espada, and Oscar Sanjuán Martínez. 2015. Assessment of learning in environments interactive through fuzzy cognitive maps. Soft Computing 19: 1037–50. [Google Scholar] [CrossRef]
- Bin-Noor, Mohaimen, Zahiduddin Ahmed, Dip Nandi, and Mashiour Rahman. 2021. Investigation of Facilities for an M-learning Environment. International Journal of Modern Education and Computer Science 13: 34–48. [Google Scholar] [CrossRef]
- Brunello, Giorgio, and Patricia Wruuck. 2021. Skill shortages and skill mismatch: A review of the literature. Journal of Economic Surveys 35: 1145–67. [Google Scholar] [CrossRef]
- Bukralia, Rajeev, Amit V. Deokar, and Surendra Sarnikar. 2015. Using academic analytics to predict dropout risk in e-Learning courses. In Reshaping Society through Analytics, Collaboration, and Decision Support. Cham: Springer, pp. 67–93. [Google Scholar]
- Burman, Iti, Som Subhranil, and Hossain Syed Akhter. 2021. Model for Analyzing Psychological Parameters Recommending Student Learning Behaviour using Machine Learning. International Journal of Computing and Digital Systems 10: 973–90. [Google Scholar] [CrossRef]
- Casselman, Ben. 2021. The Economic Rebound Is Still Waiting for Workers. The New York Times. October 19. Available online: https://www.nytimes.com/2021/10/19/business/economy/us-economy.html (accessed on 16 April 2022).
- Chahal, Dheeraj, Ravi Ojha, Sharod Roy Choudhury, and Manoj Nambiar. 2020. Migrating a Recommendation System to Cloud Using ML Workflow. Paper presented at Companion of the ACM/SPEC International Conference on Performance Engineering (ICPE ‘20), Edmonton, AB, Canada, April 25–30; New York: Association for Computing Machinery, pp. 1–4. [Google Scholar] [CrossRef]
- Cheng, Jiechao. 2017. Data-mining research in education. arXiv arXiv:1703.10117. [Google Scholar]
- Cinquin, Pierre-Antoine, Pascal Guitton, and Hélène Sauzéon. 2019. Online e-learning and cognitive disabilities: A systematic review. Computers and Education 130: 152–67. [Google Scholar] [CrossRef] [Green Version]
- Dhar, Joy, and Asoke Kumar Jodder. 2020. An effective recommendation system to forecast the best educational program using machine learning classification algorithms. Ingenierie des Systemes d’Information 25: 559–68. [Google Scholar] [CrossRef]
- Dolgikh, Serge. 2021. Categorization in Unsupervised Generative Self-learning Systems. International Journal of Modern Education and Computer Science 13: 68–78. [Google Scholar] [CrossRef]
- Ehimwenma, Kennedy E., and Sujatha Krishnamoorthy. 2021. Design and analysis of a multi-agent e-learning system using prometheus design tool. IAES International Journal of Artificial Intelligence 10: 9–23. [Google Scholar] [CrossRef]
- El Gourari, Abdelali, Mustapha Raoufi, Mohammed Skouri, and Fahd Ouatik. 2021. The Implementation of Deep Reinforcement Learning in E-Learning and Distance Learning: Remote Practical Work. Mobile Information Systems 2021: 9959954. [Google Scholar] [CrossRef]
- Elahi, Mehdi, Alain Starke, Nabil El Ioini, Anna Alexander Lambrix, and Christoph Trattner. 2022. Developing and Evaluating a University Recommender System. Frontiers in Artificial Intelligence 4: 796268. [Google Scholar] [CrossRef] [PubMed]
- Ellyatt, Holly. 2021. There Are Millions of Jobs, but a Shortage of Workers: Economists Explain Why That’s Worrying. CNBC. October 20. Available online: https://www.cnbc.com/2021/10/20/global-shortage-of-workers-whats-going-on-experts-explain.html (accessed on 16 April 2022).
- Elumalai, Kesavan Vadakalur, Jayendira Sankar, R. Kalaichelvi, Jeena Ann John, Nidhi Menon, Mufleh Salem Alqahtani, and May Abdulaziz Abumelha. 2019. Factors Affecting the Quality of E-Learning during the COVID-19 Pandemic from the Perspective of Higher Education Students. Journal of Information Technology Education: Research 19: 731–53. [Google Scholar] [CrossRef]
- Erridge, P. 2006. The Pareto principle. British Dental Journal 201: 419. [Google Scholar] [CrossRef] [Green Version]
- Ezz, Mohamed, and Ayman Elshenawy. 2020. Adaptive recommendation system using machine learning algorithms for predicting student’s best academic program. Education and Information Technologies 25: 2733–46. [Google Scholar] [CrossRef]
- Fedushko, Solomia, and Taras Ustyianovych. 2020. Predicting Pupil’s Successfulness Factors Using Machine Learning Algorithms and Mathematical Modelling Methods. Advances in Intelligent Systems and Computing 938: 625–36. [Google Scholar] [CrossRef]
- Gao, Jing, Xiao-Guang Yue, Lulu Hao, M. James C. Crabbe, Otilia Manta, and Nelson Duarte. 2021. Optimization Analysis and Implementation of Online Wisdom Teaching Mode in Cloud Classroom Based on Data Mining and Processing. International Journal of Emerging Technologies in Learning (iJET) 16: 205–18. [Google Scholar] [CrossRef]
- Garay-Jiménez, Laura Ivoone, Elena Fabiola Ruiz Ledesma, Enrique Carmona-García, Asucena Lozano Gutiérrez, and Feggy Ostrosky Shejetc. 2021. Evaluation of Attention and Concentration Using Mobile Computing. International Journal on Advanced Science, Engineering and Information Technology 11: 408–16. [Google Scholar] [CrossRef]
- Gil, Manuel, Reem El Sherif, Manon Pluye, Benjamin C. M. Fung, Roland Grad, and Pierre Pluye. 2019. Towards a Knowledge-Based Recommender System for Linking Electronic Patient Records with Continuing Medical Education Information at the Point of Care. IEEE Access 7: 15955–66. [Google Scholar] [CrossRef]
- Habib, Muhammad Nauman, Waseef Jamal, Uzma Khalil, and Zunnoorain Khan. 2021. Transforming universities in interactive digital platform: Case of city university of science and information technology. Education and Information Technologies 26: 517–41. [Google Scholar] [CrossRef]
- Ibrahim, Mohammed E., Yanyan Yang, David L. Ndzi, Guangguang Yang, and Murtadha Al-Maliki. 2019. Ontology-Based Personalized Course Recommendation Framework. IEEE Access 7: 5180–99. [Google Scholar] [CrossRef]
- Karan, Ebrahim, and Sadegh Asgari. 2021. Resilience of food, energy, and water systems to a sudden labor shortage. Environment Systems and Decisions 41: 63–81. [Google Scholar] [CrossRef]
- Khan, Ayaz Muhammad, and Amna Ramzan. 2018. Relationship between Pareto Law and Maxwell’s Stages of Leadership at University Level. Journal of Educational Research 21: 38. [Google Scholar]
- Khosravi, Hassan, Shiva Shabaninejad, Aneesha Bakharia, Shazia Sadiq, Marta Indulska, and Dragan Gašević. 2021. Intelligent Learning Analytics Dashboards: Automated Drill-Down Recommendations to Support Teacher Data Exploration. Journal of Learning Analytics 8: 133–54. [Google Scholar] [CrossRef]
- Kim Rosemary, Olfman Lorne, Ryan Terry, and Eryilmaz Evren. 2014. Leveraging a personalized system to improve self-directed learning in online educational environments. Computers & Education 70: 150–60. [Google Scholar] [CrossRef]
- Korzh, Roman, Andriy Peleschyshyn, Yuriy Syerov, and Solomia Fedushko. 2014. The cataloging of virtual communities of educational thematic. Webology 11: 117. Available online: http://www.webology.org/2014/v11n1/a117.pdf (accessed on 14 June 2014).
- Lee, Jihyun, and Insung Jung. 2021. Instructional changes instigated by university faculty during the COVID-19 pandemic: The effect of individual, course and institutional factors. International Journal of Educational Technology in Higher Education 18: 1. [Google Scholar] [CrossRef]
- Levchenko, Bohdan, Andrii Chukhray, and Dmytro Chumachenko. 2020. Development of Game Modules with Support for Synchronous Multiplayer Based on Unreal Engine 4 Using Artificial Intelligence Approach. In Integrated Computer Technologies in Mechanical Engineering. Advances in Intelligent Systems and Computing. Cham: Springer, vol. 1113. [Google Scholar] [CrossRef]
- Li, Qinglong, and Jaekyeong Kim. 2021. A deep learning-based course recommender system for sustainable development in education. Applied Sciences 11: 8993. [Google Scholar] [CrossRef]
- Mansouri, Taha, Ahad ZareRavasan, and Amir Ashrafi. 2021. A learning fuzzy cognitive map (LFCM) approach to predict student performance. Journal of Information Technology Education: Research 20: 221–43. [Google Scholar] [CrossRef]
- Márquez-Vera, Carlos, Alberto Cano, Cristobal Romero, Amin Yousef Mohammad Noaman, Habib Mousa Fardoun, and Sebastian Ventura. 2016. Early dropout prediction using data mining: A case study with high school students. Expert Systems 33: 107–24. [Google Scholar] [CrossRef]
- Mircea, Marinela, Marian Stoica, and Bogdan Ghilic-Micu. 2021. Investigating the Impact of the Internet of Things in Higher Education Environment. IEEE Access 9: 33396–409. [Google Scholar] [CrossRef]
- Muljana, Pauline Salim, and Tian Luo. 2019. Factors contributing to student retention in online learning and recommended strategies for improvement: A systematic literature review. Journal of Information Technology Education: Research 18: 19–57. [Google Scholar] [CrossRef] [Green Version]
- O’Neill, Kathryn. 2018. Applying the Pareto Principle to the Analysis of Students’ Errors in Grammar, Mechanics and Style. Research in Higher Education Journal 34: 1–12. [Google Scholar]
- OECD iLibrary. 2022. OECD Economic Outlook, Interim Report. Economic and Social Impacts and Policy Implications of the War in Ukraine. March. Available online: www.oecd-ilibrary.org/sites/4181d61b-en/index.html?itemId=/content/publication/4181d61b-en (accessed on 16 April 2022).
- Olszewski, Wojciech, and Ron Siegel. 2019. Pareto Improvements in the Contest for College Admissions. Evanston: Department of Economics, Northwestern University, p. 10. [Google Scholar]
- Pawade, Dipti Yogesh. 2021. Analyzing the Impact of Search Engine Optimization Techniques on Web Development Using Experiential and Collaborative Learning Techniques. International Journal of Modern Education and Computer Science 13: 1–10. [Google Scholar] [CrossRef]
- Prodanova, Jana, Sonia San-Martín, and Estefanía Jerónimo Sánchez-Beato. 2021. Quality Requirements for Continuous Use of E-learning Systems at Public vs. Private Universities in Spain. Digital Education Review 40: 33–50. [Google Scholar] [CrossRef]
- Qassimi, Sara, El Hassan Abdelwahed, Meriem Hafidi, and Aimad Qazdar. 2021. Towards a folksonomy graph-based context-aware recommender system of annotated books. Journal of Big Data 8: 1. [Google Scholar] [CrossRef]
- Ramírez-Montoya, María Soledad, Lucy Andrade-Vargas, Diana Rivera-Rogel, and May Portuguez-Castro. 2021. Trends for the Future of Education Programs for Professional Development. Sustainability 13: 7244. [Google Scholar] [CrossRef]
- Samin, Huma, and Tayyaba Azim. 2019. Knowledge Based Recommender System for Academia Using Machine Learning: A Case Study on Higher Education Landscape of Pakistan. IEEE Access 7: 67081–93. [Google Scholar] [CrossRef]
- Sason, Hava, and Avichai Kellerman. 2021. Teacher-Student Interaction in Distance Learning in Emergency Situations. Journal of Information Technology Education: Research 20: 479–501. [Google Scholar] [CrossRef]
- Sharpe, Conner, Tyler Wiest, Pingfeng Wang, and Carolyn Conner Seepersad. 2019. A comparative evaluation of supervised machine learning classification techniques for engineering design applications. Journal of Mechanical Design, Transactions of the ASME 141: 12. [Google Scholar] [CrossRef]
- Sinclair, Murray, Carys Siemieniuch, and Paul Palmer. 2019. The identification of knowledge gaps in the technologies of cyber-physical systems with recommendations for closing these gaps. Systems Engineering 22: 3–19. [Google Scholar] [CrossRef]
- Soe-aye, S., and M. Rillera. 2022. Readiness for inter-professional education at health sciences: A study of educational technology perspectives. World Journal on Educational Technology 14: 93–102. [Google Scholar] [CrossRef]
- Song, Suling. 2021. Design of personalized teaching resource recommendation system based on wireless communication network. Paper presented at 2021 2nd International Conference on Artificial Intelligence and Information Systems (ICAIIS 2021), Chongqing, China, May 28–30; New York: Association for Computing Machinery, p. 368. [Google Scholar]
- Stukalo, Nataliia, and Maryna Lytvyn. 2021. Towards sustainable development through higher education quality assurance. Education Sciences 11: 664. [Google Scholar] [CrossRef]
- Sulaiman, Mohd Suffian, Amylia Ahamad Tamizi, Mohd Razif Shamsudin, and Azri Azmi. 2019. Course recommendation system using fuzzy logic approach. Indonesian Journal of Electrical Engineering and Computer Science 17: 365–71. [Google Scholar] [CrossRef]
- Tavakoli, Mohammadreza, Abdolali Faraji, Jarno Vrolijk, Mohammadreza Molavi, Stefan T. Mol, and Gábor Kismihók. 2022. An AI-based open recommender system for personalized labor market driven education. Advanced Engineering Informatics 52: 101508. [Google Scholar] [CrossRef]
- Tawafak, Ragad, Ghaliya AlFarsi, Jasiya Jabbar, Sohail Iqbal Malik, Roy Mathew, Abir AlSidiri, Mohanaad Shakir, and Awanis Romli. 2021. Impact of Technologies During COVID-19 Pandemic for Improving Behavior Intention to Use E-learning. International Journal of Interactive Mobile Technologies 15: 184–98. [Google Scholar] [CrossRef]
- The Economist. 2022. Ukraine at War. Available online: https://www.economist.com/ukraine-crisis (accessed on 16 April 2022).
- Tømte, Cathrine Edelhard, Trine Fossland, Per Olaf Aamodt, and Lise Degn. 2019. Digitalisation in higher education: Mapping institutional approaches for teaching and learning. Quality in Higher Education 25: 98–114. [Google Scholar] [CrossRef] [Green Version]
- Tungpantong, Chanin, Prachyanun Nilsook, and Panita Wannapiroon. 2021. A Conceptual Framework of Factors for Information Systems Success to Digital Transformation in Higher Education Institutions. Paper presented at 2021 9th International Conference on Information and Education Technology (ICIET), Okayama, Japan, March 27–29; pp. 57–62. [Google Scholar] [CrossRef]
- Unified State Electronic Database on Education. 2022. Available online: https://info.edbo.gov.ua/ (accessed on 16 April 2022).
- Urdaneta-Ponte, María Cora, Amaia Mendez-Zorrilla, and Ibon Oleagordia-Ruiz. 2021. Recommendation Systems for Education: Systematic Review. Electronics 10: 1611. [Google Scholar] [CrossRef]
- Valkanas, Kristina, and Phedias Diamandis. 2022. Pareto distribution in virtual education: Challenges and opportunities. Canadian Medical Education Journal 13: 102–4. [Google Scholar] [CrossRef]
- Villegas-Ch, William, Santiago Sánchez-Viteri, and Milton Román-Cañizares. 2021. Academic activities recommendation system for sustainable education in the age of COVID-19. Informatics 8: 29. [Google Scholar] [CrossRef]
- Walsh, Reece, Mohamed H. Abdelpakey, Mohamed S. Shehata, and Mostafa M. Mohamed. 2022. Automated human cell classification in sparse datasets using few-shot learning. Scientific Reports 12: 1–11. [Google Scholar] [CrossRef] [PubMed]
- Wang, Yamin. 2022. Research on Online Learner Modeling and Course Recommendation Based on Emotional Factors. Scientific Programming 2022: 5164186. [Google Scholar] [CrossRef]
- Xu, Gongwen, Guangyu Jia, Lin Shi, and Zhijun Zhang. 2021. Personalized Course Recommendation System Fusing with Knowledge Graph and Collaborative Filtering. Computational Intelligence and Neuroscience 2021: 9590502. [Google Scholar] [CrossRef]
- Yahya, Anwar Ali, and Addin Osman. 2019. A data mining-based approach to inform decisions making in engineering education. Computer Applications in Engineering Education 27: 1402–18. [Google Scholar] [CrossRef]
- Zhong, Mingxia, and Rongtao Ding. 2022. Design of a Personalized Recommendation System for Learning Resources based on Collaborative Filtering. International Journal of Circuits, Systems and Signal Processing 16: 122–31. [Google Scholar] [CrossRef]
- Zhou, Jiandong, Xiang Li, Xin Wang, Yunpeng Chai, and Qingpeng Zhang. 2022. Locally weighted factorization machine with fuzzy partition for elderly readmission prediction. Knowledge-Based Systems 242: 108326. [Google Scholar] [CrossRef]
- Zhou, Yuwen, Changqin Huang, Qintai Hu, Jia Zhu, and Yong Tang. 2018. Personalized learning full-path recommendation model based on LSTM neural networks. Information Sciences 444: 135–52. [Google Scholar] [CrossRef]
- Zhu, Qianyao. 2021. Network Course Recommendation System Based on Double-Layer Attention Mechanism. Scientific Programming 2021: 7613511. [Google Scholar] [CrossRef]











| Is Registered to EIT? | Is EIT Been Passed? | At Least One Specialty Is Selected? |
|---|---|---|
| No | No | No |
| No | No | Yes |
| Yes | No | No |
| Yes | No | Yes |
| Yes | Yes | No |
| Yes | Yes | Yes |
| Question | Expected Value | Application |
|---|---|---|
| Desired study fields | Textual proposed definition of industry areas from the list | Identify the key interest fields to the entrant |
| Desired study subfields | One or more suggested text values from the list of subfields | Identify key interest subfields to the entrant |
| The main goal when choosing the specialty | Career opportunities; self-development; interesting academic process; opportunity to engage in a certain type of academic activity; formal need to obtain a degree | Understanding the entrant’s motivation further to improve the service and the appropriate selection of specialties |
| Expectations from the educational process at the university/department | Text data from the entrant. Optional field | Natural language processing (NLP) usage to find the most similar specialties according to the similarity score between their description, keywords, and the entrant’s expectations |
| Technician/Humanitarian preference ratio | A numeric value indicating the entrant’s preferable specialty focus | The selection of specialties depends on their ratio of humanitarian and technical focuses. Also, we can determine whether an entrant is interested in technical, humanitarian specialties, or an intersection of both. |
| Already selected specialties | Specialties the entrant has selected from the dropdown | Find alternative specialties and understand entrants’ motivation and interests. |
| Study format | Online/full-time/part-time | Selection of specialties according to the selected study format |
| Priority on state-funded education | Boolean value (True/False) | Selection and sorting of recommended specialties in descending order of admission probability to study on a state-funded form |
| Estimated budget for tuition per year/total tuition | A numerical value representing acceptable tuition for an entrant per specified period (term/year/multiple years) | Defining specialties that satisfy the entrant’s financial ability |
| Minimum/average/maximum scores in the current/latest educational institution (e.g., secondary school) on a national scale | Separate numerical values. For minimum and maximum scores would be good to provide subject names | Select the most relevant specialties following the success of education in primary school. It will also help determine how a specialty complexity level corresponds to the entrant’s knowledge level |
| Evaluation of the provided recommendations’ relevance | Relevant/Irrelevant OR a numerical value in a specified range | Define user satisfaction for the recommender system |
| Priority | Total Applications | Total Applications % | Admitted Applications | Admitted % Out of Local Category | Admitted % Out of the Total |
|---|---|---|---|---|---|
| 1 | 128,442 | 12.15% | 65,455 | 50.96% | 6.19% |
| 2 | 115,382 | 10.92% | 18,211 | 15.78% | 1.72% |
| 3 | 105,005 | 9.93% | 9263 | 8.82% | 0.87% |
| 4 | 92,550 | 8.75% | 6157 | 6.65% | 0.58% |
| 5 | 79,813 | 7.55% | 4654 | 5.83% | 0.44% |
| No priority | 535,382 | 50.67 | 46,627 | 8.70% | 4.41% |
| Total | 1,056,574 | 100% | 150,367 | - | 14.23% |
| Application(s) Submitted | Total Entrants | Total Entrants % | Admitted Entrants | Admitted % Out of a Local Category | Admitted % Out of the Total |
|---|---|---|---|---|---|
| 1 | 18,562 | 13.69% | 11,561 | 62.28% | 8.53% |
| 2 | 13,144 | 9.69% | 8172 | 62.17% | 6.03% |
| 3 | 13,721 | 10.12% | 9546 | 69.57% | 7.04% |
| 4 | 15,756 | 11.62% | 11,897 | 75.51% | 8.77% |
| 5 | 74,418 | 54.88% | 61,684 | 82.89% | 45.49% |
| Total | 135,601 | 100% | 102,860 | - | 75.86% |
| № | Antecedents | Consequents | Itemset Support | Confidence | Lift |
|---|---|---|---|---|---|
| 1 | Economics | Management | 0.047 | 0.495 | 3.216 |
| 2 | Computer Science | Software Engineering | 0.069 | 0.476 | 4.557 |
| 3 | Computer Engineering | Cybersecurity | 0.035 | 0.428 | 4.570 |
| 4 | Philology | Secondary Education | 0.029 | 0.234 | 1.749 |
| 5 | International Relationships | Philology | 0.028 | 0.513 | 4.089 |
| 6 | Hotel-restaurant Business | Tourism | 0.027 | 0.531 | 8.760 |
| 7 | Journalism | Law | 0.025 | 0.260 | 2.102 |
| 8 | Automation and computer-integration technologies | Computer Science | 0.024 | 0.490 | 3.378 |
| 9 | Accounting and Taxation | Economics | 0.019 | 0.420 | 4.390 |
| 10 | International Law | Law | 0.017 | 0.614 | 4.958 |
| 11 | Applied Mathematics | Computer Science | 0.013 | 0.600 | 4.138 |
| 12 | Cybersecurity | Management | 0.013 | 0.144 | 0.934 |
| 12 | Management | Cybersecurity | 0.013 | 0.087 | 0.934 |
| 13 | System Analysis | Computer Science; Software Engineering | 0.013 | 0.425 | 6.154 |
| 14 | History and Archeology | Political Science | 0.011 | 0.291 | 7.076 |
| 15 | Industrial Engineering | Electric power, electrical engineering and electromechanics | 0.009 | 0.324 | 8.617 |
| 16 | Culturology | Journalism | 0.009 | 0.491 | 4.976 |
| 17 | Biology | Ecology | 0.008 | 0.301 | 7.939 |
| 18 | Finance, banking, and insurance | Cybersecurity | 0.008 | 0.106 | 1.138 |
| 19 | Psychology | Computer Science | 0.007 | 0.074 | 0.516 |
| 20 | Applied Mechanics | Industrial Engineering | 0.007 | 0.369 | 12.892 |
Publisher’s Note: MDPI stays neutral with regard to jurisdictional claims in published maps and institutional affiliations. |
© 2022 by the authors. Licensee MDPI, Basel, Switzerland. This article is an open access article distributed under the terms and conditions of the Creative Commons Attribution (CC BY) license (https://creativecommons.org/licenses/by/4.0/).
Share and Cite
Fedushko, S.; Ustyianovych, T.; Syerov, Y. Intelligent Academic Specialties Selection in Higher Education for Ukrainian Entrants: A Recommendation System. J. Intell. 2022, 10, 32. https://doi.org/10.3390/jintelligence10020032
Fedushko S, Ustyianovych T, Syerov Y. Intelligent Academic Specialties Selection in Higher Education for Ukrainian Entrants: A Recommendation System. Journal of Intelligence. 2022; 10(2):32. https://doi.org/10.3390/jintelligence10020032
Chicago/Turabian StyleFedushko, Solomiia, Taras Ustyianovych, and Yuriy Syerov. 2022. "Intelligent Academic Specialties Selection in Higher Education for Ukrainian Entrants: A Recommendation System" Journal of Intelligence 10, no. 2: 32. https://doi.org/10.3390/jintelligence10020032
APA StyleFedushko, S., Ustyianovych, T., & Syerov, Y. (2022). Intelligent Academic Specialties Selection in Higher Education for Ukrainian Entrants: A Recommendation System. Journal of Intelligence, 10(2), 32. https://doi.org/10.3390/jintelligence10020032
