On the Numerical Analysis of Unsteady MHD Boundary Layer Flow of Williamson Fluid Over a Stretching Sheet and Heat and Mass Transfers
Abstract
1. Introduction
2. Mathematical Formulation
Similarity Transformation
3. Method of Solution
3.1. Quasi-Linearization
3.2. Chebyshev Differentiation
4. Results and Discussions
5. Conclusions
- The SQLM is a very efficient and accurate method.
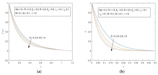
- The fluid velocity and the momentum boundary layer decrease with respective, increases in the Williamson parameter, unsteadiness parameter, magnetic parameter, Eckert number as well as the Prandtl and Schmidt numbers.
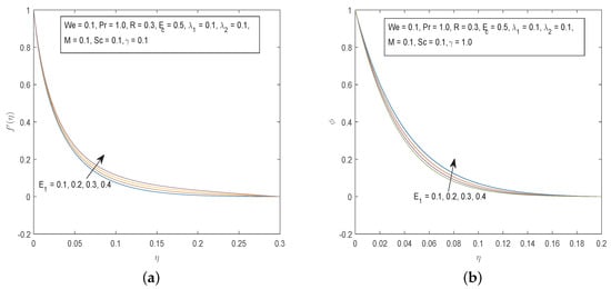
- The fluid velocity and the momentum boundary layer increase with increasing values of the electric parameter, buoyancy parameters, thermal radiation and chemical reaction parameter.
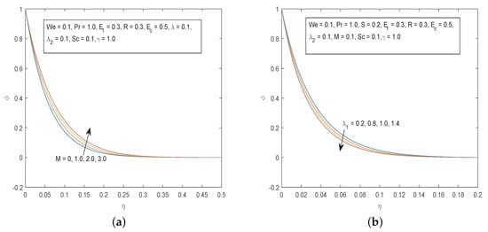
- The fluid temperature increases as the values of the magnetic parameter, thermal radiation parameter, electrical parameter and Eckert number increase.
- The fluid temperature is a decreasing function of the buoyancy parameter, Prandtl number, unsteadiness parameter as well as the Williamson number.
- The stretching parameter, chemical reaction parameter, suction, Schmidt number, buoyancy parameters and the Williamson number were found to reduce the concentration profiles.
- The concentration was observed to be increasing as the values of the magnetic parameter, injection and Eckert number increase.
- The skin friction increases with the increase of the unsteadiness parameter, magnetic parameter, Prandtl number, Schmidt number, chemical reaction parameter, and thermal radiation parameter.
- However, the skin friction decreases with increasing values of the Eckert number, buoyancy parameters, thermal radiation and the Williamson number.
- The wall temperature gradient decreases with the increasing values of the Williamson number, suction, magnetic parameter, chemical reaction parameter, Schmidt number and Eckert number.
- The study observed that the Nusselt number increases with the increase of the unsteadiness parameter, electric parameter, buoyancy parameters, Prandtl number, thermal radiation parameter, and the Williamson number.
- The unsteadiness parameter, magnetic parameter, the Prandtl number and the Williamson number cause the wall concentration gradient to decrease.
- Lastly, the Sherwood number increases as the values of the electric parameter, buoyancy parameters, chemical reaction, Schmidt number, thermal radiation and Eckert number increase.
Author Contributions
Funding
Acknowledgments
Conflicts of Interest
References
- Kahshan, M.; Lu, D.; Rahimi-Gorji, M. Hydrodynamical study of flow in a permeable channel: Application to flat plate dialyzer. Int. J. Hydrogen Energy 2019, 44, 17041–17047. [Google Scholar] [CrossRef]
- Hussanan, A.; Salleh, M.Z.; Tahar, R.; Khan, I. Unsteady Boundary Layer Flow and Heat Transfer of a Casson Fluid past an Oscillating Vertical Plate with Newtonian Heating. PLoS ONE 2014, 9, e108763. [Google Scholar] [CrossRef] [PubMed]
- Cioranescu, D.; Girault, V.; Rajagopal, K.R. Mechanics and Mathematics of Fluids of the Differential Type: Advances in Mechanics and Mathematics; Springer International Publishing: Cham, Switzerland, 2016. [Google Scholar] [CrossRef]
- Miccichè, C.C.; Arrabito, G.; Amato, F.; Buscarino, G.; Agnello, S.; Pignataro, B. Inkjet printing Ag nanoparticles for SERS hot spots. Anal. Methods 2018, 10, 3215–3223. [Google Scholar] [CrossRef]
- Dybowska-Sarapuk, L.; Kielbasinski, K.; Araźna, A.; Futera, K.; Skalski, A.; Janczak, D.; Sloma, M.; Jakubowska, M. Efficient Inkjet Printing of Graphene-Based Elements: Influence of Dispersing Agent on Ink Viscosity. Nanomaterials 2018, 8, 602. [Google Scholar] [CrossRef] [PubMed]
- Mozaffari, S.; Tchoukov, P.; Mozaffari, A.; Atias, J.; Czarnecki, J.; Nazemifard, N. Capillary driven flow in nanochannels—Application to heavy oil rheology studies. Colloids Surf. A Physicochem. Eng. Asp. 2017, 513, 178–187. [Google Scholar] [CrossRef]
- Mozaffari, S.; Li, W.; Dixit, M.; Seifert, S.; Lee, B.; Kovarik, L.; Mpourmpakis, G.; Karim, A.M.; Seifert, S. The role of nanoparticle size and ligand coverage in size focusing of colloidal metal nanoparticles. Nanoscale Adv. 2019, 1, 4052–4066. [Google Scholar] [CrossRef]
- Darjani, S.; Koplik, J.; Banerjee, S.; Pauchard, V. Liquid-hexatic-solid phase transition of a hard-core lattice gas with third neighbor exclusion. J. Chem. Phys. 2019, 151, 104702. [Google Scholar] [CrossRef]
- Xing, X.; Pei, J.; Shen, C.; Li, R.; Zhang, J.; Huang, J.; Hu, D. Performance and Reinforcement Mechanism of Modified Asphalt Binders with Nano-Particles, Whiskers, and Fibers. Appl. Sci. 2019, 9, 2995. [Google Scholar] [CrossRef]
- Elgazery, N.S. Flow of non-Newtonian magneto-fluid with gold and alumina nanoparticles through a non-Darcian porous medium. J. Egypt. Math. Soc. 2019, 27, 1–25. [Google Scholar] [CrossRef]
- Hsiao, K.-L. To promote radiation electrical MHD activation energy thermal extrusion manufacturing system efficiency by using Carreau-Nanofluid with parameters control method. Energy 2017, 130, 486–499. [Google Scholar] [CrossRef]
- Seikh, A.; Akinshilo, A.; Taheri, M.H.; Rahimi-Gorji, M.; Alharthi, N.H.; Khan, I.; Khan, A.R. Influence of the nanoparticles and uniform magnetic fieldon the slip blood flows in arterial vessels. Phys. Scr. 2019, 94, 125218. [Google Scholar] [CrossRef]
- Abdal, S.; Ali, B.; Younas, S.; Ali, L.; Mariam, A. Thermo-Diffusion and Multislip Effects on MHD Mixed Convection Unsteady Flow of Micropolar Nanofluid over a Shrinking/Stretching Sheet with Radiation in the Presence of Heat Source. Symmetry 2019, 12, 49. [Google Scholar] [CrossRef]
- Adesanya, S.O.; Souayeh, B.; Rahimi-Gorji, M.; Khan, M.; Adeyemi, O.G. Heat irreversibiility analysis for a couple stress fluid flow in an inclined channel with isothermal boundaries. J. Taiwan Inst. Chem. Eng. 2019, 101, 251–258. [Google Scholar] [CrossRef]
- Williamson, R.V. The Flow of Pseudoplastic Materials. Ind. Eng. Chem. 1929, 21, 1108–1111. [Google Scholar] [CrossRef]
- Nadeem, S.; Hussain, S.T.; Lee, C. Flow of a Williamson fluid over a stretching sheet. Braz. J. Chem. Eng. 2013, 30, 619–625. [Google Scholar] [CrossRef]
- Nadeem, S.; Hussain, S.T. Heat transfer analysis of Williamson fluid over exponentially stretching surface. Appl. Math. Mech. 2014, 35, 489–502. [Google Scholar] [CrossRef]
- Khan, W.; Gul, T.; Idrees, M.; Islam, S.; Khan, I.; Dennis, L. Thin Film Williamson Nanofluid Flow with Varying Viscosity and Thermal Conductivity on a Time-Dependent Stretching Sheet. Appl. Sci. 2016, 6, 334. [Google Scholar] [CrossRef]
- Khan, M.I.; Alsaedi, A.; Qayyum, S.; Hayat, T. Consequences of Binary Chemically Reactive Flow Configuration of Williamson Fluid with Entropy Optimization and Activation Energy. Int. J. Thermophys. 2019, 40, 94. [Google Scholar] [CrossRef]
- Monica, M.; Sucharitha, J.; Kumar, C.K. Stagnation Point Flow of a Williamson Fluid over a Nonlinearly Stretching Sheet with Thermal Radiation. Am. Chem. Sci. J. 2016, 13, 1–8. [Google Scholar] [CrossRef]
- Malik, M.; Bibi, M.; Khan, F.; Salahuddin, T. Numerical solution of Williamson fluid flow past a stretching cylinder and heat transfer with variable thermal conductivity and heat generation/absorption. AIP Adv. 2016, 6, 35101. [Google Scholar] [CrossRef]
- Mabood, F.; Ibrahim, S.; Lorenzini, G.; Lorenzin, E. Radiation effects on Williamson nanofluid flow over a heated surface with magnetohydrodynamics. Int. J. Heat Technol. 2017, 35, 196–204. [Google Scholar] [CrossRef]
- Dawar, A.; Shah, Z.; Islam, S.; Khan, W.; Idrees, M. An optimal analysis for Darcy–Forchheimer three-dimensional Williamson nanofluid flow over a stretching surface with convective conditions. Adv. Mech. Eng. 2019, 11, 168781401983351. [Google Scholar] [CrossRef]
- Kumar, K.G.; Rudraswamy, N.; Gireesha, B.; Manjunatha, S. Non linear thermal radiation effect on Williamson fluid with particle-liquid suspension past a stretching surface. Results Phys. 2017, 7, 3196–3202. [Google Scholar] [CrossRef]
- Shateyi, S.; Mabood, F.; Lorenzini, G. Casson fluid flow: Free convective heat and mass transfer over an unsteady permeable stretching surface considering viscous dissipation. J. Eng. Thermophys. 2017, 26, 39–52. [Google Scholar] [CrossRef]
- Hayat, T.; Shafiq, A.; Alsaedi, A. Hydromagnetic boundary layer flow of Williamson fluid in the presence of thermal radiation and Ohmic dissipation. Alex. Eng. J. 2016, 55, 2229–2240. [Google Scholar] [CrossRef]
- Khan, M.; Malik, M.; Salahuddin, T.; Rehman, K.; Naseer, M.; Khan, I. MHD flow of Williamson nanofluid over a cone and plate with chemically reactive species. J. Mol. Liq. 2017, 231, 580–588. [Google Scholar] [CrossRef]
- Panezai, A.; Rehman, A.; Sheikh, N.; Iqbal, S.; Ahmed, I.; Iqbal, M.; Zulfiqar, M. Mixed Convective Magnetohydrodynamic Heat Transfer Flow of Williamson Fluid Over a Porous Wedge. Am. J. Math. Comput. Model. 2019, 4, 66–73. [Google Scholar] [CrossRef]
- Huang, C.-J.; Hsu, H.-P.; Ay, H.-C. Influence of mhd on free convection of non-newtonian fluids over a vertical permeable plate in porous media with internal heat generation. Front. Heat Mass Transf. 2019, 13, 14. [Google Scholar] [CrossRef]
- Kebede, T.; Haile, E.; Awgichew, G.; Walelign, T. Heat and Mass Transfer in Unsteady Boundary Layer Flow of Williamson Nanofluids. J. Appl. Math. 2020, 2020, 1–13. [Google Scholar] [CrossRef]
- Reddy, C.S.; Naikoti, K.; Rashidi, M.M. MHD flow and heat transfer characteristics of Williamson nanofluid over a stretching sheet with variable thickness and variable thermal conductivity. Trans. A. Razmadze Math. Inst. 2017, 171, 195–211. [Google Scholar] [CrossRef]
- Megahed, A.M. Williamson fluid flow due to a nonlinearly stretching sheet with viscous dissipation and thermal radiation. J. Egypt. Math. Soc. 2019, 27, 1–10. [Google Scholar] [CrossRef]
- Sakiadis, B.C. Boundary-layer behavior on continuous solid surfaces: I. Boundary-layer equations for two-dimensional and axisymmetric flow. AIChE J. 1961, 7, 26–28. [Google Scholar] [CrossRef]
- Crane, L.J. Flow past a stretching plate. Z. Angew. Math. Phys. (ZAMP) 1970, 21, 645–647. [Google Scholar] [CrossRef]
- Hsiao, K.-L. Stagnation electrical MHD nanofluid mixed convection with slip boundary on a stretching sheet. Appl. Therm. Eng. 2016, 98, 850–861. [Google Scholar] [CrossRef]
- Hsiao, K.-L. Micropolar nanofluid flow with MHD and viscous dissipation effects towards a stretching sheet with multimedia feature. Int. J. Heat Mass Transf. 2017, 112, 983–990. [Google Scholar] [CrossRef]
- Shateyi, S. Numerical analysis of cattaneo-christov heat flux model and mass transfer mhd mixed convection flow of a maxwell fluid over a stretching sheet with soret effects. JP J. Heat Mass Transf. 2018, 15, 675–691. [Google Scholar] [CrossRef]
- Choudhary, S.; Sharma, P.; Makinde, O. MHD slip flow and heat transfer over an exponentially stretching permeable sheet embedded in a porous medium with heat source. Front. Heat Mass Transf. 2017, 9. [Google Scholar] [CrossRef]
- Shamshuddin, M.D.; Chamkha, A.; Thumma, T.; Raju, M. Computation of unsteady mhd mixed convective heat and mass transfer in dissipative reactive micropolar flow considering sorte and dufour effects. Front. Heat Mass Transf. 2018, 10, 4. [Google Scholar] [CrossRef]
- Nagalakshm, P.; Vijaya, N. MHD flow of carreau nanofluid explored using cnt over a nonlinear stretched sheet. Front. Heat Mass Transf. 2020, 14, 1195–1232. [Google Scholar] [CrossRef]
- Vedovoto, J.M.; Serfaty, R.; Neto, A.D.S. Mathematical and Numerical Modeling of Turbulent Flows. Ann. Braz. Acad. Sci. 2015, 87, 1195–1232. [Google Scholar] [CrossRef]
- Motsa, S.S.; Dlamini, P.; Khumalo, M. Spectral Relaxation Method and Spectral Quasilinearization Method for Solving Unsteady Boundary Layer Flow Problems. Adv. Math. Phys. 2014, 2014, 1–12. [Google Scholar] [CrossRef]
- Bellman, R.E.; Kalaba, R.E. Quasilinearization and Nonlinear Boundary-Value Problems; Elsevier: New York, NY, USA, 1965. [Google Scholar]
- Trefethen, L.N. Spectral Methods in MATLAB; SIAM: Philadelphia, PA, USA, 2000. [Google Scholar]












| S | M | Pr | Sc | R | We | ||||||
|---|---|---|---|---|---|---|---|---|---|---|---|
| 0.1 | 0.7 | 0.1 | 0.1 | 0.1 | 1.0 | 0.5 | 0.2 | 0.1 | 0.1 | 0.1 | 1.078951883204829 |
| 0.2 | 1.104506706276102 | ||||||||||
| 0.3 | 1.129271687273391 | ||||||||||
| 0.1 | 0.7 | 0.1 | 0.1 | 0.1 | 1.0 | 0.5 | 0.2 | 0.1 | 0.1 | 0.1 | 1.078951883204829 |
| 0.8 | 1.100265152109772 | ||||||||||
| 0.9 | 1.120409610249936 | ||||||||||
| 0.1 | 0.7 | 0.1 | 0.1 | 0.1 | 1.0 | 0.5 | 0.2 | 0.1 | 0.1 | 0.1 | 1.078951883204829 |
| 0.2 | 1.033110225329453 | ||||||||||
| 0.3 | 0.987166455664011 | ||||||||||
| 0.1 | 0.7 | 0.1 | 0.2 | 0.1 | 1.0 | 0.5 | 0.2 | 0.1 | 0.1 | 0.1 | 1.046544533993518 |
| 0.4 | 0.981494769194006 | ||||||||||
| 0.6 | 0.916019062597979 | ||||||||||
| 0.1 | 0.7 | 0.1 | 0.1 | 0.2 | 1.0 | 0.5 | 0.2 | 0.1 | 0.1 | 0.1 | 1.025760860799882 |
| 0.4 | 0.921685018418928 | ||||||||||
| 0.6 | 0.819005181818752 | ||||||||||
| 0.1 | 0.7 | 0.1 | 0.1 | 0.1 | 2.0 | 0.5 | 0.2 | 0.1 | 0.1 | 0.1 | 1.091693867285284 |
| 3.0 | 1.103983070497612 | ||||||||||
| 4.0 | 1.112467387854574 | ||||||||||
| 0.1 | 0.7 | 0.1 | 0.1 | 0.1 | 1.0 | 1.0 | 0.2 | 0.1 | 0.1 | 0.1 | 1.085984779187155 |
| 2.0 | 1.090279447513868 | ||||||||||
| 3.0 | 1.093114307914497 | ||||||||||
| 0.1 | 0.7 | 0.1 | 0.1 | 0.1 | 1.0 | 0.5 | 0.1 | 0.1 | 0.1 | 0.1 | 1.078951883204829 |
| 0.15 | 1.081939366249072 | ||||||||||
| 0.2 | 1.084395556441141 | ||||||||||
| 0.1 | 0.7 | 0.1 | 0.1 | 0.1 | 1.0 | 0.5 | 0.2 | 0.1 | 0.1 | 0.1 | 1.078951883204829 |
| 0.4 | 1.076840518443974 | ||||||||||
| 0.8 | 1.074763680141721 | ||||||||||
| 0.1 | 0.7 | 0.1 | 0.1 | 0.1 | 1.0 | 0.5 | 0.2 | 0.1 | 1.0 | 0.1 | 1.076389805314664 |
| 2.0 | 1.071224585593461 | ||||||||||
| 3.0 | 1.066003195448882 | ||||||||||
| 0.1 | 0.7 | 0.1 | 0.1 | 0.1 | 1.0 | 0.5 | 0.2 | 0.1 | 0.1 | 0.2 | 0.948884379906569 |
| 0.4 | 0.620322356942535 | ||||||||||
| 0.6 | 0.194330797445648 |
| S | M | Pr | Sc | R | We | ||||||
|---|---|---|---|---|---|---|---|---|---|---|---|
| 0.1 | 0.7 | 0.1 | 0.1 | 0.1 | 1.0 | 0.5 | 0.2 | 0.1 | 0.1 | 0.1 | 0.915860341811270 |
| 0.2 | 1.017901652122212 | ||||||||||
| 0.3 | 1.109121647214719 | ||||||||||
| 0.1 | 0.7 | 0.1 | 0.1 | 0.1 | 1.0 | 0.5 | 0.2 | 0.1 | 0.1 | 0.1 | 0.915860341811270 |
| 0.8 | 0.895915260713988 | ||||||||||
| 0.9 | 0.876756392212799 | ||||||||||
| 0.1 | 0.7 | 0.1 | 0.1 | 0.1 | 1.0 | 0.5 | 0.2 | 0.1 | 0.1 | 0.1 | 0.915860341811270 |
| 0.2 | 0.977894447068897 | ||||||||||
| 0.3 | 1.030403768637055 | ||||||||||
| 0.1 | 0.7 | 0.1 | 0.2 | 0.1 | 1.0 | 0.5 | 0.2 | 0.1 | 0.1 | 0.1 | 0.929041372189117 |
| 0.4 | 0.953439839063926 | ||||||||||
| 0.6 | 0.975582164474820 | ||||||||||
| 0.1 | 0.7 | 0.1 | 0.1 | 0.2 | 1.0 | 0.5 | 0.2 | 0.1 | 0.1 | 0.1 | 0.948908798318697 |
| 0.4 | 1.001281793736204 | ||||||||||
| 0.6 | 1.041796255284524 | ||||||||||
| 0.1 | 0.7 | 0.1 | 0.1 | 0.1 | 2.0 | 0.5 | 0.2 | 0.1 | 0.1 | 0.1 | 1.304303729032015 |
| 3.0 | 1.597280137353339 | ||||||||||
| 4.0 | 1.845769077311545 | ||||||||||
| 0.1 | 0.7 | 0.1 | 0.1 | 0.1 | 1.0 | 1.0 | 0.2 | 0.1 | 0.1 | 0.1 | 0.907214610540086 |
| 2.0 | 0.902204998128932 | ||||||||||
| 3.0 | 0.899080115679210 | ||||||||||
| 0.1 | 0.7 | 0.1 | 0.1 | 0.1 | 1.0 | 0.5 | 0.1 | 0.1 | 0.1 | 0.1 | 0.907214610540086 |
| 0.15 | 0.903342484386425 | ||||||||||
| 0.2 | 0.900478136478512 | ||||||||||
| 0.1 | 0.7 | 0.1 | 0.1 | 0.1 | 1.0 | 0.5 | 0.2 | 0.1 | 0.1 | 0.1 | 0.907214610540086 |
| 0.4 | 0.992636450654252 | ||||||||||
| 0.8 | 1.093677046062223 | ||||||||||
| 0.1 | 0.7 | 0.1 | 0.1 | 0.1 | 1.0 | 0.5 | 0.2 | 0.1 | 1.0 | 0.1 | 0.636725832004835 |
| 1.5 | 0.367594034183057 | ||||||||||
| 3.0 | 0.099808347796939 | ||||||||||
| 0.1 | 0.7 | 0.1 | 0.1 | 0.1 | 1.0 | 0.5 | 0.2 | 0.1 | 0.1 | 0.2 | 0.914843548830036 |
| 0.4 | 0.936472243301972 | ||||||||||
| 0.6 | 0.967724950819449 |
| S | M | Pr | Sc | R | We | ||||||
|---|---|---|---|---|---|---|---|---|---|---|---|
| 0.1 | 0.7 | 0.1 | 0.1 | 0.1 | 1.0 | 0.5 | 0.2 | 0.1 | 0.1 | 0.1 | 0.223598982783657 |
| 0.2 | 0.137162963897435 | ||||||||||
| 0.3 | 0.062147655092748 | ||||||||||
| 0.1 | 0.7 | 0.1 | 0.1 | 0.1 | 1.0 | 0.5 | 0.2 | 0.1 | 0.1 | 0.1 | 0.223598982783657 |
| 0.8 | 0.221909175374051 | ||||||||||
| 0.9 | 0.220302263370217 | ||||||||||
| 0.1 | 0.7 | 0.1 | 0.1 | 0.1 | 1.0 | 0.5 | 0.2 | 0.1 | 0.1 | 0.1 | 0.220302263370217 |
| 0.2 | 0.244356594673201 | ||||||||||
| 0.3 | 0.262718334286973 | ||||||||||
| 0.1 | 0.7 | 0.1 | 0.2 | 0.1 | 1.0 | 0.5 | 0.2 | 0.1 | 0.1 | 0.1 | 0.222825140750917 |
| 0.4 | 0.227598540998689 | ||||||||||
| 0.6 | 0.232071072563289 | ||||||||||
| 0.1 | 0.7 | 0.1 | 0.1 | 0.2 | 1.0 | 0.5 | 0.2 | 0.1 | 0.1 | 0.1 | 0.232796360927152 |
| 0.4 | 0.252429377039816 | ||||||||||
| 0.6 | 0.267886177341174 | ||||||||||
| 0.1 | 0.7 | 0.1 | 0.1 | 0.1 | 2.0 | 0.5 | 0.2 | 0.1 | 0.1 | 0.1 | 0.218996596175997 |
| 3.0 | 0.218382226977623 | ||||||||||
| 4.0 | 0.218017429115231 | ||||||||||
| 0.1 | 0.7 | 0.1 | 0.1 | 0.1 | 1.0 | 1.0 | 0.2 | 0.1 | 0.1 | 0.1 | 0.220049536513613 |
| 2.0 | 1.090279447513868 | ||||||||||
| 3.0 | 1.093114307914497 | ||||||||||
| 0.1 | 0.7 | 0.1 | 0.1 | 0.1 | 1.0 | 0.5 | 0.1 | 0.1 | 0.1 | 0.1 | 0.220049536513613 |
| 0.15 | 0.286846328785100 | ||||||||||
| 0.2 | 0.351830465481003 | ||||||||||
| 0.1 | 0.7 | 0.1 | 0.1 | 0.1 | 1.0 | 0.5 | 0.2 | 0.1 | 0.1 | 0.1 | 0.351830465481003 |
| 0.4 | 0.352601074008495 | ||||||||||
| 0.8 | 0.353544944638484 | ||||||||||
| 0.1 | 0.7 | 0.1 | 0.1 | 0.1 | 1.0 | 0.5 | 0.2 | 0.1 | 1.0 | 0.1 | 0.352768392930626 |
| 2.0 | 0.353807745690575 | ||||||||||
| 3.0 | 0.354844653039502 | ||||||||||
| 0.1 | 0.7 | 0.1 | 0.1 | 0.1 | 1.0 | 0.5 | 0.2 | 0.1 | 0.1 | 0.2 | 0.349345275097305 |
| 0.4 | 0.343567754574247 | ||||||||||
| 0.6 | 0.337874422565249 |
© 2020 by the authors. Licensee MDPI, Basel, Switzerland. This article is an open access article distributed under the terms and conditions of the Creative Commons Attribution (CC BY) license (http://creativecommons.org/licenses/by/4.0/).
Share and Cite
Shateyi, S.; Muzara, H. On the Numerical Analysis of Unsteady MHD Boundary Layer Flow of Williamson Fluid Over a Stretching Sheet and Heat and Mass Transfers. Computation 2020, 8, 55. https://doi.org/10.3390/computation8020055
Shateyi S, Muzara H. On the Numerical Analysis of Unsteady MHD Boundary Layer Flow of Williamson Fluid Over a Stretching Sheet and Heat and Mass Transfers. Computation. 2020; 8(2):55. https://doi.org/10.3390/computation8020055
Chicago/Turabian StyleShateyi, Stanford, and Hillary Muzara. 2020. "On the Numerical Analysis of Unsteady MHD Boundary Layer Flow of Williamson Fluid Over a Stretching Sheet and Heat and Mass Transfers" Computation 8, no. 2: 55. https://doi.org/10.3390/computation8020055
APA StyleShateyi, S., & Muzara, H. (2020). On the Numerical Analysis of Unsteady MHD Boundary Layer Flow of Williamson Fluid Over a Stretching Sheet and Heat and Mass Transfers. Computation, 8(2), 55. https://doi.org/10.3390/computation8020055

