Study and Modeling of the Magnetic Field Distribution in the Fricker Hydrocyclone Cylindrical Part
Abstract
1. Introduction
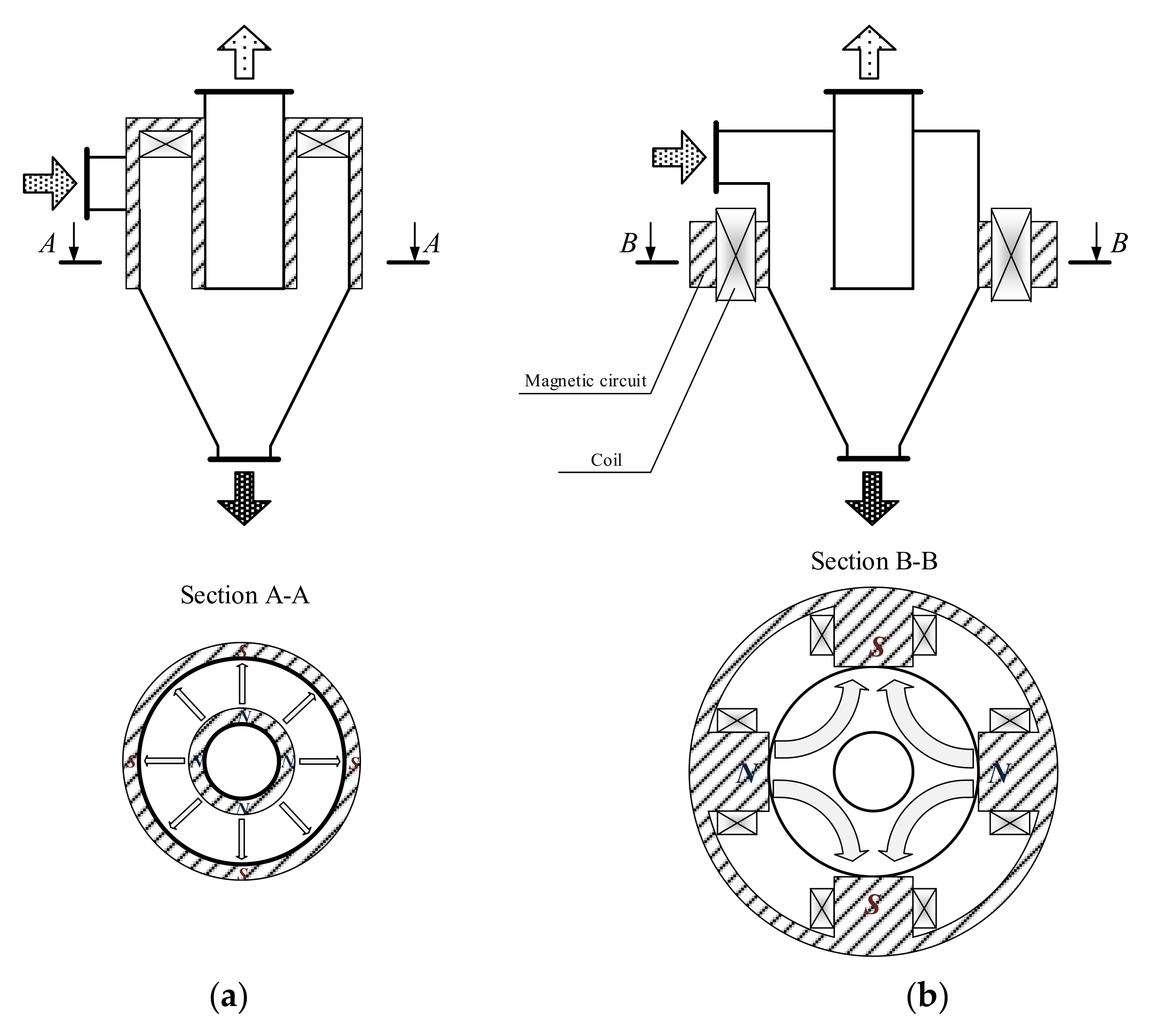
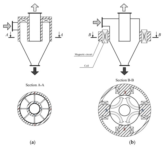
2. Materials and Methods
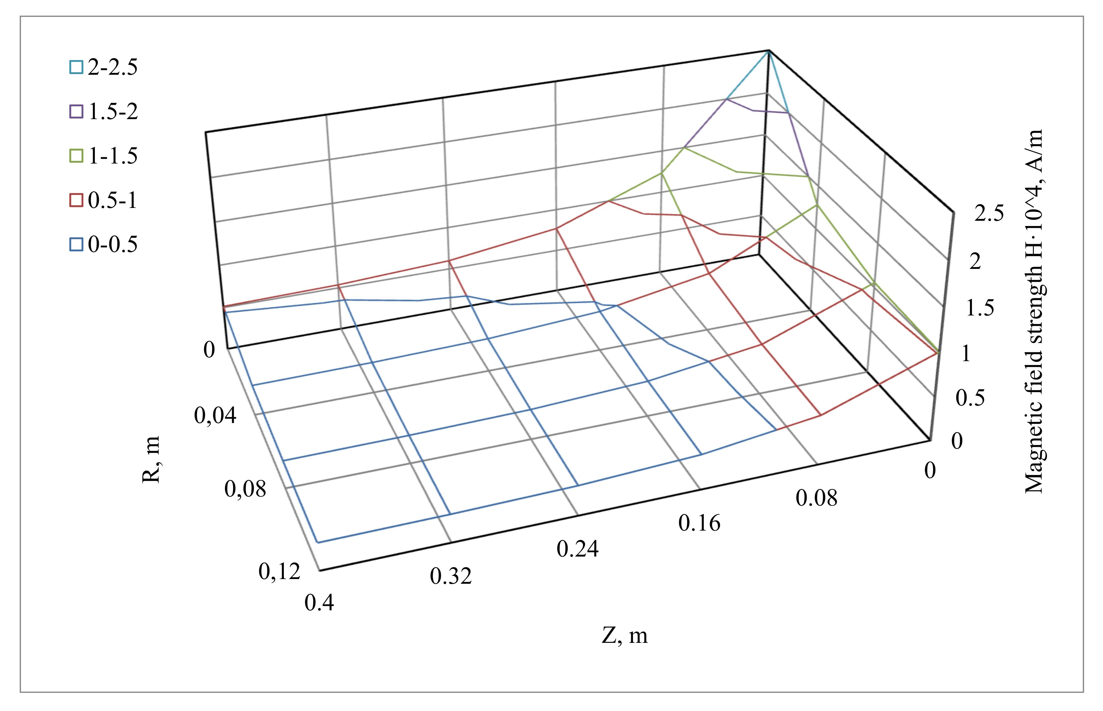
3. Results
4. Discussion
Author Contributions
Funding
Conflicts of Interest
References
- Chen, G. Design and Analysis of Magnetic Hydrocyclone; McGill University: Montreal, QC, Canada, 1989. [Google Scholar]
- Avdeyev, B. Development of criteria for a magnetic hydrocyclones. In Proceedings of the MATEC Web Conference International Conference on Modern Trends in Manufacturing Technologies and Equipment (ICMTMTE 2017), Kerch, Russia, 11–15 September 2017; Kerch State Maritime Technological University: Kerch, Russia, 2017; Volume 129, p. 06012. [Google Scholar] [CrossRef][Green Version]
- Avdeyev, B.; Masyutkin, E.; Golikov, S.; Sokolov, S.; Gavrilov, V. Calculation of efficiency curve of magnetic hydrocyclone. In Proceedings of the 2017 IEEE Conference of Russian Young Researchers in Electrical and Electronic Engineering (EIConRus), St. Petersburg, Russia, 1–3 February 2017; 2017; pp. 1225–1228. [Google Scholar] [CrossRef]
- Avdeyev, B.; Prosvirnin, V.; Dema, R. Calculation of magnetic devices cleaning coolants in the agro–industrial complex. In Proceedings of the MATEC Web of Conferences, “International Conference on Modern Trends in Manufacturing Technologies and Equipment (ICMTMTE 2018)”, Sevastopol, Russia, 10–14 September 2018; Volume 224, p. 05003. [Google Scholar] [CrossRef]
- Zhukov, V.; Masyutkin, E.; Avdeyev, B. The application of mathematical modeling for the development of devices as an example of viscous fluid purification from magnetic impurity. In Proceedings of the IOP Conference Series: Materials Science and Engineering, Tomsk, Russia, 27–29 October 2016; IOP Publishing Ltd.: Bristol, UK, 2017; Volume 177, p. 012015. [Google Scholar] [CrossRef]
- Sokolova, E.A.; Aslanov, G.A.; Sokolov, A.A. Modern approach to storing 3d geometry of objects in machine engineering industry. In Proceedings of the IOP Conference Series: Materials Science and Engineering, Tomsk, Russia, 27–29 October 2016; p. 177(012036). [Google Scholar]
- Dema, R.R.; Amirov, R.N.; Kalugina, O.B. Determining the parameters effecting the work of the lubricants supplying system at wide-strip hot rolling. In Lecture Notes in Mechanical Engineering; Springer International Publishing: Cham, Switzerland, 2019; pp. 929–937. [Google Scholar]
- Sokolov, S.; Zhilenkov, A.; Chernyi, S.; Nyrkov, A.; Glebov, N. Hybrid neural networks in cyber physical system interface control systems. Bull. Electr. Eng. Inf. 2020, 9. [Google Scholar] [CrossRef][Green Version]
- Premaratne, W.A.P.J.; Rowson, N.A. Development of a Magnetic Hydro-cyclone Separation for the Recovery of Titanium from Beach Sands. Phys. Sep. Sci. Eng. 2003, 12, 215–222. [Google Scholar] [CrossRef]
- Donskoi, E.; Suthers, S.P.; Campbell, J.J.; Raynlyn, T. Modelling and optimization of hydrocyclone for iron ore fines beneficiation-using optical image analysis and iron ore texture classification. Int. J. Miner. Process 2008, 87, 106–119. [Google Scholar] [CrossRef]
- Ali-Zade, P.; Ustun, O.; Vardarli, F.; Sobolev, K. Development of an electromagnetic hydrocyclone separator forpurification of wastewater. Water Environ. J. 2008, 22, 11–16. [Google Scholar] [CrossRef]
- Sokolov, S.; Zhilenkov, A.; Chernyi, S.; Nyrkov, A.; Mamunts, D. Dynamics Models of Synchronized Piecewise Linear Discrete Chaotic Systems of High Order. Symmetry 2019, 11, 236. [Google Scholar] [CrossRef]
- Chernyi, S. Techniques for selecting topology and implementing the distributed control system network for maritime platforms. AKCE Int. J. Graphs Comb. 2018, 15, 219–223. [Google Scholar] [CrossRef]
- Zhilenkov, A.; Chernyi, S.; Sokolov, S.; Nyrkov, A. Intelligent autonomous navigation system for UAV in randomly changing environmental conditions. J. Intell. Fuzzy Syst. 2020, 1–7. [Google Scholar] [CrossRef]








| Measurement Point | The Current in the Coil, A | |||
|---|---|---|---|---|
| 24 | 20 | 12 | 4 | |
| Point A | 0.983 | 0.955 | 0.981 | 0.973 | 
| Point B | 0.764 | 0.855 | 0.967 | 0.949 | 
© 2020 by the authors. Licensee MDPI, Basel, Switzerland. This article is an open access article distributed under the terms and conditions of the Creative Commons Attribution (CC BY) license (http://creativecommons.org/licenses/by/4.0/).
Share and Cite
Avdeev, B.; Dema, R.; Chernyi, S. Study and Modeling of the Magnetic Field Distribution in the Fricker Hydrocyclone Cylindrical Part. Computation 2020, 8, 42. https://doi.org/10.3390/computation8020042
Avdeev B, Dema R, Chernyi S. Study and Modeling of the Magnetic Field Distribution in the Fricker Hydrocyclone Cylindrical Part. Computation. 2020; 8(2):42. https://doi.org/10.3390/computation8020042
Chicago/Turabian StyleAvdeev, Boris, Roman Dema, and Sergei Chernyi. 2020. "Study and Modeling of the Magnetic Field Distribution in the Fricker Hydrocyclone Cylindrical Part" Computation 8, no. 2: 42. https://doi.org/10.3390/computation8020042
APA StyleAvdeev, B., Dema, R., & Chernyi, S. (2020). Study and Modeling of the Magnetic Field Distribution in the Fricker Hydrocyclone Cylindrical Part. Computation, 8(2), 42. https://doi.org/10.3390/computation8020042
 
        


 
       