Parametric Study of Shock/Boundary-Layer Interaction and Swirl Metrics in Bleed-Enabled External Compression Intakes
Abstract
1. Introduction
2. Methodology and Model Geometry
2.1. Governing Equations and Turbulence Modeling
Momentum: ∂(ρuiuj)/∂xj = −∂p/∂xi + ∂τij/∂xj
Total energy: ∂(ρeuj)/∂xj = ∂(uiτij − qj)/∂xj
2.2. Computational Methodology
2.3. Model Geometry and Computational Domain
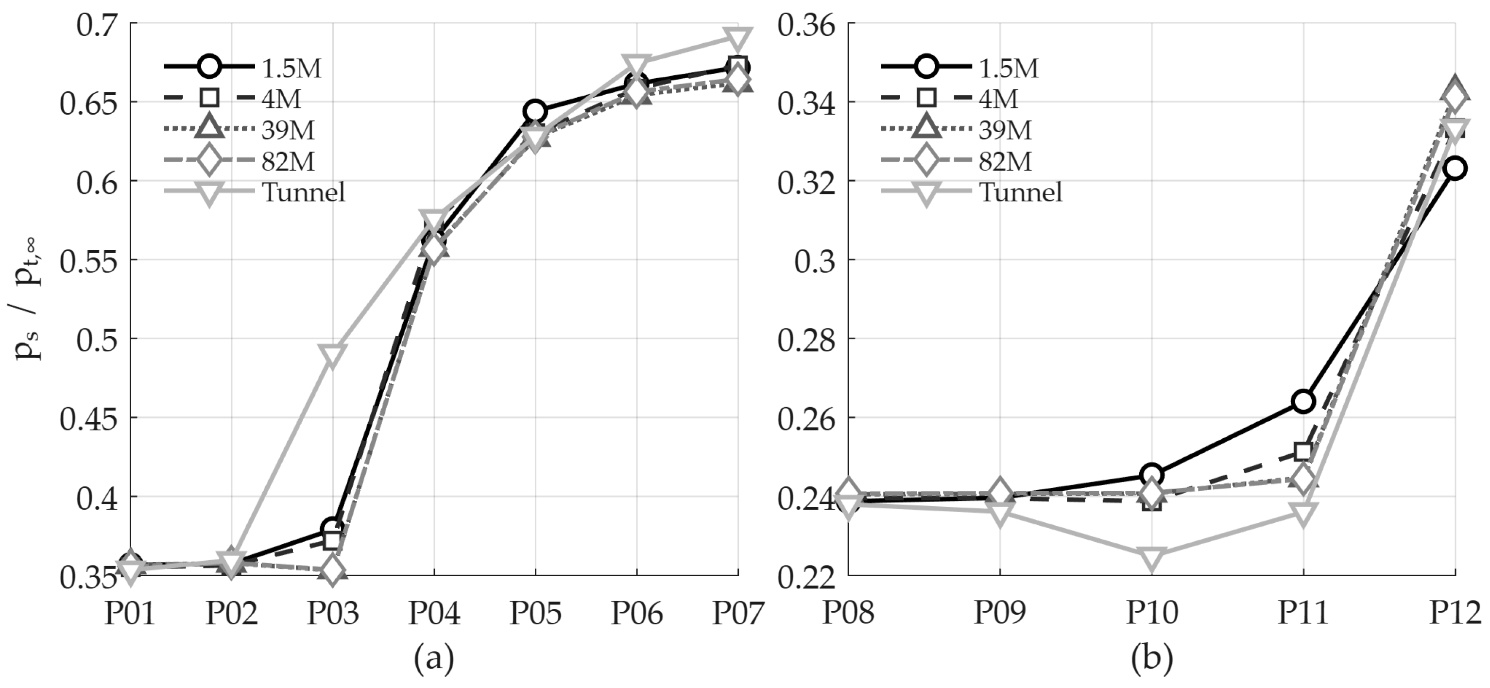
2.4. Grid Independence Study
2.5. Test Matrix and Boundary Conditions
2.6. Data Post-Processing and Metric Calculations

3. Results
3.1. Intake Characteristic Without Bleed System
3.2. Wall Shear on Compression Surface
3.3. Mach Distribution Along Compression Surface
3.4. Boundary-Layer Control Mechanism Requirement
3.5. Bleed System Effect on Intake Stability
3.6. Circumferential Swirl Angle Distributions
3.7. Circumferential Swirl Intensity Distributions
3.8. Map-Level Trends and Physical Mechanism
3.9. Bleed-Onset Threshold and Operability Implications
3.10. Modeling Considerations and Limitations
4. Conclusions
Author Contributions
Funding
Data Availability Statement
Acknowledgments
Conflicts of Interest
References
- Van Wie, D.M. Scramjet Inlets. In Scramjet Propulsion; Progress in Astronautics and Aeronautics; Murthy, S.N.B., Curran, E.T., Eds.; American Institute of Aeronautics and Astronautics: Washington, DC, USA, 2001; Volume 189, pp. 447–511. [Google Scholar]
- Seddon, J.; Goldsmith, E.L. Intake Aerodynamics, 2nd ed.; AIAA Education Series; American Institute of Aeronautics and Astronautics (AIAA): Reston, VA, USA, 1999. [Google Scholar]
- Curran, E.T. Scramjet Engines: The First Forty Years. J. Propuls. Power 2001, 17, 1138–1148. [Google Scholar] [CrossRef]
- Dolling, D.S. Fifty Years of Shock-Wave/Boundary-Layer Interaction Research: What Next? AIAA J. 2001, 39, 1517–1531. [Google Scholar] [CrossRef]
- Gaitonde, D.V. Progress in shock wave/boundary layer interactions. Prog. Aerosp. Sci. 2015, 72, 80–99. [Google Scholar] [CrossRef]
- Green, J.E. Interactions between shock waves and turbulent boundary layers. Prog. Aerosp. Sci. 1970, 11, 235–340. [Google Scholar] [CrossRef]
- SAE Committee S-16. Gas Turbine Engine Inlet Flow Distortion Guidelines, SAE ARP1420; SAE International: Warrendale, PA, USA, 1999. [Google Scholar]
- Chyu, W.J.; Rimlinger, M.J.; Shih, T.I.P. Control of shock-wave/boundary-layer interactions by bleed. AIAA J. 1995, 33, 1239–1247. [Google Scholar] [CrossRef]
- Harloff, G.J.; Smith, G.E. Numerical Simulation of Supersonic Flow Using a New Analytical Bleed Boundary Condition; NASA-CR-198368; NASA Lewis Research Center: Cleveland, OH, USA, 1995. Available online: https://ntrs.nasa.gov/citations/19950026787 (accessed on 1 December 2025).
- Tindell, R.H. Highly Compact Inlet Diffuser Technology. In Proceedings of the AIAA/SAE/ASME/ASEE 23rd Joint Propulsion Conference, San Diego, CA, USA, 29 June–2 July 1987. [Google Scholar]
- Hermann, R. Supersonic Inlet Diffusers and Introduction to Internal Aerodynamics; Minneapolis-Honeywell Regulator Co.: Minneapolis, MN, USA, 1956. [Google Scholar]
- Willis, B.P.; Davis, D.O.; Slater, J.W. Numerical Investigation of Bleed-Induced Vorticity in a Supersonic Inlet. In Proceedings of the 42nd AIAA/ASME/SAE/ASEE Joint Propulsion Conference & Exhibit, Sacramento, CA, USA, 9–12 July 2006. [Google Scholar]
- SAE Committee S-16. A Methodology for Assessing Inlet Swirl Distortion, SAE AIR5686; SAE International: Warrendale, PA, USA, 2010. [Google Scholar]
- Greitzer, E.M. Surge and Rotating Stall in Axial Flow Compressors—Part I: Theoretical Compression System Model. J. Eng. Power 1976, 98, 190–198. [Google Scholar] [CrossRef]
- Bouldin, B.; Sheoran, Y. Inlet Flow Angularity Descriptors Proposed for Use with Gas Turbine Engines. SAE Technical Paper 2002-01-2919. 2002. Available online: https://www.sae.org/papers/inlet-flow-angularity-descriptors-proposed-use-gas-turbine-engines-2002-01-2919 (accessed on 1 December 2025).
- Shih, T.-H.; Liou, W.W.; Shabbir, A.; Yang, Z.; Zhu, J. A new k-ε eddy viscosity model for high Reynolds number turbulent flows. Comput. Fluids 1995, 24, 227–238. [Google Scholar] [CrossRef]
- Özcan, M.E.; Yılmaz, M.H.; Sezer-Uzol, N. Sesüstü Harici Sıkıştırma Rampalı Hava Alığı Modelinin Farklı Türbülans Modelleri ile Sayısal İncelenmesi. In Proceedings of the 10. Ulusal Havacılık ve Uzay Konferansı (UHUK 2024), Ankara, Türkiye, 18–20 September 2024. [Google Scholar]
- Özcan, M.E.; Sezer-Uzol, N. Impact of Shock Boundary Layer Interaction on Swirl Characteristics in Supersonic Intakes with Bleed System. In Proceedings of the 15th International Conference on Computational Heat & Mass Transfer (ICCHMT’25), Antalya, Türkiye, 19–23 May 2025. [Google Scholar]
- Ozcan, M.E.; Sezer Uzol, N. Numerical Analysis and Optimization of Bleed Systems for External Supersonic Compression Inlets. In Proceedings of the AIAA AVIATION Forum, Las Vegas, NV, USA, 21–25 July 2025. [Google Scholar] [CrossRef]
- Vijayaraghavan, S.B.; Kavanagh, P. Effect of Free-Stream Turbulence. Reynolds Number. and Incidence on Axial Turbine Cascade Performance. In Proceedings of the ASME Gas Turbine and Aero-Engine Congress and Exposition, Amsterdam, The Netherlands, 6–9 June 1988. [Google Scholar]
- S-16 Turbine Engine Inlet Flow Distortion Committee. Gas Turbine Engine Inlet Flow Distortion Guidelines; ARP1420B; SAE International: Warrendale, PA, USA, 2011; p. 24. [Google Scholar]
- S-16 Turbine Engine Inlet Flow Distortion Committee. AIR5867 Assessment of the Inlet/Engine Total Temperature Distortion Problem; SAE International: Warrendale, PA, USA, 2017; p. 57. [Google Scholar]
- Turbine Engine Inlet Flow Distortion Committee. AIR1419C; Inlet Total-Pressure-Distortion Considerations for Gas-Turbine Engines; Technical Report; SAE International: Warrendale, PA, USA, 2017. [Google Scholar]
- Fang, Y.; Sun, D.; Dong, X.; Sun, X. Effects of Inlet Swirl Distortion on a Multi-Stage Compressor with Inlet Guide Vanes and Stall Margin Enhancement Method. Aerospace 2023, 10, 141. [Google Scholar] [CrossRef]
- Deng, X. A Unified Framework for Non-linear Reconstruction Schemes in a Compact Stencil. Part 1: Beyond Second Order. J. Comput. Phys. 2023, 481, 112052. [Google Scholar] [CrossRef]
























| Configuration | M∞ | Operating Sweep of Flow Ratio (λ) |
|---|---|---|
| Without Bleed (WOB) | 1.6, 1.8, 1.9 | Supercritical → critical → subcritical 0.99 → 0.80 → 0.25 |
| With Bleed (WB) |
Disclaimer/Publisher’s Note: The statements, opinions and data contained in all publications are solely those of the individual author(s) and contributor(s) and not of MDPI and/or the editor(s). MDPI and/or the editor(s) disclaim responsibility for any injury to people or property resulting from any ideas, methods, instructions or products referred to in the content. |
© 2025 by the authors. Licensee MDPI, Basel, Switzerland. This article is an open access article distributed under the terms and conditions of the Creative Commons Attribution (CC BY) license (https://creativecommons.org/licenses/by/4.0/).
Share and Cite
Ozcan, M.E.; Sezer Uzol, N. Parametric Study of Shock/Boundary-Layer Interaction and Swirl Metrics in Bleed-Enabled External Compression Intakes. Computation 2025, 13, 289. https://doi.org/10.3390/computation13120289
Ozcan ME, Sezer Uzol N. Parametric Study of Shock/Boundary-Layer Interaction and Swirl Metrics in Bleed-Enabled External Compression Intakes. Computation. 2025; 13(12):289. https://doi.org/10.3390/computation13120289
Chicago/Turabian StyleOzcan, Muhammed Enes, and Nilay Sezer Uzol. 2025. "Parametric Study of Shock/Boundary-Layer Interaction and Swirl Metrics in Bleed-Enabled External Compression Intakes" Computation 13, no. 12: 289. https://doi.org/10.3390/computation13120289
APA StyleOzcan, M. E., & Sezer Uzol, N. (2025). Parametric Study of Shock/Boundary-Layer Interaction and Swirl Metrics in Bleed-Enabled External Compression Intakes. Computation, 13(12), 289. https://doi.org/10.3390/computation13120289

