Adaptive Measurement Noise Covariance Estimation for GNSS/INS Tightly Coupled Integration Using a Linear-Attention Transformer with Residual Sparse Denoising and Channel Attentions
Abstract
1. Introduction
2. System Model and Methodology
2.1. SINS/GNSS Tightly Coupled State Equation
2.2. SINS/GNSS Tightly Coupled Measurement Equation
2.3. EKF-Based Navigation Integration
2.4. RLL-AKF Framework
2.4.1. Residual Sparse Denoising Autoencoder (R-SDAE)
2.4.2. Adaptive Modeling of Measurement Noise Covariance with a Linear-Attention Transformer
| Algorithm 1: Adaptive Estimation of Measurement Noise Covariance (RLL-AKF) |
| Input: satellite ephemeris/observation features. Output: navigation state (position/velocity/attitude) with updated . 1. Procedure: Model training based on the proposed RLL-AKF algorithm; 2. Initialize the measurement noise covariance matrix R0 and the network weight parameters; 3. For each training epoch i = 1, 2, …, N; 4. Compute the predicted pseudorange and pseudorange rate using the INS output and satellite ephemeris information; 5. Feed the raw ephemeris features {} into the R-SDAE module for residual sparse denoising to obtain the robust features ; 6. Input into the Transformer backbone with embedded Linear Attention to model multi-satellite spatiotemporal correlations and extract noise-related statistical representations; 7. Apply the LRCAM module to perform local residualchannel re-calibration, enhancing the discriminative ability of key feature channels; 8. Update the Kalman filter using the adaptively estimated covariance matrix R to obtain the navigation solution; 9. Construct the loss function L based on the positioning error between the navigation solution and the ground truth (RTK/reference), and perform backpropagation to update network parameters θ; 10. End loop and terminate the procedure. |
- (1)
- Channel-wise Pooling:
- (2)
- Lightweight MLP:
- (3)
- Residual Connection:
3. Results
3.1. Equipment Installation and Data Acquisition
3.2. Experimental Configuration and Trajectory Design
3.3. Comparative Experiments of Different Network Models
- (1)
- LSTM Model: The Long Short-Term Memory (LSTM) network mitigates the short-term dependency problem inherent in traditional RNNs through gated mechanisms and memory cells. In this experiment, satellite ephemeris data were used as inputs to capture temporal dependencies.
- (2)
- CNN Model: The Convolutional Neural Network (CNN) extracts local spatial features through convolutional operations. In this study, it was employed to derive informative features from satellite ephemeris data and estimate the measurement noise covariance matrix R.
- (3)
- Transformer Model: As detailed in Section 2.4, the standard Transformer exhibits strong capabilities in long-term dependency modeling and attention-based feature extraction.
- (4)
- RLL Model (R-SDAE + Linear Attention + LRCAM): The proposed model enhances the standard Transformer framework by integrating three optimization modules. The Residual Sparse Denoising Autoencoder (R-SDAE) performs denoising on input data to extract robust sparse features. The Linear Attention mechanism maintains global dependency modeling while significantly reducing computational complexity. The Lightweight Residual Channel Attention Module (LRCAM) recalibrates channel-wise features, reinforcing the response to key noise-related characteristics. The combined effect of these modules yields superior robustness and generalization in multi-interference environments.
3.4. Computational Cost Evaluation of Different Network Models
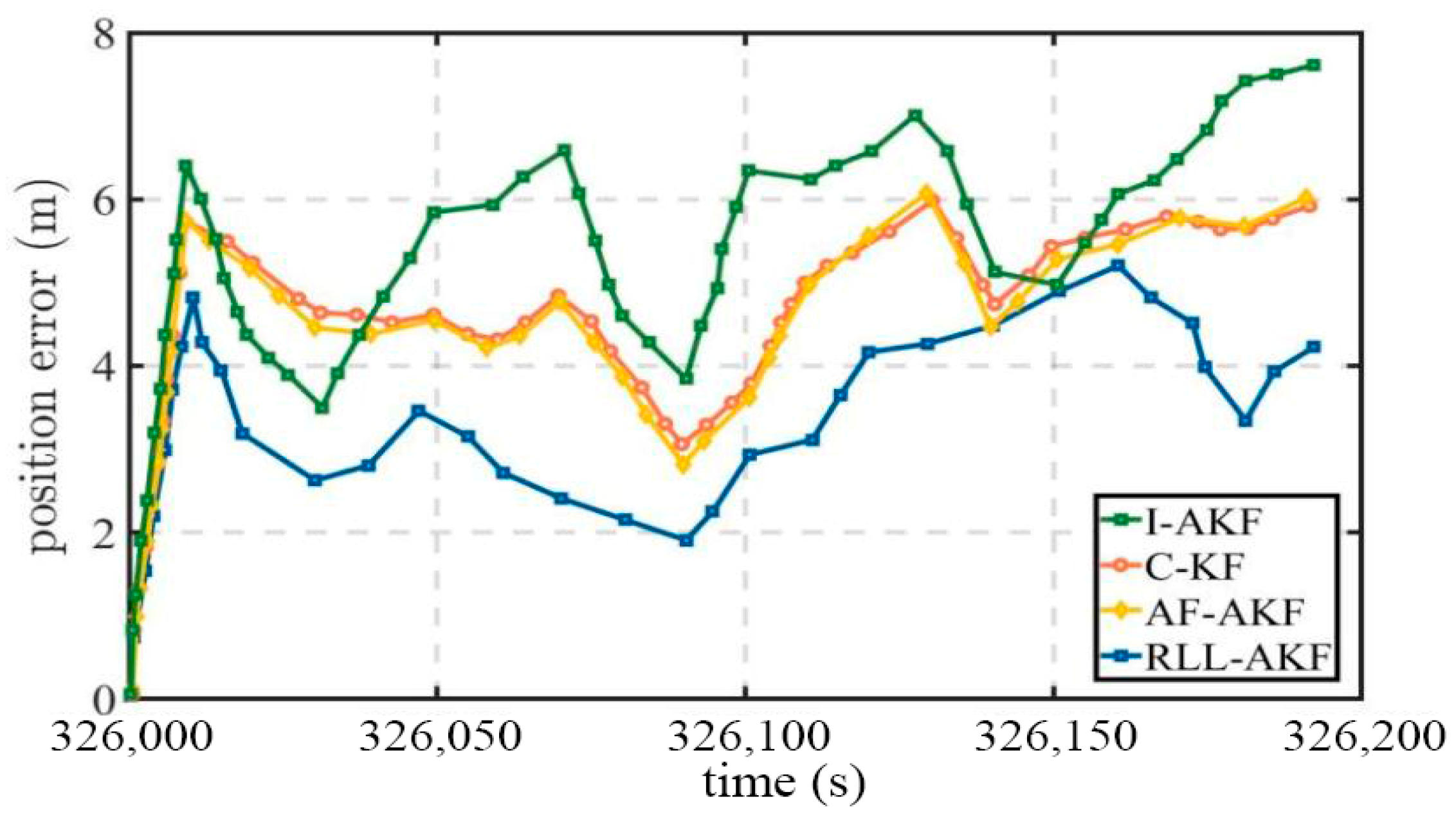
3.5. Comparative Experiments of Different Methods
- (1)
- RLL-AKF: The proposed approach integrates three enhancement modules within the Transformer backbone. The Residual Sparse Denoising Autoencoder (R-SDAE) performs sparse feature denoising, Linear Attention reduces computational complexity while preserving long-sequence dependency modeling, and the Lightweight Residual Channel Attention Module (LRCAM) dynamically recalibrates critical channel features. Together, these components significantly improve the accuracy and robustness of measurement noise covariance estimation.
- (2)
- C-KF: A Conventional Kalman Filter assuming a fixed measurement noise covariance matrix throughout the filtering process.
- (3)
- AF-AKF: The Adaptive Fading Memory Kalman Filter, which introduces a fading factor into the gain computation to dynamically modulate the influence of historical information on current estimates. This mechanism enhances adaptability under nonstationary and burst-noise conditions.
- (4)
- I-AKF: The Innovation-Based Adaptive Kalman Filter, which adaptively adjusts the measurement noise covariance matrix based on innovation statistics, dynamically correcting the filtering process in response to variations in observation residuals [39].
4. Discussion
5. Conclusions
Author Contributions
Funding
Institutional Review Board Statement
Informed Consent Statement
Data Availability Statement
Conflicts of Interest
References
- Titterton, D.H.; Weston, J.L. Strapdown Inertial Navigation Technology, 2nd ed.; Institution of Electrical Engineers: Stevenage, UK, 2004. [Google Scholar]
- Groves, P.D. Principles of GNSS, Inertial, and Multisensor Integrated Navigation Systems, 2nd ed.; Artech House: Boston, MA, USA, 2013. [Google Scholar]
- Noureldin, A.; Karamat, T.B.; Eberts, M.D.; El-Shafie, A. Performance Enhancement of MEMS-Based INS/GPS Integration for Low-Cost Navigation Applications. IEEE Trans. Veh. Technol. 2009, 58, 1077–1096. [Google Scholar] [CrossRef]
- Skog, I.; Handel, P. In-Car Positioning and Navigation Technologies—A Survey. IEEE Trans. Intell. Transp. Syst. 2009, 10, 4–21. [Google Scholar] [CrossRef]
- Liu, H.; Nassar, S.; El-Sheimy, N. Two-Filter Smoothing for Accurate INS/GPS Land-Vehicle Navigation in Urban Centers. IEEE Trans. Veh. Technol. 2010, 59, 4256–4267. [Google Scholar] [CrossRef]
- Bar-Shalom, Y.; Li, X.-R.; Kirubarajan, T. Estimation with Applications to Tracking and Navigation: Theory, Algorithms, and Software; John Wiley & Sons: New York, NY, USA, 2001. [Google Scholar]
- Grejner-Brzezinska, D.A.; Toth, C.K.; Sun, H.; Wang, X.; Rizos, C. A Robust Solution to High-Accuracy Geolocation: Quadruple Integration of GPS, IMU, Pseudolite, and Terrestrial Laser Scanning. IEEE Trans. Instrum. Meas. 2011, 60, 3694–3708. [Google Scholar] [CrossRef]
- Hu, G.; Gao, S.; Zhong, Y. A Derivative UKF for Tightly Coupled INS/GPS Integrated Navigation. ISA Trans. 2015, 56, 135–144. [Google Scholar] [CrossRef] [PubMed]
- Han, H.; Wang, J.; Du, M. GPS/BDS/INS Tightly Coupled Integration Accuracy Improvement Using an Improved Adaptive Interacting Multiple Model with Classified Measurement Update. Chin. J. Aeronaut. 2018, 31, 556–566. [Google Scholar] [CrossRef]
- Peyraud, S.; Bétaille, D.; Renault, S.; Ortiz, M.; Mougel, F.; Meizel, D.; Peyret, F. About Non-Line-of-Sight Satellite Detection and Exclusion in a 3D Map-Aided Localization Algorithm. Sensors 2013, 13, 829–847. [Google Scholar] [CrossRef] [PubMed]
- Dhital, A.; Lachapelle, G.; Bancroft, J.B. Improving the Reliability of Personal Navigation Devices in Harsh Environments. In Proceedings of the 2015 International Conference on Indoor Positioning and Indoor Navigation (IPIN), Banff, AB, Canada, 13–16 October 2015; pp. 1–7. [Google Scholar] [CrossRef]
- Huang, Y.; Zhang, Y.; Wu, Z.; Li, N.; Chambers, J.A. A Novel Adaptive Kalman Filter with Inaccurate Process and Measurement Noise Covariance Matrices. IEEE Trans. Autom. Control 2018, 63, 594–601. [Google Scholar] [CrossRef]
- Katharopoulos, A.; Vyas, A.; Pappas, N.; Fleuret, F. Transformers Are RNNs: Fast Autoregressive Transformers with Linear Attention. In Proceedings of the 37th International Conference on Machine Learning, Virtual Event, 13–18 July 2020; pp. 5156–5165. [Google Scholar]
- Mehra, R.K. On the Identification of Variances and Adaptive Kalman Filtering. IEEE Trans. Autom. Control 1970, 15, 175–184. [Google Scholar] [CrossRef]
- Meng, Y.; Gao, S.; Zhong, Y.; Hu, G.; Šubić, A. Covariance Matching-Based Adaptive Unscented Kalman Filter for Direct Filtering in INS/GNSS Integration. Acta Astronaut. 2016, 120, 171–181. [Google Scholar] [CrossRef]
- Cho, S.Y.; Choi, W.S. A Robust Positioning Technique in DR/GPS Using the Receding Horizon Sigma Point Kalman FIR Filter. In Proceedings of the IEEE Instrumentation and Measurement Technology Conference (IMTC 2005), Ottawa, ON, Canada, 17-19 May 2005; IEEE: New York, NY, USA, 2005; Volume 2, pp. 1354–1359. [Google Scholar] [CrossRef]
- Zhang, H.; Chang, Y.H.; Che, H. Measurement-Based Adaptive Kalman Filtering Algorithm for GPS/INS Integrated Navigation System. J. Chin. Inert. Technol. 2010, 18, 696–701. [Google Scholar]
- Xu, S.; Zhou, H.; Wang, J.; He, Z.; Wang, D. SINS/CNS/GNSS Integrated Navigation Based on an Improved Federated Sage–Husa Adaptive Filter. Sensors 2019, 19, 3812. [Google Scholar] [CrossRef] [PubMed]
- Ge, B.; Zhang, H.; Jiang, L.; Li, Z.; Butt, M.M. Adaptive Unscented Kalman Filter for Target Tracking with Unknown Time-Varying Noise Covariance. Sensors 2019, 19, 1371. [Google Scholar] [CrossRef] [PubMed]
- Hide, C.; Moore, T.; Smith, M. Adaptive Kalman Filtering for Low-Cost INS/GPS. J. Navig. 2003, 56, 143–152. [Google Scholar] [CrossRef]
- Ge, B.; Zhang, H.; Fu, W.; Yang, J. Enhanced Redundant Measurement-Based Kalman Filter for Measurement Noise Covariance Estimation in INS/GNSS Integration. Remote Sens. 2020, 12, 3500. [Google Scholar] [CrossRef]
- Bavdekar, V.A.; Deshpande, A.P.; Patwardhan, S.C. Identification of Process and Measurement Noise Covariance for State and Parameter Estimation Using Extended Kalman Filter. J. Process Control 2011, 21, 585–601. [Google Scholar] [CrossRef]
- Sun, R.; Zhang, Z.; Cheng, Q.; Ochieng, W.Y. Pseudorange Error Prediction for Adaptive Tightly Coupled GNSS/IMU Navigation in Urban Areas. GPS Solut. 2022, 26, 28. [Google Scholar] [CrossRef]
- Or, B.; Klein, I. A Hybrid Model and Learning-Based Adaptive Navigation Filter. IEEE Trans. Instrum. Meas. 2022, 71, 2516311. [Google Scholar] [CrossRef]
- Julier, S.J.; Uhlmann, J.K. Unscented Filtering and Nonlinear Estimation. Proc. IEEE 2004, 92, 401–422. [Google Scholar] [CrossRef]
- Song, J.; Li, J.; Wei, X.; Hu, C.; Zhang, Z.; Zhao, L.; Jiao, Y. Improved Multiple-Model Adaptive Estimation Method for Integrated Navigation with Time-Varying Noise. Sensors 2022, 22, 5976. [Google Scholar] [CrossRef] [PubMed]
- Haarnoja, T.; Ajay, A.; Levine, S.; Abbeel, P. Backprop KF: Learning Discriminative Deterministic State Estimators. In Proceedings of the Advances in Neural Information Processing Systems 29 (NeurIPS 2016), Barcelona, Spain, 5–10 December 2016; pp. 4376–4384. [Google Scholar]
- Revach, G.; Shlezinger, N.; van Sloun, R.J.G.; Eldar, Y.C. KalmanNet: Data-Driven Kalman Filtering. In Proceedings of the IEEE International Conference on Acoustics, Speech and Signal Processing (ICASSP 2021), Toronto, ON, Canada, 6–11 June 2021; pp. 3905–3909. [Google Scholar] [CrossRef]
- Rabby, M.F.; Tu, Y.; Hossen, M.I.; Lee, I.; Maida, A.S.; Hei, X. Stacked LSTM based deep recurrent neural network with kalman smoothing for blood glucose prediction. BMC Med. Inform. Decis. Mak. 2021, 21, 101. [Google Scholar]
- Wu, F.; Luo, H.; Jia, H.; Zhao, F.; Xiao, Y.; Gao, X. Predicting the Noise Covariance with a Multitask Learning Model for Kalman Filter-Based GNSS/INS Integrated Navigation. IEEE Trans. Instrum. Meas. 2021, 70, 8500613. [Google Scholar] [CrossRef]
- Ding, D.; He, K.F.; Qian, W.Q. A Bayesian Adaptive Unscented Kalman Filter for Aircraft Parameter and Noise Estimation. J. Sens. 2021, 2021, 9002643. [Google Scholar] [CrossRef]
- Noureldin, A.; Karamat, T.B.; Georgy, J. Fundamentals of Inertial Navigation, Satellite-Based Positioning and Their Integration; Springer: Berlin/Heidelberg, Germany, 2013. [Google Scholar] [CrossRef]
- Misra, P.; Enge, P. Global Positioning System: Signals, Measurements, and Performance; Ganga-Jamuna Press: Lincoln, MA, USA, 2001. [Google Scholar]
- Chiang, K.-W.; Duong, T.T.; Liao, J.-K. The Performance Analysis of a Real-Time Integrated INS/GPS Vehicle Navigation System with Abnormal GPS Measurement Elimination. Sensors 2013, 13, 10599–10622. [Google Scholar] [CrossRef]
- Anderson, B.D.O.; Moore, J.B. Optimal Filtering; Dover Publications: Mineola, NY, USA, 2005. [Google Scholar]
- Vincent, P.; Larochelle, H.; Bengio, Y.; Manzagol, P.-A. Extracting and Composing Robust Features with Denoising Autoencoders. In Proceedings of the 25th International Conference on Machine Learning (ICML), Helsinki, Finland, 5–9 July 2008; pp. 1096–1103. [Google Scholar] [CrossRef]
- Hochreiter, S.; Schmidhuber, J. Long Short-Term Memory. Neural Comput. 1997, 9, 1735–1780. [Google Scholar] [CrossRef] [PubMed]
- Chaudhari, S.; Mithal, V.; Polatkan, G.; Ramanath, R. An Attentive Survey of Attention Models. ACM Trans. Intell. Syst. Technol. 2021, 12, 53. [Google Scholar] [CrossRef]
- Akhlaghi, S.; Zhou, N.; Huang, Z. Adaptive Adjustment of Noise Covariance in Kalman Filter for Dynamic State Estimation. In Proceedings of the 2017 IEEE Power & Energy Society General Meeting, Chicago, IL, USA, 16–20 July 2017; pp. 1–5. [Google Scholar] [CrossRef]
- Xu, H.; Luo, H.; Wu, Z.; Wu, F.; Bao, L.; Zhao, F. Towards Predicting the Measurement Noise Covariance with a Transformer and Residual Denoising Autoencoder for GNSS/INS Tightly-Coupled Integrated Navigation. Remote Sens. 2022, 14, 1691. [Google Scholar] [CrossRef]






















| Sensor Module | Specification Item | Rated Value |
|---|---|---|
| MTi-680G (INS/IMU) | Gyro bias stability (in-run, 1σ) | 8°/h |
| Gyro ARW | 0.12°/sqrt(h) | |
| Gyro full-scale range | ±100°/s | |
| Accel bias stability (in-run, 1σ) | 0.2 mg | |
| Accel VRW | 0.09 m/s/sqrt(h) | |
| Acceleration full-scale | ±5 g | |
| IMU output rate | 200 Hz | |
| GNSS | GNSS position RMS (nominal, open-sky) | 1 m |
| GNSS update rate | 1 Hz |
| Dataset Name | Segment ID | Start–End Time (s) | Segment Length (s) | Complex Environment | (Mean/Min) | (Mean/P10, dB-Hz) |
|---|---|---|---|---|---|---|
| Dataset 1012 | #0 | 14,500–15,000 | 500 | Extended road section covering main avenues and viaducts | 14/9 | 38/30 |
| #1 | 14,000–14,100 | 100 | Limited satellite visibility with poor-quality signals, leading to large errors | 2/1 | 24/16 | |
| #2 | 15,800–15,900 | 100 | Urban canyon with dense high-rise buildings | 9/4 | 28/20 | |
| #3 | 14,500–14,600 | 100 | Tree-lined section where foliage introduces signal interference | 11/7 | 34/26 | |
| #4 | 14,800–14,900 | 100 | Viaduct section characterized by continuous vehicle turns | 11/6 | 33/24 | |
| Dataset 1106 | #5 | 326,000–326,200 | 200 | Low-speed driving in an urban canyon with intermittent satellite blockage and moderate multipath interference | 10/6 | 32/24 |
| #6 | 328,100–328,250 | 150 | Urban canyon segment with high building density and severe multipath effects | 8/4 | 29/21 |
| Model | Parameter Count | Training Time (s) | Prediction Time (ms) |
|---|---|---|---|
| LSTM | 157,696 | 41.78 | 1.12 |
| CNN | 21,026 | 26.82 | 1.05 |
| R-SDAE | 25,820 | 92.00 | – |
| RLL | 1,660,100 | 286.00 | 15.20 |
| Strategy | Position Error (m) | |||
|---|---|---|---|---|
| MAX | MIN | µ | σ2 | |
| C-KF | 46.65 | 4.20 | 16.17 | 79.50 |
| AF-AKF | 48.27 | 1.86 | 15.28 | 72.06 |
| I-AKF | 85.76 | 3.67 | 51.42 | 346.25 |
| RLL-AKF | 11.20 | 0.24 | 3.18 | 11.28 |
| Strategy | Position Error (m) | |||
|---|---|---|---|---|
| MAX | MIN | µ | σ2 | |
| C-KF | 6.82 | 0.78 | 2.50 | 2.26 |
| AF-AKF | 6.54 | 0.38 | 2.28 | 2.02 |
| I-AKF | 14.20 | 0.67 | 4.56 | 20.80 |
| RLL-AKF | 5.88 | 0.30 | 1.62 | 1.76 |
| Strategy | Position Error (m) | |||
|---|---|---|---|---|
| MAX | MIN | µ | σ2 | |
| C-KF | 2.66 | 0.28 | 1.42 | 0.86 |
| AF-AKF | 2.45 | 0.22 | 0.96 | 0.23 |
| I-AKF | 2.99 | 0.25 | 1.29 | 0.56 |
| RLL-AKF | 1.58 | 0.16 | 0.69 | 0.10 |
| Strategy | Position Error (m) | |||
|---|---|---|---|---|
| MAX | MIN | µ | σ2 | |
| C-KF | 4.80 | 0.26 | 1.60 | 1.28 |
| AF-AKF | 3.29 | 0.24 | 1.29 | 1.23 |
| I-AKF | 3.72 | 0.46 | 1.38 | 0.65 |
| RLL-AKF | 2.32 | 0.31 | 0.98 | 0.40 |
| Strategy | Position Error (m) | |||
|---|---|---|---|---|
| MAX | MIN | µ | σ2 | |
| C-KF | 6.50 | 2.55 | 4.80 | 0.76 |
| AF-AKF | 6.12 | 2.38 | 4.36 | 0.63 |
| I-AKF | 8.10 | 1.82 | 5.82 | 0.66 |
| RLL-AKF | 4.62 | 1.52 | 3.41 | 0.59 |
| Strategy | Position Error (m) | |||
|---|---|---|---|---|
| MAX | MIN | µ | σ2 | |
| C-KF | 4.58 | 1.52 | 2.54 | 0.80 |
| AF-AKF | 4.22 | 1.45 | 2.43 | 0.67 |
| I-AKF | 7.86 | 0.98 | 2.65 | 2.32 |
| RLL-AKF | 2.79 | 0.71 | 1.97 | 0.38 |
Disclaimer/Publisher’s Note: The statements, opinions and data contained in all publications are solely those of the individual author(s) and contributor(s) and not of MDPI and/or the editor(s). MDPI and/or the editor(s) disclaim responsibility for any injury to people or property resulting from any ideas, methods, instructions or products referred to in the content. |
© 2026 by the authors. Licensee MDPI, Basel, Switzerland. This article is an open access article distributed under the terms and conditions of the Creative Commons Attribution (CC BY) license.
Share and Cite
Wang, N.; Liu, F. Adaptive Measurement Noise Covariance Estimation for GNSS/INS Tightly Coupled Integration Using a Linear-Attention Transformer with Residual Sparse Denoising and Channel Attentions. Information 2026, 17, 294. https://doi.org/10.3390/info17030294
Wang N, Liu F. Adaptive Measurement Noise Covariance Estimation for GNSS/INS Tightly Coupled Integration Using a Linear-Attention Transformer with Residual Sparse Denoising and Channel Attentions. Information. 2026; 17(3):294. https://doi.org/10.3390/info17030294
Chicago/Turabian StyleWang, Ning, and Fanming Liu. 2026. "Adaptive Measurement Noise Covariance Estimation for GNSS/INS Tightly Coupled Integration Using a Linear-Attention Transformer with Residual Sparse Denoising and Channel Attentions" Information 17, no. 3: 294. https://doi.org/10.3390/info17030294
APA StyleWang, N., & Liu, F. (2026). Adaptive Measurement Noise Covariance Estimation for GNSS/INS Tightly Coupled Integration Using a Linear-Attention Transformer with Residual Sparse Denoising and Channel Attentions. Information, 17(3), 294. https://doi.org/10.3390/info17030294

