DC-CSAP: An Edge-UAV-End Collaborative Data Collection Framework for UAV-Assisted IoT
Abstract
1. Introduction
- The prevailing research landscape is predominantly occupied by a two-party interaction model between the UAV and the sensor nodes. This UAV–sensor-centric paradigm, while beneficial, ignores the powerful computational and orchestration capabilities of an Edge Server (ES), thereby preventing the data collection schemes from breaking through the efficiency bottleneck.
- They struggle to handle scenarios where large volumes of sensing data need to be uploaded simultaneously. For example, in cases where ISNs are densely clustered and the generation rates of sensing data are high, communication congestion between the UAV and ISNs becomes likely, leading to increased time costs and packet loss rates.
- A Novel System-Level Collaborative Framework: The core contribution of this work is the proposal of DC-CSAP, a novel “Edge-UAV-End” system architecture and orchestration framework for the UAV-assisted IoT. Its novelty lies not in inventing new prediction or path-finding algorithms from scratch, but in integrating and coordinating established components (edge intelligence, UAV mobility, and predictive sampling) into a cohesive workflow that overcomes the limitations of existing two-party (UAV-node) models. We formally define and implement four dedicated collaboration mechanisms (ES-UAV, ES-ISN, UAV-ISN, and Inter-ISN) that enable this synergy.
- A Lightweight, Prediction-Driven Communication Protocol (ES–ISN Collaboration): While we employ the well-established ARIMA model for time-series prediction, our contribution to this layer is the design of a lightweight protocol centered around a novel binary index vector mechanism. This protocol, governed by the ES, allows ISNs to transmit only inaccurate data, shifting the computational burden of model training and maintenance to the resource-rich ES and fundamentally reducing communication overheads.
- An Enhanced Path Optimization Strategy (ES–UAV Collaboration): For UAV trajectory planning, we build upon the classic Simulated Annealing (SA) metaheuristic [9]. Our specific contribution here is a purpose-built, two-phase enhancement (TSP-CSA) that introduces a convex-hull-inspired [10] geometric initialization phase. This enhancement is designed to provide a high-quality starting point for SA, accelerating convergence and improving the reliability of obtaining a near-optimal flight path within the collaborative framework.
- Comprehensive System Evaluation: Through extensive simulations on a real-world dataset, we demonstrate that the integrated DC-CSAP framework outperforms established baselines in terms of Correct Prediction Rate (CPR), network energy efficiency, and operational effectiveness (UAV path length).
2. Related Work
3. System Model and Problem Formulation
3.1. System Model
3.1.1. Air-to-Ground Communication Model
3.1.2. Energy Model of the ISNs
3.2. Problem Formulation
- (1)
- Minimize the total energy consumption of all ISNs by , which is the critical determinant of network lifetime.
- (2)
- Minimize the total UAV path length per data collection round by , which is the dominant factor determining the UAV’s propulsion energy consumption and the mission duration.
4. Methods
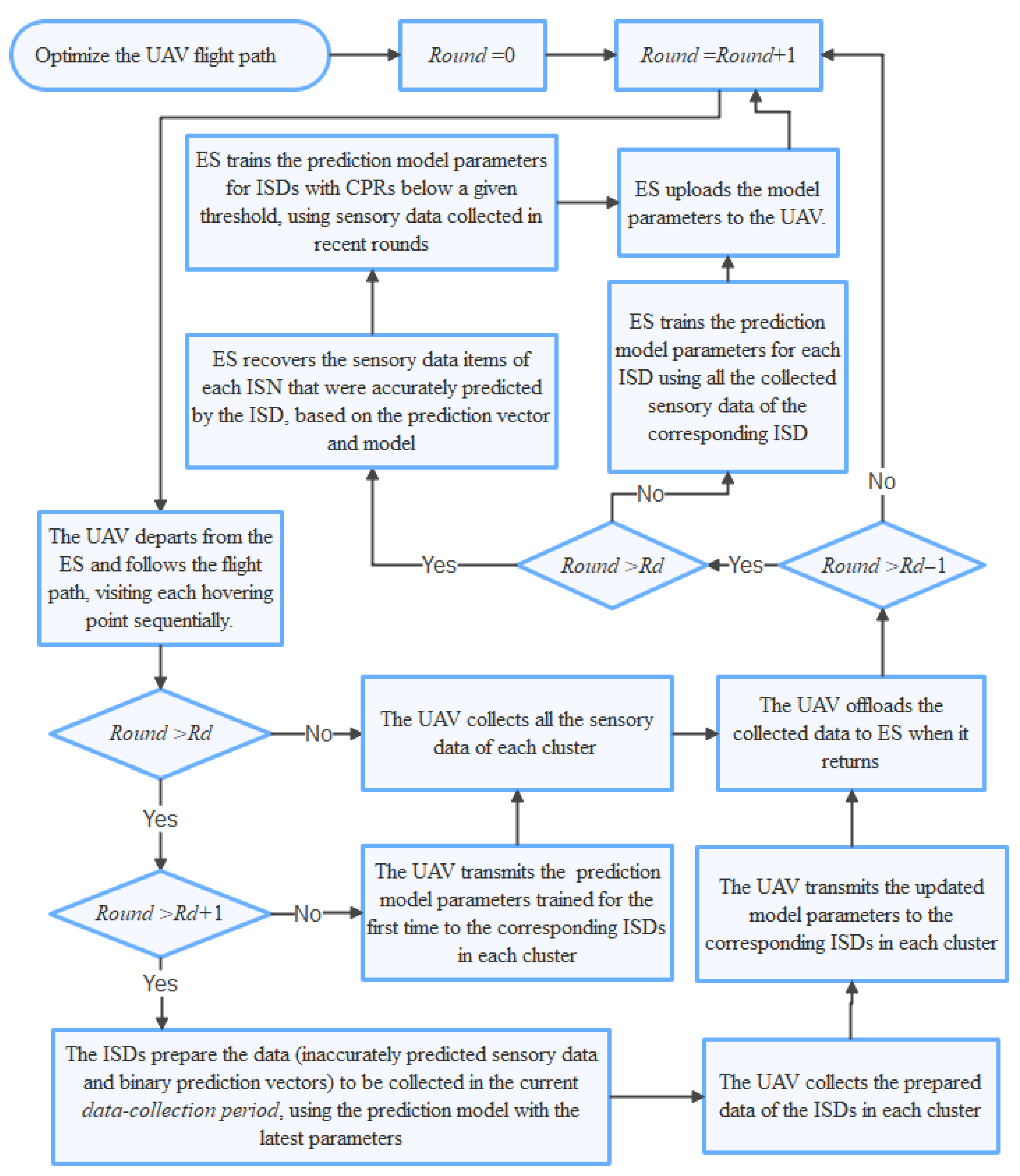
4.1. Overall Data Collection Workflow
4.2. Collaboration Mechanisms
4.2.1. ES–UAV Collaboration
| Algorithm 1 The UAV Path Optimization Algorithm TSP-CSA |
Input: , , , Output:
|
4.2.2. ES–ISN Collaboration
4.2.3. UAV–ISN Collaboration
| Algorithm 2 The UAV–ISN Collaboration Protocol in DC-CSAP |
|
4.2.4. Inter-ISN Collaboration
| Algorithm 3 Inter-ISN Collaboration Protocol |
|
5. Results
5.1. Experimental Environment and Parameter Settings
5.2. Convergence Rate and UAV Path Length
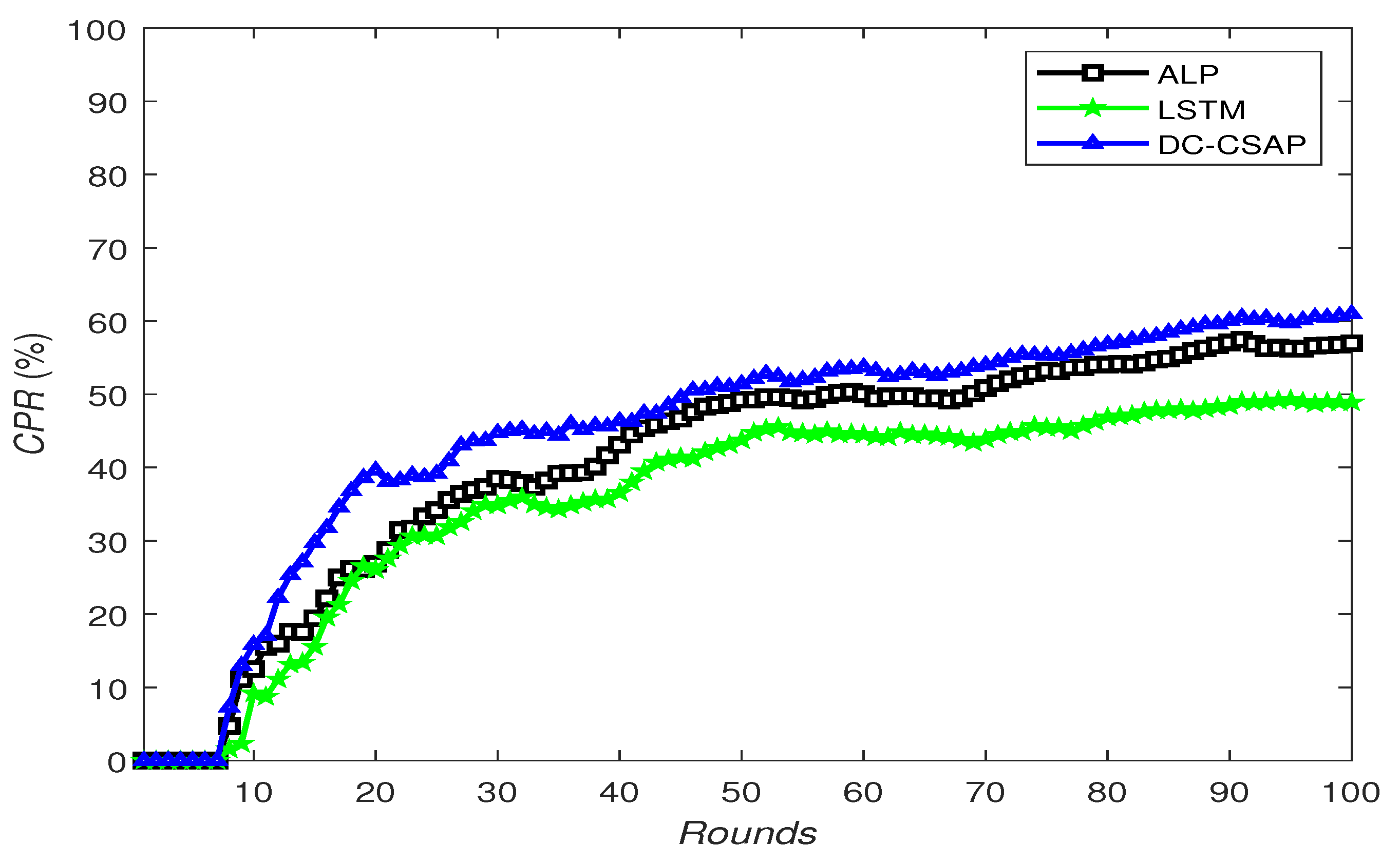
5.3. Prediction Accuracy
5.4. ISN Energy Consumption
6. Discussion
6.1. Performance Advantages and Synergistic Design
6.2. Practical Challenge: State Desynchronization
6.3. System Design Trade-Off
- (1)
- Energy Threshold-Based Rotation Trigger: CH rotation is not a per-round operation. It is triggered only when the energy level of the incumbent CH falls below a predefined threshold (e.g., 30% of its initial energy). Given the substantial reduction in transmission load afforded by our predictive data collection mechanism, the energy depletion rate for a CH is slow. Consequently, CH rotation is a low-frequency, long-term maintenance event rather than a routine procedure.
- (2)
- Event-Driven Path Re-Planning: The UAV does not merely collect data; it also gathers network-state information, including any CH changes that occurred since its last visit. Path re-optimization on the ES is triggered only if the UAV reports a change in the set of hovering points . In rounds where the network topology is static, the ES can simply dispatch the pre-computed optimal path, eliminating recurrent computational overheads. Moreover, even when a global path re-computation is triggered, the computational cost on the ES remains manageable. As shown in Figure 5, our TSP–CSA algorithm exhibits a significantly faster convergence rate than the benchmark methods. This efficiency ensures that the path optimization process itself imposes only a modest and acceptable computational burden on the ES.
6.4. Consideration of UAV Energy Consumption and System Efficiency
6.5. Generalization to Challenging and Heterogeneous Sensing Environments
- (1)
- A Closed-Loop Feedback Mechanism for Adaptation. The framework is not static. A sustained drop in an ISN’s CPR, potentially caused by a shift to non-stationary data, is monitored by the ES. This can trigger an automatic retraining of the prediction model for that node using recent data, allowing the system to re-converge to an efficient state after the pattern change. This built-in feedback loop is a foundational element for handling dynamic data.
- (2)
- Modular and Model-Agnostic Architecture. The core collaboration workflow, where the ES trains a model and disseminates it for local prediction, is deliberately decoupled from any specific prediction algorithm. This design means that the ARIMA model used in our evaluation can be replaced or supplemented by other specialized models (e.g., more robust models for volatile data) without altering the fundamental “predict-and-compare” protocol. The ES can maintain a portfolio of models suitable for diverse data characteristics.
6.6. Limitations and Future Work
- (1)
- The performance evaluation was conducted entirely in a MATLAB simulation using models for communication channels, UAV dynamics, and energy consumption. Although we used a real-world environmental dataset (soil temperature), the system interactions are simulated. Real-world deployments face unpredictable challenges, such as variable wireless channel conditions (multi-path fading and intermittent LOS), dynamic wind affecting UAV flight stability and energy consumption, hardware imperfections, and clock synchronization issues among distributed ISNs. These factors could impact the performance of the prediction-based protocol and the accuracy of the energy models.
- (2)
- The framework is evaluated in a single-UAV, static-cluster scenario. The performance in highly dynamic networks—where ISNs may fail, join, or move, or where the field topology changes—requires further investigation. Similarly, the coordination mechanisms for multi-UAV systems, which are necessary for covering very large areas, are not addressed in this work.
- (3)
- The efficacy of the predictive layer is contingent on the temporal regularity of the sensing data, as demonstrated with the quasi-periodic temperature dataset. Its performance on highly non-stationary or volatile data streams (e.g., sudden event detection) requires further evaluation and may necessitate the integration of more adaptive or hybrid prediction models.
- (4)
- Our current system model employs several necessary simplifications in order to focus on validating the core collaborative paradigm. First, we assume a highly reliable and low-latency ES. In practice, ES failures or delays would necessitate mechanisms like a local cache at the UAV or predictive pre-fetching. Second, the UAV operation model incorporates key simplifications: (a) the energy model prioritizes propulsion energy (path length) for mission-scale analysis, while hovering and communication energy are considered secondary; and (b) logistical factors such as battery swap/charge time, battery degradation, and scheduling of missions are abstracted. In dense networks or long-duration operations, these factors would become dominant and require joint optimization within the planning framework. Third, the communication model assumes reliable Line-of-Sight (LoS) links between the UAV and ground ISNs. This is a reasonable simplification for open-field scenarios where the UAV hovers above clusters. However, it may not hold in environments with thick vegetation or urban structures, where signal blockage and multi-path fading could impact link reliability and data transmission efficiency. Fourth, our model assumes homogeneous initial energy for all ISNs. In practice, energy heterogeneity due to manufacturing variances, uneven discharge rates, or different distances to the cluster head would affect the fairness and efficiency of cluster head rotation and overall network lifetime. Finally, the overheads of model retraining (communication for data collection and ES computation) are acknowledged but not quantified; its impact on short-term network stability and optimal retraining scheduling remains an open question. Addressing these aspects constitutes vital future work for transitioning DC-CSAP from a robust framework to a deployable system.
- (5)
- The performance evaluation and validation of the DC-CSAP framework in this study are based on simulation. While this allows for controlled and reproducible analysis of the core collaborative paradigm, it inherently cannot fully capture all the practical complexities of real-world deployments. Critical challenges such as unpredictable UAV dynamics under varying wind conditions, GNSS signal interference or loss, non-ideal battery discharge curves, physical obstacles in complex terrain (e.g., dense crops, forests, or urban structures), and the full variability of wireless channels in such environments are abstracted. Consequently, the quantitative results presented demonstrate the framework‘s potential and efficacy under idealized conditions, and its absolute performance in physical settings requires future empirical testing.
- Prototype Development and Field Testing. The most critical next step is to transition from simulation to a real-world prototype. We plan to develop a small-scale testbed comprising a commercial UAV, multiple low-power sensor nodes, and an edge computing unit. This will allow us to validate the core collaboration protocols, measure real energy consumption, and refine the models under actual environmental conditions.
- Joint Optimization of Clustering and UAV Trajectory. The current framework decouples the ISN clustering stage from the UAV path planning stage. A compelling direction is to investigate their joint optimization, where the clustering algorithm (e.g., cluster head selection and cluster boundaries) is co-designed with the UAV’s flight path to minimize a global system cost function that combines ISN communication energy and UAV propulsion energy. This holistic approach could unlock further efficiency gains, especially in large-scale or non-uniformly distributed networks.
- Scalable Multi-UAV Cooperation and Swarm Intelligence. To address large-scale deployment scenarios, we will extend the DC-CSAP architecture to support a cooperative UAV fleet. This research will focus on: (1) distributed task allocation and scheduling mechanisms that account for UAV energy constraints and battery logistics; (2) advanced collaborative trajectory planning, potentially leveraging reinforcement learning (RL) and swarm intelligence algorithms for efficient, adaptive, and collision-free coverage; and (3) UAV-to-UAV communication protocols for robust coordination. This direction aims to transform DC-CSAP into a scalable and autonomous multi-agent data collection system.
- Lightweight and Self-Adaptive Prediction Model. To handle diverse and non-stationary data patterns directly at the resource-constrained ISNs, we will investigate the design of a novel, lightweight prediction model. This model will inherently support dynamic self-adaptation to various data characteristics, eliminating the need for complex model-switching orchestration from the ES and further enhancing the framework’s autonomy and robustness.
- Analysis and Configuration for Robustness in Dynamic Environments. While the adaptive framework enables model switching, ensuring its long-term robustness under diverse and evolving conditions requires deeper study. This work will involve: (1) a comprehensive sensitivity analysis to investigate the interplay between the prediction tolerance threshold (), data characteristics (volatility and periodicity), and model selection; and (2) the development of advanced adaptation mechanisms to address sustained challenges such as model drift and non-stationary data streams. This will include research into lightweight concept drift detection at ES and incremental learning techniques for efficient model updates. The overarching goal is to derive intelligent strategies for dynamically configuring the system (e.g., tuning and triggering model switches or updates) to autonomously maintain the optimal trade-off between communication efficiency and data fidelity across time-varying and multi-modal sensing scenarios.
- Towards a Deployable System: Refining System Models and Protocols. To transition DC-CSAP from a robust framework to a deployable system, future work will address the practical system aspects currently simplified in our model. This includes: (a) enhancing robustness against Edge Server latency or failures through mechanisms like UAV-local caching and predictive task scheduling; (b) refining the UAV energy and logistics model to jointly optimize propulsion, hovering, communication energy, and battery-aware mission scheduling for single- and multi-UAV scenarios; (c) quantifying and minimizing the overheads of model retraining, including their impact on network stability and the development of optimal retraining policies; and (d) incorporating more realistic communication channel models (e.g., probabilistic LoS/NLoS) and designing robust transmission strategies to ensure reliable operation in environments with obstacles, such as dense vegetation or urban areas; and (e) integrating advanced energy-aware clustering strategies, such as the energy level-based dynamic cluster head selection mechanism [33], to balance load and maximize network lifetime in large-scale deployments.
- Real-world Prototyping and Field Deployment. The highest-priority future work is the transition of DC-CSAP from a simulation model to a physically deployed system. This involves the development of a hardware testbed comprising commercial UAV platforms, low-power sensor networks deployed in actual agricultural or industrial plots, and edge computing hardware. The key objectives will be to validate the core collaboration protocols, measure true energy consumption and communication reliability, and evaluate the framework’s robustness against real-world challenges such as adverse weather, terrain obstacles, and unpredictable link quality.
7. Conclusions
Author Contributions
Funding
Data Availability Statement
Acknowledgments
Conflicts of Interest
References
- Li, X.; Gong, Z.; Zheng, J.; Liu, Y.; Cao, H. A survey of data collaborative sensing methods for smart agriculture. Internet Things 2024, 28, 101354. [Google Scholar] [CrossRef]
- Lin, Y.-C.; Wu, T.-Y.; Wang, C.-F.; Ou, J.-Y.; Hsu, T.-C.; Lyu, S.; Cheng, L.; Lin, Y.-X.; Taniar, D. An intelligent plant watering decision support system for drought monitoring & analysis based on AIoT and an LSTM time-series framework. Internet Things 2025, 32, 101617. [Google Scholar] [CrossRef]
- Tekin, N. Age of Information minimization for secure data collection in multi UAV-assisted IoT applications. Internet Things 2025, 33, 101672. [Google Scholar] [CrossRef]
- Wang, R.; Meng, K.; Li, D. Multi-UAV Collaborative Trajectory Planning for Seamless Data Collection and Transmission. In Proceedings of the 2025 IEEE Wireless Communications and Networking Conference (WCNC), Milan, Italy, 24–27 March 2025; pp. 1–7. [Google Scholar] [CrossRef]
- Nguyen, K.-V.; Nguyen, C.-H.; Do, T.V.; Rotter, C. Efficient Multi-UAV Assisted Data Gathering Schemes for Maximizing the Operation Time of Wireless Sensor Networks in Precision Farming. IEEE Trans. Ind. Inform. 2023, 19, 11664–11674. [Google Scholar] [CrossRef]
- Ma, X.; Huang, M.; Ni, W.; Yin, M.; Min, J.; Jamalipour, A. Balancing Time and Energy Efficiency by Sizing Clusters: A New Data Collection Scheme in UAV-Aided Large-Scale Internet of Things. IEEE Internet Things J. 2024, 11, 9355–9367. [Google Scholar] [CrossRef]
- Shen, L.; Wang, N.; Zhu, Z.; Xu, W.; Li, Y.; Mu, X.; Cai, L. UAV-Enabled Data Collection over Clustered Machine-Type Communication Networks: AEM Modeling and Trajectory Planning. IEEE Trans. Veh. Technol. 2022, 71, 10016–10032. [Google Scholar] [CrossRef]
- Prathyusha, Y.; Sheu, T.-L. A Data Collection Scheme for IoT Using NOMA Techniques in UAV-LEO 6G Networks. In Proceedings of the 2023 2nd International Conference on 6G Networking (6GNet), Paris, France, 18–20 October 2023; pp. 1–4. [Google Scholar] [CrossRef]
- Kirkpatrick, S.; Gelatt, C.D., Jr.; Vecchi, M.P. Optimization by simulated annealing. Science 1983, 220, 671–680. [Google Scholar] [CrossRef]
- Kirkpatrick, D.G.; Seidel, R. The Ultimate Planar Convex Hull Algorithm? Siam J. Comput. 1986, 15, 287–299. [Google Scholar] [CrossRef]
- Li, T.; Leng, S.; Xiong, K.; Zhang, H.; Zhang, K. AoI-Sensitive Collaborative Data Generation and Collection for Multi-UAV-Assisted IoT Networks. In Proceedings of the ICC 2025—IEEE International Conference on Communications, Montreal, QC, Canada, 8–12 June 2025; pp. 1–6. [Google Scholar] [CrossRef]
- Liu, Y.; Gong, J. DRL-Based UAV Trajectory Planning for AoS and Energy Consumption Minimization Assisted by AoI. In Proceedings of the GLOBECOM 2023—2023 IEEE Global Communications Conference, Kuala Lumpur, Malaysia, 4–8 December 2023; pp. 1866–1871. [Google Scholar] [CrossRef]
- Huang, J.; Shan, F.; Luo, J.; Xiong, R.; Wu, W. ASSUME: An Optimal Algorithm to Minimize UAV Energy by Altitude and Speed Scheduling. IEEE Trans. Mob. Comput. 2025, 24, 11351–11368. [Google Scholar] [CrossRef]
- Zhu, B.; Bedeer, E.; Nguyen, H.H.; Barton, R.; Henry, J. UAV Trajectory Planning in Wireless Sensor Networks for Energy Consumption Minimization by Deep Reinforcement Learning. IEEE Trans. Veh. Technol. 2021, 70, 9540–9554. [Google Scholar] [CrossRef]
- Sun, H.; Zhou, Y.; Tang, J.; Kang, Z.; Wang, X.; Quek, T.Q.S. Average AoI-Minimal Trajectory Design for UAV-Assisted IoT Data Collection System: A Safe-TD3 Approach. IEEE Wirel. Commun. Lett. 2024, 13, 530–534. [Google Scholar] [CrossRef]
- Qiu, S.; Leung, Y.W. UAV Deployment for Joint Charging, Data Collection and Data Dissemination in Wireless Powered Sensor Networks. In Proceedings of the 2025 IEEE 101st Vehicular Technology Conference (VTC2025-Spring), Oslo, Norway, 17–20 June 2025; pp. 1–7. [Google Scholar] [CrossRef]
- Tan, W.; Ding, T.; Liu, L. Intelligent UAV Deployment for Energy-Efficient IoT Data Collection. IEEE Internet Things J. 2025, 12, 34890–34899. [Google Scholar] [CrossRef]
- Wang, Y.; Chen, M.; Pan, C.; Wang, K.; Pan, Y. Joint Optimization of UAV Trajectory and Sensor Uploading Powers for UAV-Assisted Data Collection in Wireless Sensor Networks. IEEE Internet Things J. 2022, 9, 11214–11226. [Google Scholar] [CrossRef]
- Tang, R.; Zhang, R.; Xu, Y.; He, J. Energy-Efficient Optimization Algorithm in NOMA-Based UAV-Assisted Data Collection Systems. IEEE Wirel. Commun. Lett. 2023, 12, 158–162. [Google Scholar] [CrossRef]
- Chen, W.; Zhao, S.; Zhang, R.; Chen, Y.; Yang, L. UAV-Assisted Data Collection with Nonorthogonal Multiple Access. IEEE Internet Things J. 2021, 8, 501–511. [Google Scholar] [CrossRef]
- Du, P.; Chen, S.; Zeng, Q.; Qing, C. NOMA-based Dual-UAV Data Collection in Wireless Powered IoT Networks. In Proceedings of the 2023 IEEE 98th Vehicular Technology Conference (VTC2023-Fall), Hong Kong, China, 10–13 October 2023; pp. 1–6. [Google Scholar] [CrossRef]
- Zhu, B.; Bedeer, E.; Nguyen, H.H.; Barton, R.; Gao, Z. UAV Trajectory Planning for AoI-Minimal Data Collection in UAV-Aided IoT Networks by Transformer. IEEE Trans. Wirel. Commun. 2023, 22, 1343–1358. [Google Scholar] [CrossRef]
- Sun, M.; Xu, X.; Qin, X.; Zhang, P. AoI-Energy-Aware UAV-Assisted Data Collection for IoT Networks: A Deep Reinforcement Learning Method. IEEE Internet Things J. 2021, 8, 17275–17289. [Google Scholar] [CrossRef]
- Zhang, X.; Chang, Z.; Hämäläinen, T.; Min, G. AoI-Energy Tradeoff for Data Collection in UAV-Assisted Wireless Networks. IEEE Trans. Commun. 2024, 72, 1849–1861. [Google Scholar] [CrossRef]
- Sun, C.; Xiong, X.; Zhai, Z.; Ni, W.; Ohtsuki, T.; Wang, X. Max–Min Fair 3D Trajectory Design and Transmission Scheduling for Solar-Powered Fixed-Wing UAV-Assisted Data Collection. IEEE Trans. Wirel. Commun. 2023, 22, 8650–8665. [Google Scholar] [CrossRef]
- Xu, X.; Zhao, H.; Yao, H.; Wang, S. A Blockchain-Enabled Energy-Efficient Data Collection System for UAV-Assisted IoT. IEEE Internet Things J. 2021, 8, 2431–2443. [Google Scholar] [CrossRef]
- Ariyo, A.A.; Adewumi, A.O.; Ayo, C.K. Stock Price Prediction Using the ARIMA Model. In Proceedings of the 2014 UKSim-AMSS 16th International Conference on Computer Modelling and Simulation, Cambridge, UK, 26–28 March 2014; pp. 106–112. [Google Scholar] [CrossRef]
- Chen, S.; Lin, R.; Zeng, W. Short-Term Load Forecasting Method Based on ARIMA and LSTM. In Proceedings of the 2022 IEEE 22nd International Conference on Communication Technology (ICCT), Nanjing, China, 11–14 November 2022; pp. 1913–1917. [Google Scholar] [CrossRef]
- Aleem, A.; Thumma, R. Hybrid Energy-Efficient Clustering with Reinforcement Learning for IoT-WSNs Using Knapsack and K -Means. IEEE Sens. J. 2025, 25, 30047–30059. [Google Scholar] [CrossRef]
- Hou, X.; Ji, Y.; Liu, W.; Han, J.; Zhang, J.; He, C. Research on Logistics Distribution Routing Problem of Unmanned Vehicles Based on Genetic Simulated Annealing Algorithm. In Proceedings of the 2021 2nd International Conference on Artificial Intelligence and Information Systems (ICAIIS 21), Chongqing, China, 28–30 May 2021; ACM: New York, NY, USA, 2021. [Google Scholar] [CrossRef]
- Ali, A.; Hassanein, H.S. Numeric Prediction for Sensing in Smart Greenhouses. In Proceedings of the GLOBECOM 2020—2020 IEEE Global Communications Conference, Taipei, Taiwan, 7–11 December 2020; pp. 1–6. [Google Scholar] [CrossRef]
- Bob, S.; Yang, K. Time-Lapse Observation Dataset of Soil Temperature and Humidity on the Tibetan Plateau (2008–2016); National Tibetan Plateau Data Center: Beijing, China, 2019. [Google Scholar] [CrossRef]
- Jha, A.V.; Appasani, B.; Khan, M.S.; Song, H.H. A Novel Clustering Protocol for Network Lifetime Maximization in Underwater Wireless Sensor Networks. IEEE Trans. Green Commun. Netw. 2024, 8, 1371–1384. [Google Scholar] [CrossRef]









| References | Year | Collaboration Model | Collection Mode | Inherent Limitations |
|---|---|---|---|---|
| [3,4,16] | 2025 | UAV-to-node association | Full data collection | Ignores data volume reduction |
| [11] | 2025 | UAV-to-UAV association | Full data collection | Ignores data volume reduction |
| [17] | 2025 | UAV-to-node association | Collects all raw data generated in a fixed time window | Overemphasis on the energy cost of sensing data generation |
| [13] | 2025 | Standalone UAV Computing | Full data collection | Solely focuses on UAV energy minimization |
| [6,24] | 2024 | UAV-to-node association | Full data collection | Ignores data volume reduction |
| [15] | 2024 | UAV-to-node association | Full data collection | Overemphasis on safety over energy consumption |
| [5,12,19,22] | 2023 | UAV-to-node association | Full data collection | Ignores data volume reduction |
| [8] | 2023 | UAV-to-LEO association | Full data collection | Requires LEO satellites |
| [21] | 2023 | Dual-UAV-WPINs association | Full data collection | Limited to WPIN systems; ignores data volume reduction |
| ours | 2025 | Edge-UAV-node collaboration | Partial yet sufficient data collection | Free from the above limitations |
| Notations | Meanings | Notations | Meanings |
|---|---|---|---|
| n | The total number of ISNs | m | The total number of ISN groups |
| The jth ISN | One of the m ISN groups | ||
| The UAV hovering position above | H | The vertical distance from each UAV hovering point to the ground | |
| The set of all the UAV hovering points | B | The system bandwidth | |
| The antenna transmission power of | The circuitry-dissipated energy for one bit in one ISN |
| Metrics | Meaning |
|---|---|
| Convergence Rate | The rate at which the algorithm converges from an initial solution to the (near-)optimal solution. |
| UAV Path Length | The average UAV path length in each data collection round. |
| CPR | Correct prediction rate (defined in Equation (13)). |
| Per-ISN Energy | The average energy consumption of an individual ISN per data collection round. |
| Baseline Algorithms | Description |
|---|---|
| TSP-GA (Genetic Algorithm, classic) | A canonical genetic algorithm for the TSP. It evolves a population of candidate paths through selection, crossover, and mutation to minimize the total travel distance. |
| TSP-SA (classic) | An SA approach for the TSP. It iteratively refines a single solution through probabilistic acceptance of suboptimal paths, following a geometrically decreasing temperature schedule. |
| TSP-GSAA [30] | A hybrid metaheuristic combining GA’s global search with SA’s local optimization. The algorithm maintains a population in which each individual undergoes SA-based refinement. |
| ALP [26] | An adaptive linear predictor that dynamically adjusts its weights based on recent prediction errors. Its computational simplicity facilitates deployment on resource-constrained ISNs. |
| LSTM [31] | A Long Short-Term Memory network, a gated recurrent neural network designed to capture long-term temporal dependencies. Although accurate, it requires significant training overhead. |
| Parameters | Values | Parameters | Values |
|---|---|---|---|
| 4 km2 | H | 50 m | |
| n | 2400 | m | 60 |
| B | 1 MHz | −174 dBm/Hz | |
| 10 pJ/bit/m2 | 0.0013 pJ/bit/m2 | ||
| 50 nJ/bit | 21 dBm |
Disclaimer/Publisher’s Note: The statements, opinions and data contained in all publications are solely those of the individual author(s) and contributor(s) and not of MDPI and/or the editor(s). MDPI and/or the editor(s) disclaim responsibility for any injury to people or property resulting from any ideas, methods, instructions or products referred to in the content. |
© 2026 by the authors. Licensee MDPI, Basel, Switzerland. This article is an open access article distributed under the terms and conditions of the Creative Commons Attribution (CC BY) license.
Share and Cite
Ma, X.; Xue, Y.; Huang, M.; Wang, Y. DC-CSAP: An Edge-UAV-End Collaborative Data Collection Framework for UAV-Assisted IoT. Information 2026, 17, 190. https://doi.org/10.3390/info17020190
Ma X, Xue Y, Huang M, Wang Y. DC-CSAP: An Edge-UAV-End Collaborative Data Collection Framework for UAV-Assisted IoT. Information. 2026; 17(2):190. https://doi.org/10.3390/info17020190
Chicago/Turabian StyleMa, Xingpo, Yuerong Xue, Miaomiao Huang, and Yahui Wang. 2026. "DC-CSAP: An Edge-UAV-End Collaborative Data Collection Framework for UAV-Assisted IoT" Information 17, no. 2: 190. https://doi.org/10.3390/info17020190
APA StyleMa, X., Xue, Y., Huang, M., & Wang, Y. (2026). DC-CSAP: An Edge-UAV-End Collaborative Data Collection Framework for UAV-Assisted IoT. Information, 17(2), 190. https://doi.org/10.3390/info17020190

