Analyzing Fairness of Computer Vision and Natural Language Processing Models
Abstract
1. Introduction
- 1.
- The central objective is to demonstrate how a sequential application of fairness mitigation algorithms across the ML lifecycle stages, pre-processing, in-processing, and post-processing, sometimes leads to good mitigation of biases compared to applying these methods in isolation.
- 2.
- To measure the level of bias present in ML models trained on the chosen dataset.
- 3.
- To compare the performance and effectiveness of the three fairness libraries in identifying and mitigating bias.
- 4.
- To offer actionable insights on implementing fairness tools in real-world ML workflows.
2. Review of Related Work
3. Dataset and Model Details
4. Implementation of Fairness Analyses
- 1.
- Single-Algorithm Application: We apply individual mitigation algorithms independently at each stage of the ML lifecycle—pre-processing, in-processing, or post-processing. This approach allows us to evaluate the impact of each algorithm in isolation.
- 2.
- Sequential Algorithm Application: We implement a sequential approach by applying multiple mitigation algorithms across the ML lifecycle stages. Specifically, we combine pre-processing, in-processing, and post-processing techniques in a systematic sequence to leverage the unique strengths of each algorithm.
5. Results and Discussions
- Preprocessing: Techniques like the Correlation Remover addressed biases by eliminating correlations between sensitive and non-sensitive features while preserving data integrity [37].
- In-processing: Algorithms such as Exponentiated Gradient incorporated fairness constraints during model training to ensure fairer decision boundaries [38].
- Postprocessing: Methods like the Threshold Optimizer adjusted predictions after model training to satisfy fairness criteria precisely, ensuring no residual disparities [39].
- Reweighing: It assigns weights to training instances to correct imbalances in demographic representation, addressing biases embedded in the dataset.
- Equalized Odds: It imposes constraints during model training to align true positive and false positive rates across sensitive groups, enhancing fairness without significantly reducing accuracy.
- Disparate Impact Ratio: Ratio of selection rates which is the percentage of samples with positive selection.
- Learning Fair Representations (Consistency Score): The metric computes the consistency score. Individual fairness metric that measures how similar the (predicted) labels are for similar instances (records). It compares a model’s classification prediction of a given data item x to its k-nearest neighbors, kNN(x). It applies the kNN function to the full set of examples to obtain the most accurate estimate of each point’s nearest neighbors
- Adversarial Debiasing: Adversarial debiasing is an in-processing technique that utilizes adversarial learning to mitigate bias. The method involves training a predictive model (the classifier) while simultaneously training an adversarial model that seeks to predict the sensitive attribute (e.g., gender or race) from the classifier’s predictions. The classifier is then optimized to minimize its primary objective (e.g., accuracy) while also minimizing the adversary’s ability to detect the sensitive attribute. This process reduces the dependency of the classifier’s predictions on sensitive features, thereby enhancing fairness.
- Equalized Odds: Equalized odds is a fairness constraint that ensures the predictive performance of a model is consistent across all groups defined by a sensitive attribute. Specifically, it requires that the true positive rate (TPR) and false positive rate (FPR) are equal for all groups. By enforcing parity in these rates, equalized odds minimizes discrimination and ensures that the model’s predictive behavior is fair across different demographic groups.
- Reject Option Classification (ROC): Reject option classification is a postprocessing technique that adjusts the decision boundary of a trained classifier. It introduces a “reject option” for samples with a high likelihood of misclassification or bias. In this option, predictions for individuals from an unprivileged group with borderline scores are reclassified to ensure fairness. ROC aims to correct unfair outcomes by altering decisions in favor of fairness, often at the cost of slight performance reductions.
5.1. Bias Mitigation in Computer Vision Models
5.1.1. Fairlearn Library
- 1.
- Metrics:
- Demographic Parity Difference (DPD): This measures the difference in selection rates among groups within a sensitive feature, such as age group. A small DPD indicates reduced bias, meaning the model treats all groups equally.
- Equalized Odds Difference (EOD): This evaluates the model’s performance, comparing false positive and true positive rates across groups within a sensitive feature.
- 2.
- Results:
- 3.
- Insights:
- Original Model: Accuracy = 66%.
- Demographic Parity Difference (DPD):
- –
- The highest DPD was 55%;
- –
- After applying the mitigation algorithms individually, the highest DPD decreased to 3.5% (best case scenario) with the Threshold Optimizer algorithm, but accuracy dropped to 18%;
- –
- When applying the mitigation algorithms sequentially, the highest DPD decreased to 5% (best case scenario) with the combination of Correlation Remover + Exponentiated Gradient, and the accuracy increased to 30.1%;
- –
- Comparing the individual and sequential approaches: The individual application reduced bias by 93.63%, but the accuracy dropped by 72.72%. The sequential application reduced bias by 90.91%, with a smaller accuracy decrease of 54.39%. This suggests that the sequential approach maintains model performance better than the individual approach while achieving similar levels of bias reduction.
- Equalized Odds Difference (EOD):
- –
- The highest EOD was 31.1%;
- –
- After applying the mitigation algorithms individually, the highest EOD decreased to 3.4% (best case scenario) with the Threshold Optimizer algorithm, but the accuracy dropped to 18%;
- –
- When applying the mitigation algorithms sequentially, the highest EOD decreased to 7.8% (best case scenario) with Correlation Remover + Exponentiated Gradient, and the accuracy increased to 30.1%;
- –
- Comparing the individual and sequential approaches: The individual application reduced bias by 89.07%, but the accuracy dropped by 72.72%. The sequential application reduced bias by 74.92%, with a smaller accuracy decrease of 54.39%. This shows that while the sequential approach maintains a better performance, it does not reduce bias as effectively as the individual approach.
5.1.2. AIF360 Library
- 1.
- Metrics:
- Statistical Parity Difference (SPD): Analogous to DPD, measures selection rate differences among sensitive groups;
- Average Odds Difference (AOD): Averages the differences in false positive and true positive rates between groups;
- Equal Opportunity Difference (EOD): Measures recall disparities between privileged and unprivileged groups;
- Generalized Entropy Index: Quantifies prediction randomness across groups to ensure fairness;
- Theil Index: Similar to the entropy index but more sensitive to small datasets.
- 2.
- Results:
- 3.
- Insights:From the results in Table 6, we find that the original model has an accuracy of 70.5% and the highest bias metric (Theil Index) is 58.61%.After applying the mitigation algorithms individually, the highest bias metric (Theil Index) decreased to 47.14% in the best-case scenario, with accuracy reaching 70.90% using the Disparate Impact Remover algorithm. In contrast, when applying the mitigation algorithms sequentially, the highest bias metric (Theil Index) dropped to 53.30%, with the accuracy at 62.83% using the combination of Reweighing + Disparate Impact Remover + Adversarial Debiasing + Reject Option Classification (RW + DIR + AD + ROC). Comparing the two approaches, the individual application reduced bias by 19.57% while maintaining nearly the same accuracy. Meanwhile, the sequential application reduced bias by 9.06%, but the accuracy decreased by 10.88%. These results indicate that the individual application outperforms the sequential approach in bias mitigation.
- Some Fairlearn mitigation algorithms, such as Exponentiated Gradient Reduction, were incompatible with TensorFlow-based models.
- The Learning Fair Representation algorithm required excessive computational resources, limiting its utility on local machines.
5.2. Bias Mitigation in NLP Models
5.2.1. Fairlearn Library
- 1.
- Results:
- 2.
- Insights:From the results in Table 7, we observe that the original model has an accuracy of 98.1% and the highest bias metric (DPD) is 27.4%.After applying the mitigation algorithms individually, the highest bias metric (DPD) decreased to 21.4% with the Exponentiated Gradient algorithm, while the accuracy dropped to 95.4%. On the other hand, when the mitigation algorithms were applied in sequential order, the highest bias metric (DPD) decreased to 17.9%, with an accuracy of 92.7% using the combination of Correlation Remover and Exponentiated Gradient.Comparing the individual and sequential applications of the algorithms, we find that the individual application reduces bias by 21.89%, but the model’s accuracy decreases by 2.75%. In contrast, the sequential application reduces bias by 34.67%, but the model’s accuracy decreases by 5.5%. These results show that the sequential application is more effective in reducing bias, while maintaining model performance at a similar level.
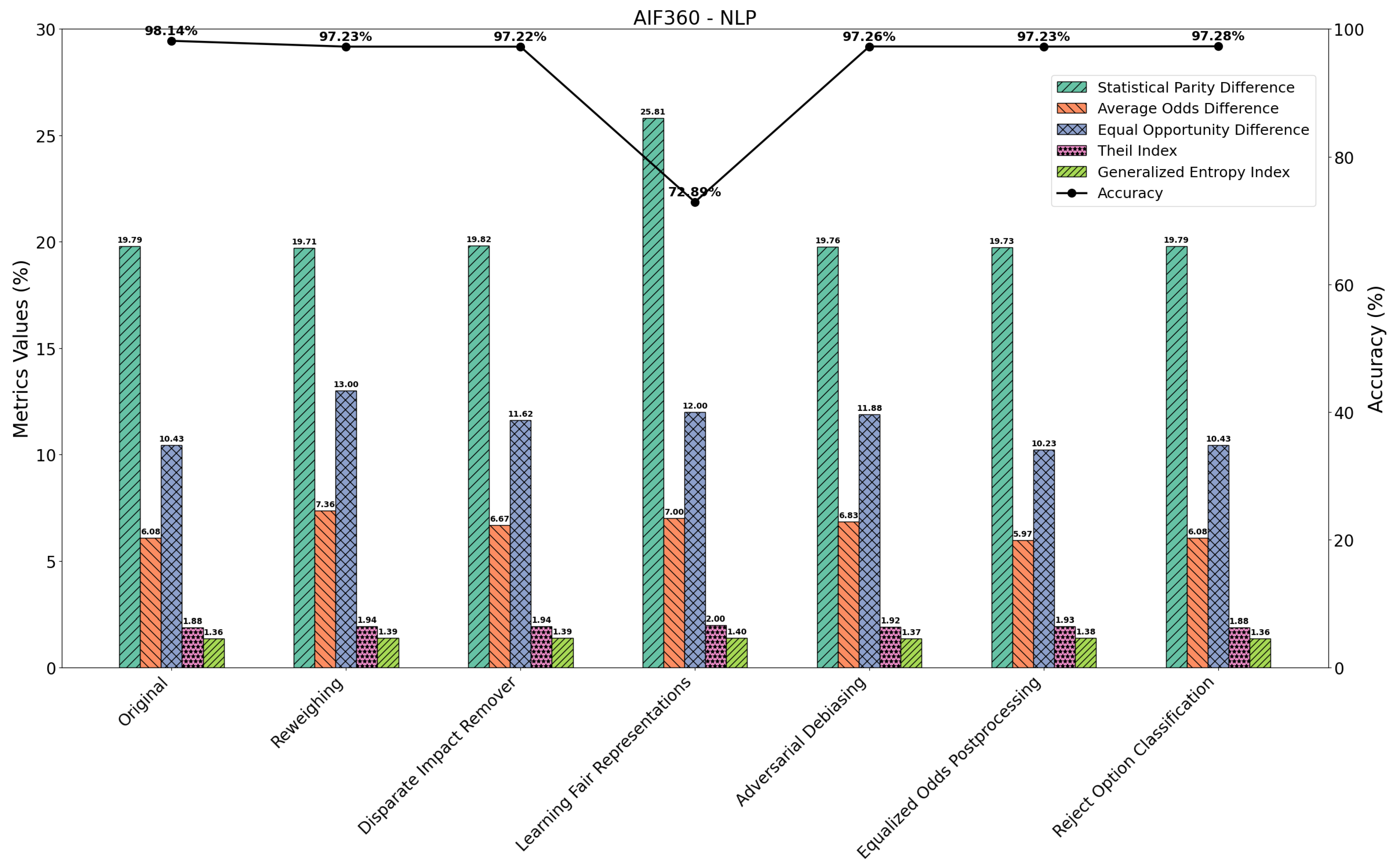
5.2.2. AIF360 Library
- 1.
- Results:
- 2.
- Insights:From the results in Table 8, we find that the original model has an accuracy of 98.14% and the highest bias metric (SPD) being 19.80%.After applying the mitigation algorithms individually, the highest bias metric (SPD) decreased to 19.71%, with the model’s accuracy reaching 97.23% using the Reweighing algorithm. In contrast, when the mitigation algorithms were applied in sequential order, the highest bias metric (SPD) remained unchanged, while the accuracy slightly dropped to 97.32% with the combination of Reweighing + Disparate Impact Remover + Adversarial Debiasing + Equalized Odds Postprocessing (RW + DIR + AD + EOP). A comparison of the individual and sequential application of algorithms reveals that both methods resulted in minimal change to the model’s bias or performance.
6. Future Work
7. Conclusions
Author Contributions
Funding
Institutional Review Board Statement
Informed Consent Statement
Data Availability Statement
Acknowledgments
Conflicts of Interest
References
- Mukerjee, A.; Biswas, R.; Deb, K.; Mathur, A.P. Multi–objective evolutionary algorithms for the risk–return trade–off in bank loan management. Int. Trans. Oper. Res. 2002, 9, 583–597. [Google Scholar] [CrossRef]
- Bogen, M.; Rieke, A. Help Wanted: An Examination of Hiring Algorithms, Equity and Bias. Upturn, 2018. Techical Report. Available online: https://www.upturn.org/static/reports/2018/hiring-algorithms/files/Upturn%20--%20Help%20Wanted%20-%20An%20Exploration%20of%20Hiring%20Algorithms,%20Equity%20and%20Bias.pdf (accessed on 4 February 2025).
- Cohen, L.; Lipton, Z.C.; Mansour, Y. Efficient candidate screening under multiple tests and implications for fairness. arXiv 2019, arXiv:1905.11361. [Google Scholar]
- Danziger, S.; Levav, J.; Avnaim-Pesso, L. Extraneous factors in judicial decisions. Proc. Nat. Acad. Sci. USA 2011, 108, 6889–6892. [Google Scholar] [CrossRef]
- O’Keeffe, A.; McCarthy, M. The Routledge Handbook of Corpus Linguistics; Routledge: London, UK,, 2010. [Google Scholar]
- Angwin, J.; Larson, J.; Mattu, S.; Kirchner, L. Machine Bias: There’s Software Used Across the Country to Predict Future Criminals. And It’s Biased Against Blacks. 2019. Available online: https://www.propublica.org/article/machine-bias-risk-assessments-in-criminal-sentencing (accessed on 16 December 2024).
- O’Neil, C. Weapons of Math Destruction: How Big Data Increases Inequality and Threatens Democracy; Crown Publishing Group: New York, NY, USA, 2016. [Google Scholar]
- Madaio, M.A.; Stark, L.; Vaughan, J.W.; Wallach, H. Co-Designing Checklists to Understand Organizational Challenges and Opportunities Around Fairness in AI. In Proceedings of the 2020 CHI Conference on Human Factors in Computing Systems, Honolulu, HI, USA, 25–30 April 2020; pp. 1–14. [Google Scholar]
- Buolamwini, J.; Gebru, T. Gender shades: Intersectional accuracy disparities in commercial gender classification. In Proceedings of the Conference on Fairness, Accountability and Transparency, New York, NY, USA, 23–24 February 2018; pp. 77–91. [Google Scholar]
- Guo, A.; Kamar, E.; Vaughan, J.W.; Wallach, H.M.; Morris, M.R. Toward fairness in AI for people with disabilities: A research roadmap. arXiv 2019, arXiv:1907.02227. [Google Scholar] [CrossRef]
- Rudin, C.; Wang, C.; Coker, B. The age of secrecy and unfairness in recidivism prediction. arXiv 2018, arXiv:1811.00731. [Google Scholar]
- Bolukbasi, T.; Chang, K.; Zou, J.; Saligrama, V.; Kalai, A. Man is to Computer Programmer as Woman is to Homemaker? Debiasing Word Embeddings. arXiv 2016, arXiv:1607.06520. [Google Scholar]
- Rystsov, D. CASPaxos: Replicated State Machines without logs. arXiv 2018, arXiv:1802.07000. [Google Scholar]
- Greenlees, J.P.C. The Balmer spectrum of rational equivariant cohomology theories. arXiv 2017, arXiv:1706.07868. [Google Scholar] [CrossRef]
- Rashed, A.; Kallich, A.; Eltayeb, M. Analyzing Fairness of Classification Machine Learning Model with Structured Dataset. arXiv 2024, arXiv:2412.09896. [Google Scholar]
- Computer Vision Dataset. Available online: https://www.kaggle.com/datasets/jangedoo/utkface-new (accessed on 16 December 2024).
- NLP Dataset. Available online: https://www.kaggle.com/datasets/prasad22/ca-independent-medical-review (accessed on 16 December 2024).
- Shahriar, S.; Allana, S.; Hazratifard, S.M.; Dara, R. A survey of privacy risks and mitigation strategies in the Artificial Intelligence life cycle. IEEE Access. 2023, 11, 61829–61854. [Google Scholar] [CrossRef]
- Mehrabi, N.; Morstatter, F.; Saxena, N.; Lerman, K.; Galstyan, A. A Survey on Bias and Fairness in Machine Learning. ACM Comput. Surv. 2021, 54, 1–35. [Google Scholar] [CrossRef]
- Suresh, H.; Guttag, J.V. A Framework for Understanding Unintended Consequences of Machine Learning. Commun. ACM 2021, 64, 62–71. [Google Scholar]
- Malekmohammadi, S.; Taik, A.; Farnadi, G. Mitigating Disparate Impact of Differential Privacy in Federated Learning Through Robust Clustering. arXiv 2024, arXiv:2405.19272. [Google Scholar]
- Bell, A.; Fonseca, J.; Abrate, C.; Bonchi, F.; Stoyanovich, J. Fairness in Algorithmic Recourse Through the Lens of Substantive Equality of Opportunity. arXiv 2024, arXiv:2401.16088. [Google Scholar]
- Xu, S.; Strohmer, T. On the (In)Compatibility between Group Fairness and Individual Fairness. arXiv 2024, arXiv:2401.07174. [Google Scholar]
- Binns, R. Fairness in Machine Learning: Lessons from Political Philosophy. In Proceedings of the 2018 Conference on Fairness, Accountability, and Transparency (FAT), New York, NY, USA, 23–24 February 2018. [Google Scholar]
- Wu, D. The effects of data preprocessing on probability of default model fairness. arXiv 2024, arXiv:2408.15452. [Google Scholar]
- Zhang, B.H.; Lemoine, B.; Mitchell, M. Mitigating Unwanted Biases with Adversarial Learning. In Proceedings of the 2018 AAAI/ACM Conference on AI, Ethics, and Society (AIES), New Orleans, LA, USA, 2–3 February 2018. [Google Scholar]
- Chouldechova, A. Fair Prediction with Disparate Impact: A Study of Bias in Recidivism Prediction Instruments. Big Data 2017, 5, 153–163. [Google Scholar] [CrossRef] [PubMed]
- Xu, D.; Yuan, S.; Zhang, L.; Wu, X. FairGAN: Fairness-Aware Generative Adversarial Networks. In Proceedings of the 2020 International Joint Conference on Artificial Intelligence (IJCAI), Yokohama, Japan, 11–17 July 2020. [Google Scholar]
- Nayyem, N.; Rakin, A.; Wang, L. Bridging Interpretability and Robustness Using LIME-Guided Model Refinement. arXiv 2024, arXiv:2412.18952. [Google Scholar]
- Lundberg, S.M.; Lee, S.-I. A Unified Approach to Interpreting Model Predictions. In Proceedings of the 31st Conference on Neural Information Processing Systems (NeurIPS), Long Beach, CA, USA, 4–9 December 2017. [Google Scholar]
- Kearns, M.; Neel, S.; Roth, A.; Wu, Z.S. Preventing Fairness Gerrymandering: Auditing and Learning for Subgroup Fairness. In Proceedings of the 35th International Conference on Machine Learning (ICML), Stockholm, Sweden, 10–15 July 2018. [Google Scholar]
- Barocas, S.; Hardt, M.; Narayanan, A. Fairness and Accountability in Machine Learning. In Proceedings of the 2019 Conference on Fairness, Accountability, and Transparency, Atlanta, GA, USA, 29–31 January 2019. [Google Scholar]
- Fairlearn by Microsoft. Available online: https://fairlearn.org/ (accessed on 16 December 2024).
- AIF360 by IBM. Available online: https://aif360.readthedocs.io/en/stable/ (accessed on 16 December 2024).
- What-If Tool by Google. Available online: https://pair-code.github.io/what-if-tool/ (accessed on 16 December 2024).
- Github of the Project. Available online: https://github.com/mohammad2012191/Fairness-in-Machine-Learning-Identifying-and-Mitigation-of-Bias/ (accessed on 16 December 2024).
- Hardt, M.; Price, E.; Srebro, N. Equality of Opportunity in Supervised Learning. In NeurIPS, 3315–3323. 2016. Available online: https://proceedings.neurips.cc/paper/2016/hash/9d2682367c3935defcb1f9e247a97c0d-Abstract.html (accessed on 16 December 2024).
- Weerts, H.; Royakkers, L.; Pechenizkiy, M. Does the end justify the means? On the moral justification of fairness-aware machine learning. arXiv 2022, arXiv:2202.08536. [Google Scholar]
- Mittelstadt, B.; Wachter, S.; Russell, C. The unfairness of fair machine learning: Levelling down and strict egalitarianism by default. arXiv 2023, arXiv:2302.02404. [Google Scholar] [CrossRef]
- Barocas, S.; Hardt, M.; Narayanan, A. Fairness and Machine Learning. Online Resource. 2017. Available online: https://fairmlbook.org/ (accessed on 16 December 2024).
- Bellamy, R.K.; Dey, K.; Hind, M.; Hoffman, S.C.; Houde, S.; Kannan, K.; Lohia, P.; Martino, J.; Mehta, S.; Mojsilovic, A.; et al. AI Fairness 360: An extensible toolkit for detecting, understanding, and mitigating unwanted algorithmic bias. IBM J. Res. Dev. 2019. [Google Scholar] [CrossRef]
- Friedler, S.A.; Scheidegger, C.; Venkatasubramanian, S.; Choudhary, S.; Hamilton, E.P.; Roth, D. A comparative study of fairness-enhancing interventions in machine learning. arXiv 2019, arXiv:1802.04422. [Google Scholar]
- Rajkomar, A.; Hardt, M.; Howell, M.D.; Corrado, G.; Chin, M.H. Ensuring fairness in machine learning to advance health equity. Ann. Intern. Med. 2018, 169, 866–872. [Google Scholar] [CrossRef] [PubMed]
- Xu, D.; Yuan, S.; Zhang, L.; Wu, X. FairGAN: Fairness-aware generative adversarial networks. In Proceedings of the 2018 IEEE International Conference on Big Data (Big Data), Seattle, WA, USA, 10–13 December 2018. [Google Scholar] [CrossRef]
- Arrieta, A.B.; Díaz-Rodríguez, N.; Del Ser, J.; Bennetot, A.; Tabik, S.; Barbado, A.; Garcia, S.; Gil-Lopez, S.; Molina, D.; Benjamins, R.; et al. Explainable artificial intelligence (XAI): Concepts, taxonomies, opportunities, and challenges toward responsible AI. Inf. Fusion 2020, 58, 82–115. [Google Scholar] [CrossRef]
- Doshi-Velez, F.; Kim, B. Towards a rigorous science of interpretable machine learning. arXiv 2017, arXiv:1702.08608. [Google Scholar]









| Harm Type | Definition |
|---|---|
| Allocation Harm | Unequal distribution of opportunities or resources, such as an algorithm disproportionately favoring men over women for job offers [8]. |
| Quality-of-Service Harm | Unequal performance across groups, e.g., facial recognition systems misclassifying Black women more frequently than White men [9], or speech recognition systems underperforming for users with speech disabilities [10]. |
| Stereotyping Harm | Reinforcing societal stereotypes, such as image searches for “CEO” showing predominantly White men [8]. |
| Denigration Harm | Producing offensive outputs, such as misclassifying individuals as animals or chatbots generating slurs [8]. |
| Representation Harm | Over- or under-representing certain groups, such as racial bias in welfare fraud investigations or neglecting elderly populations in surveillance applications [8]. |
| Procedural Harm | Violations of social norms in decision-making practices, such as penalizing job candidates for extensive experience or failing to ensure transparency and accountability in algorithmic decisions [11]. |
| Library | Dataset | Metrics | Mitigation Algorithms |
|---|---|---|---|
| Fairlearn by Microsoft [33] | CV: UTKFace dataset [16,17]. NLP: California Independent Medical Review (IMR) Dataset [16,17] | Demographic Parity, Equalized Odds | Correlation Remover, Exponentiated Gradient, Grid Search, and Threshold Optimizer. |
| AIF360 by IBM [34] | CV: UTKFace dataset [16,17]. NLP: California Independent Medical Review (IMR) Dataset [16,17] | Statistical Parity Difference, Average Odds Difference, Equal Opportunity Difference, Theil Index, and Generalized Entropy Index. | Reweighing, Disparate Impact Remover, Learning Fair Representations, Adversarial Debiasing, Equalized Odds, and Reject Option Classification. |
| What-If Tool by Google [35] | CV: UTKFace dataset [16,17]. NLP: California Independent Medical Review (IMR) Dataset [16,17] | Demographic Parity Difference, Equalized Odds Difference | N/A |
| Fairlearn | AIF360 | What-If-Tool | |
|---|---|---|---|
| Pro |
|
|
|
| Cons |
|
|
|
| Metric | Accuracy of Original Model | Subgroup with Max Bias | Algorithm with Max Mitigation | Algorithm with Min Mitigation |
|---|---|---|---|---|
| Demographic Parity Difference (DPD) (%) | 66% | 55% (30–80 y) | Threshold Optimizer (, Acc = 18%) | Grid Search (, Acc = 45%) |
| Equalized Odds Difference (EOD) (%) | 66% | 31.1% (0–18 y) | Threshold Optimizer (, Acc = 18%) | Correlation Remover (, Acc = 63%) |
| Metric | Accuracy of Original Model | Subgroup with Max Bias | Algorithm with Max Mitigation | Algorithm with Min Mitigation |
|---|---|---|---|---|
| Demographic Parity Difference (DPD) (%) | 66% | 55% (30–80 y) | Correlation Remover + Exponentiated Gradient (, Acc = 30.10%) | Correlation Remover + Grid Search (, Acc = 51.70%) |
| Equalized Odds Difference (EOD) (%) | 66% | 31.1% (0–18 y) | Correlation Remover + Exponentiated Gradient (, Acc = 30.1%) | Correlation Remover + Grid Search (, Acc = 51.7%) |
| Mitigation Algorithm | Accuracy of Original Model | Metric with Max Bias | Algorithm with Max Mitigation | Algorithm with Min Mitigation |
|---|---|---|---|---|
| Individual Application | 70.5% | 58.61% (Theil Index) | Disparate Impact Remover (Theil Index = 47.14%, Acc = 70.90%) | Equalized Odds Postprocessing (Theil Index = 63.12%, Acc = 17.86%) |
| sequential Application | 70.5% | 58.61% (Theil Index) | RW + DIR + AD + ROC (Theil Index = 53.30%, Acc = 62.83%) | RW + DIR + AD + EOP (Theil Index = 54.56%, Acc = 66.90%) |
| Mitigation Algorithm | Accuracy of Original Model | Metric with Max Bias | Algorithm with Max Mitigation | Algorithm with Min Mitigation |
|---|---|---|---|---|
| Individual Application | 98.1% | 27.4% (DPD) | Exponentiated Gradient (DPD = 21.4%, Acc = 95.4%) | Grid Search (EOD = 58.3%, Acc = 90%) |
| sequential Application | 98.1% | 27.4% (DPD) | Correlation Remover + Exponentiated Gradient (DPD = 17.9%, Acc = 92.7%) | Correlation Remover + Grid Search (EOD = 41.3%, Acc = 93.6%) |
| Mitigation Algorithm | Accuracy of Original Model | Metric with Max Bias | Algorithm with Max Mitigation | Algorithm with Min Mitigation |
|---|---|---|---|---|
| Individual Application | 98.14% | 19.79% (SPD) | Reweighing (SPD = 19.71%, Acc = 97.23%) | Learning Fair Representations (SPD = 25.81%, Acc = 72.89%) |
| sequential Application | 98.14% | 19.80% (SPD) | RW + DIR + AD + EOP (SPD = 19.80%, Acc = 97.32%) | RW + DIR + AD + ROC (SPD = 20.16%, Acc = 97.46%) |
Disclaimer/Publisher’s Note: The statements, opinions and data contained in all publications are solely those of the individual author(s) and contributor(s) and not of MDPI and/or the editor(s). MDPI and/or the editor(s) disclaim responsibility for any injury to people or property resulting from any ideas, methods, instructions or products referred to in the content. |
© 2025 by the authors. Licensee MDPI, Basel, Switzerland. This article is an open access article distributed under the terms and conditions of the Creative Commons Attribution (CC BY) license (https://creativecommons.org/licenses/by/4.0/).
Share and Cite
Rashed, A.; Kallich, A.; Eltayeb, M. Analyzing Fairness of Computer Vision and Natural Language Processing Models. Information 2025, 16, 182. https://doi.org/10.3390/info16030182
Rashed A, Kallich A, Eltayeb M. Analyzing Fairness of Computer Vision and Natural Language Processing Models. Information. 2025; 16(3):182. https://doi.org/10.3390/info16030182
Chicago/Turabian StyleRashed, Ahmed, Abdelkrim Kallich, and Mohamed Eltayeb. 2025. "Analyzing Fairness of Computer Vision and Natural Language Processing Models" Information 16, no. 3: 182. https://doi.org/10.3390/info16030182
APA StyleRashed, A., Kallich, A., & Eltayeb, M. (2025). Analyzing Fairness of Computer Vision and Natural Language Processing Models. Information, 16(3), 182. https://doi.org/10.3390/info16030182

