Next Article in Journal
Fiscal Management and Artificial Intelligence as Strategies to Combat Corruption in Colombia
Next Article in Special Issue
QCNN-Inspired Variational Circuits for Enhanced Noise Robustness in Quantum Deep Q-Learning
Previous Article in Journal
Curriculum-Aware Cognitive Diagnosis via Graph Neural Networks
Previous Article in Special Issue
A Comparative Study of Quantum Haar Wavelet and Quantum Fourier Transforms for Quantum Image Transmission
 
 
Font Type:
Arial Georgia Verdana
Font Size:
Aa Aa Aa
Line Spacing:
Column Width:
Background:
Article

Topological Formalism for Quantum Entanglement via B3 and S0 Mappings

Dipartimento di Matematica, Università degli Studi dell’Insubria, 21100 Varese, Italy
Information 2025, 16(11), 997; https://doi.org/10.3390/info16110997
Submission received: 29 September 2025 / Revised: 23 October 2025 / Accepted: 4 November 2025 / Published: 17 November 2025

Abstract

We present two propositions and a theorem to establish a foundational framework for a novel perspective on quantum information framed in terms of differential geometry and topology. In particular, we show that the mapping to S 0 naturally encodes the binary outcomes of entangled quantum states, providing a minimal yet powerful abstraction of quantum duality. Building on this, we introduce the concept of a discrete fiber bundle to represent quantum steering and correlations, where each fiber corresponds to the two possible measurement outcomes of entangled qubits. This construction offers a new topological viewpoint on quantum information, distinct from traditional Hilbert-space or metric-based approaches. The present work serves as a preliminary formulation of this framework, with further developments to follow.

1. Introduction

The theory of quantum information has developed into a cornerstone of modern quantum science, with potential applications ranging from quantum algorithms and secure communication [1], to error correction [2,3], and quantum networking [4]. Beyond its technological relevance, quantum information provides a unique perspective on the nature of the Universe and the phenomenon of entanglement [5].
Quantum entanglement, famously described by Einstein as “spooky action at a distance” [6], underlies many protocols in quantum cryptography [7] and serves as a fundamental resource for quantum computation [8]. Despite the progress in quantum information theory, its mathematical language remains under active development [9,10]. New mathematical frameworks are required to fully exploit its potential, both for computational purposes and for deepening our understanding of quantum reality [11].
In this work, we introduce a new geometric formalism for the study of entangled states. We base our approach on two propositions: (1) representing bipartite entanglement through topological identifications in a three-dimensional ball B 3 , and (2) modeling the measurement process as a collapse onto the 0-sphere S 0 , corresponding to the two possible outcomes. Here, we interpret S 0 as the 0-sphere, i.e., the discrete two-point set { 1 , + 1 } , which we use to represent the binary outcomes of quantum measurement. Its topological disconnectivity reflects the intrinsic duality of entangled states. This formalism provides a natural mapping between the geometry of entanglement and quantum steering via spin-flip correlations. Previous work on the geometry in quantum information has explored several approaches to characterizing entanglement and measurement outcomes. Brody and Hughston [12] developed a framework for geometric quantum mechanics using the Fubini–Study metric on projective Hilbert space, while Bengtsson and Życzkowski [13] systematically studied the geometry of quantum state spaces, including entanglement polytopes and the Bloch sphere. Our approach builds on this tradition by focusing on a minimal topological representation, modeling the measurement process as a collapse from B 3 to S 0 . This viewpoint offers a simplified but rigorous mapping that may complement metric-based approaches and inspire new geometric methods for quantum information processing. Physically, the mapping B 3 S 0 encapsulates the algorithmic correspondence between entanglement and measurement processes in quantum systems, whereby continuous state spaces are projected onto discrete outcome sets. In contrast to geometric quantum mechanics [14], which relies on the Fubini–Study metric of projective Hilbert space CP n , the present framework replaces the metric structure with a purely topological one. This substitution emphasizes the discrete and non-metric nature of quantum measurement outcomes, while retaining a geometric intuition consistent with the projective viewpoint. Hence, the mapping B 3 S 0 may be regarded as a minimal topological analogue of the projection from a continuous state manifold to discrete measurement results. This approach has possible extensions, including its embedding in the Bloch sphere representation [15] and generalizations to higher-dimensional complex projective spaces CP n [13]. These developments open the door to a differential-geometric treatment of quantum information, potentially yielding new insights into quantum computation, entanglement classification, and quantum state discrimination [12,13].
We start our framework by introducing two crucial definitions.
Definition 1.
Let B 3 be an abstract state space (a source space), formalized as a 3-ball, whose points label the possible physical positions of individual, unentangled particles (i.e. two photons trapped in an own optical cavity or two electrons trapped in their own Penning trap). By simplicity, we let a point p B 3 corresponds to a particle at a unique spatial position.
Definition 2.
Let B 3 / be the quotient space, an abstract state space of entangled particle pairs, constructed from the source space B 3 by imposing an equivalence relation ∼. This relation, defined by the measurement correlation x y f ( y ) = R ( f ( x ) ) , identifies pairs of points ( x , y ) that represent entangled partners. The projection π : B 3 B 3 / maps the distinct particle states x and y to a single equivalence class [ x ] = [ y ] , representing the non-local entangled pair. In this space, the unique identity and individual positions x and y are lost, modeling the instantaneous correlation enforced by quantum entanglement.
Proposition 1
(Topological space for quantum entanglement). Let two particles be maximally entangled, where particle a is associated to a unique coordinate x, and particle b to y, with x , y B 3 . Let the mapping f : B 3 S 0 represent the binary measurement process, such that f ( x ) and f ( y ) represent potential measurement outcomes at positions x and y, respectively.
We impose a deterministic relational operation R such that f ( y ) = R ( f ( x ) ) , with R ( f ( x ) ) = ± f ( x ) . This implies that any two states can be symmetrically or anti-symmetrically correlated ( { + 1 , + 1 } , { 1 , 1 } , { 1 , + 1 } , { + 1 , 1 } ). Moreover, we have the induced map f ˜ : B 3 / S 0 which is defined by
f ˜ ( [ x ] ) : = f ( x ) ,
where f = f ˜ π and π : B 3 B 3 / is the quotient projection. Then, the space of quantum steering-mediated transformations between the two particles forms a topological manifold homeomorphic to S 0 , under the following conditions:
  • The relation R induces an equivalence relation x y on B 3 , defined by x y f ( y ) = R ( f ( x ) ) .
  • For all scaling maps C, we have C x = C y in S 0 .
  • For all operations A, we have A x = A y in S 0 .
Here, the projection π : B 3 B 3 / is the canonical quotient map in the category of topological spaces. The induced map f ˜ : B 3 / S 0 is therefore well defined and continuous by construction.
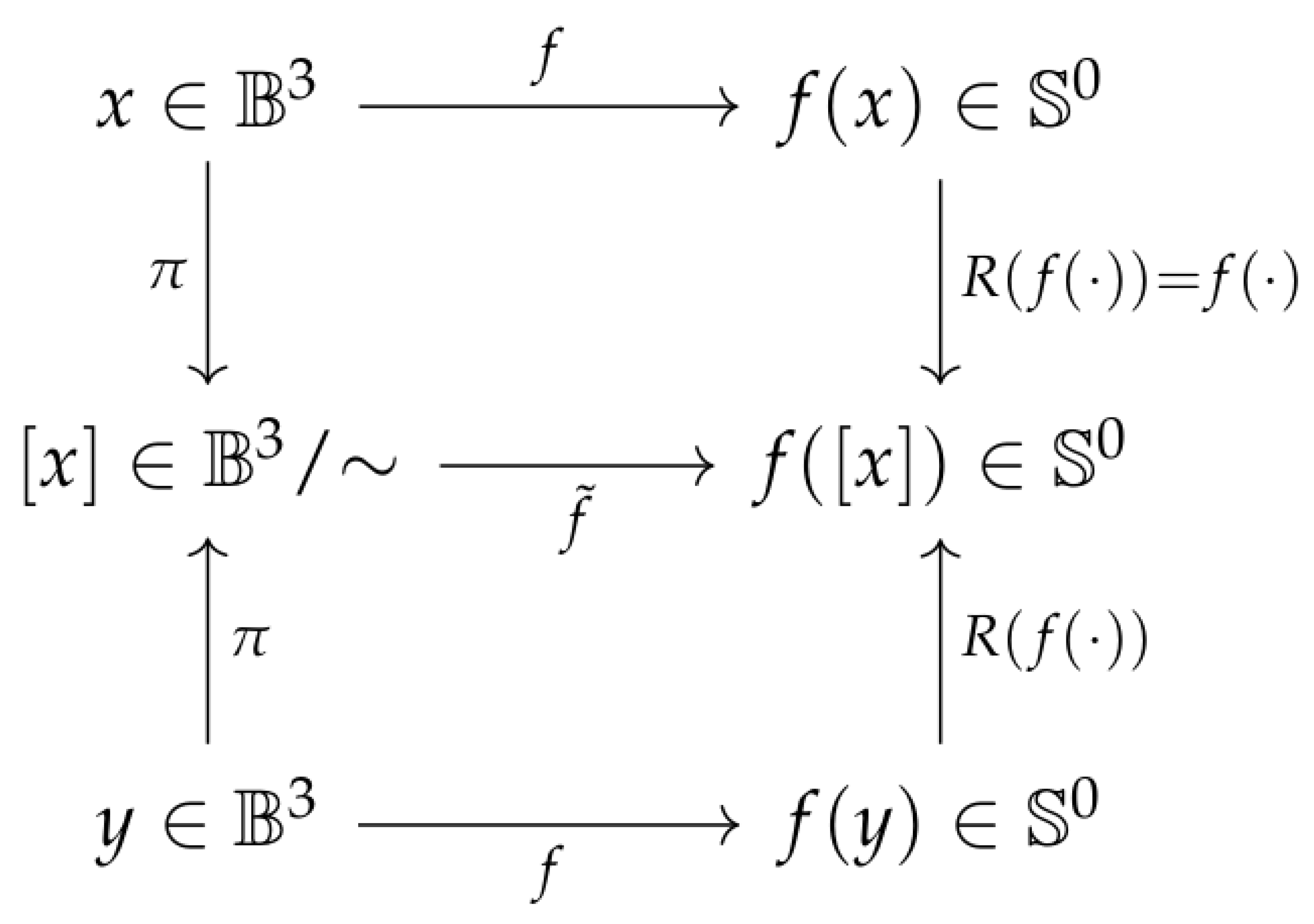
The S 0 manifold thus represents a state-transformation space where only topological structure remains, making any metric properties from B 3 or B 3 / irrelevant. Quantum steering transformations between maximally entangled states are thereby encoded as binary, disconnected, and nonlocal behaviors, yielding only two possible outcomes: { 1 , 1 } S 0 . Moreover, the topological disconnectivity of S 0 can also reflect the quantum jumps inherent in state collapse, while its binary structure captures the intrinsic duality in the outcomes of entangled quantum systems. Proposition 1 can be formalized into the following diagram (Figure 1).
Proof. 
Let x , y B 3 be the coordinates of two maximally entangled particles. Consider the measurement map f : B 3 S 0 which assigns to each particle a potential measurement outcome ± 1 .
By the definition of maximal entanglement, there exists a deterministic relation R such that f ( y ) = R ( f ( x ) ) with R = ± . This relation induces an equivalence relation x y on B 3 defined by x y f ( y ) = R ( f ( x ) ) .
Form the quotient space B 3 / (representing the activation of entanglement) by the projection π : B 3 B 3 / . The induced map f ˜ : B 3 / S 0 defined by f ˜ ( [ x ] ) : = f ( x ) is well-defined because if [ x ] = [ y ] , then f ( y ) = R ( f ( x ) ) = ± f ( x ) , and since S 0 has only two elements { 1 , + 1 } , the assignment is well-defined up to the global correlation choice R = ± enforced by entanglement.
For any scaling map C or operation A, since [ x ] = [ y ] in B 3 / , we have [ C x ] = [ C y ] and [ A x ] = [ A y ] in the quotient space. Under f ˜ , these map to the same element in S 0 , hence C x = C y and A x = A y in S 0 .
To prove S 0 is disconnected: take U = { 1 } and V = { + 1 } . Then U V = , U V = S 0 , and both U and V are open (and closed) in the subspace topology inherited from R . Hence, S 0 is disconnected. □
Remark 1.
The equivalence relation x y f ( y ) = R ( f ( x ) ) defined in Proposition 1 groups states connected by a deterministic outcome relation R, where R = ± . To topologically distinguish between positively correlated (e.g., | ϕ + ) and anti-correlated (e.g., | ψ ) entangled states, the equivalence relation must be refined to encode the sign of R. We therefore define two distinct relations:
  • x + y f ( y ) = + f ( x )
  • x y f ( y ) = f ( x )
This yields two topologically distinct quotient spaces, B 3 / + and B 3 / , which represent the correlated and anti-correlated entanglement classes, respectively. Consequently, the original projection map π is refined into distinct maps π + : B 3 B 3 / + and π : B 3 B 3 / , defined by π + ( x ) = [ x ] + and π ( x ) = [ x ] .
The original, coarser quotient space B 3 / is recovered as the disjoint union of these two finer quotient spaces:
B 3 / B 3 / + B 3 / .
The induced maps f ˜ ± are defined in complete analogy to Proposition 1, satisfying the relation f = f ˜ ± π ± , which ensures the commutativity of the corresponding diagrams for each correlation type. The maps f ˜ + and f ˜ then become well-defined classifiers on these separate spaces, preserving the crucial physical distinction between correlated and anti-correlated entanglement within the topological formalism.
The topological framework developed above can be naturally extended to a differential geometric setting by considering the space of entangled particles as a smooth manifold. Let M be a smooth manifold representing the configuration space of entangled particles. We can then construct a fiber bundle that captures the measurement process in a geometrically richer context.
To do this, define π * : T p M S 0 as a continuous surjection assigning to each tangent space its discrete measurement outcome. The total space E = p M T p M together with π * forms a trivial fiber bundle ( E , M , π * , S 0 ) in the topological sense. We can then form the second proposition.
Proposition 2
(Representation of quantum steering as a fiber). Let two isolated particles a and b respective at position x and y from proposition 1 be in B 3 space. Let each coordinate x , y B 3 be the endpoints of a line d. We form a mapping f : [ 0 , d ] S 1 C so that x , y become points on the circle S 1 . Construct a second mapping, g : S 1 S 2 so that x , y are now found on the surface S 2 . Let a tangent space be formed by assigning two vectors intersecting at each point, for x, T 1 = u × v and for y, T 2 = w × z . By the two vector products we can form the tangent bundle T M = p M T p M , for p = x , y . Then we have a fiber over x and y which is the tangent space at the respective point
π 1 ( p ) = T p M
where p = x , y and π : T M M , where M = S 2 , assigned to x and y in an either stationary state or in a moving state along the tangent vectors or a product thereof. We then form a second fiber, π * : T p M S 0 from each tangent space at x , y respectively, which generates a value { 1 , 1 } S 0 for each x , y S 2 . Then π * is a fiber, where S 2 forms the base space and S 0 is the projection of the fibre space and is a trivially smooth manifold.
This geometric construction can now be extended to entangled systems by considering the quotient space B 3 / as the base space. For an entangled pair [ x ] = [ y ] B 3 / , the fiber π * : T p M S 0 represents quantum steering manifested through spin-flip operations, where spin-flip operations correspond to bundle isomorphisms φ : T M T M that satisfy π * ( φ ( v ) ) = π * ( v ) for tangent vectors v, representing the sign reversal of spin measurements. Applying a spin flip to either particle at x or y thus induces correlated outcomes in { 1 , 1 } for any two entangled particles stationary at position x , y S 2 B 3 or moving along the tangent vector bundle T M .
Proof. 
Consider the two points x , y B 3 of the two un-entangled particles a , b . Form a map f : [ 0 , d ] S 1 , obtaining a circle. We then embed the circle in a 2-sphere g : S 1 S 2 yielding the configuration space M = S 2 .
Define the tangent spaces T x M , T y M at points x and y respectively, where T x M is spanned by orthonormal vectors { u x , v x } and T y M by { u y , v y } . Construct the tangent bundle T M = p M T p M with projection π : T M M defined by π ( w ) = p for w T p M . This forms a smooth fiber bundle with fiber R 2 .
Define the measurement fiber map π * : T p M S 0 as follows: for any tangent vector w T p M , let π * ( w ) = sign ( w , n p ) where n p is a fixed reference vector field on M and · , · is the Riemannian metric. This map is continuous and surjective onto S 0 = { 1 , + 1 } since the sign function partitions the tangent space into two open hemispheres.
Now consider the entangled case. From Proposition 1, any entangled pair satisfies [ x ] = [ y ] B 3 / . The base space becomes M = B 3 / with tangent bundle T ( B 3 / ) . The fiber map π * now encodes steering correlations: for an entangled pair [ x ] = [ y ] , the constraint f ( y ) = R ( f ( x ) ) with R = ± is preserved under π * because the equivalence relation ∼ identifies tangent spaces at x and y such that π * ( T x M ) and π * ( T y M ) are correlated by the same relation R.
Spin-flip operations are represented by bundle isomorphisms φ : T M T M with π * φ = π * , where the sign reversal captures the spin measurement flip. For an entangled pair [ x ] = [ y ] , a spin flip at x induces φ such that π * ( φ ( T x M ) ) = π * ( T x M ) while preserving the correlation π * ( T y M ) = R ( π * ( φ ( T x M ) ) ) through the entanglement relation R.
Bundle automorphisms preserve the S 0 structure because by definition they commute with the projection π * : any bundle automorphism φ : T M T M satisfies π * φ = π * , ensuring the discrete S 0 measurement outcomes are preserved. This completes the proof that π * represents quantum steering through spin-flip correlations in the fiber bundle formalism. □
Remark 2.
Proposition 2 shows that quantum steering admits a fiber bundle description where measurement outcomes are encoded in discrete S 0 fibers. This topological framework reinterpretes quantum operations as geometric transformations on the bundle structure, rather than as linear operators in Hilbert space.
We can now form the following theorem.
Theorem 1
(Topological entanglement framework). Propositions 1 and 2 establish that bipartite entanglement and quantum steering admit a complete topological description using discrete fiber bundles. This framework naturally suggests extensions to multipartite systems via higher-dimensional base spaces B and fibers ( S 0 ) n , where bundle automorphisms represent generalized steering transformations.
Theorem 1 has significant implications for quantum information processing. It suggests that entanglement can be treated as a topological phenomenon, where quantum correlations become structural features of fiber bundles. This perspective implies that entanglement classification could be approached through the classification of bundle structures, potentially yielding new entanglement invariants derived from homotopy or cohomology. The framework naturally scales to multi-qubit systems, offering a geometric foundation where quantum network nodes correspond to points in the base space, and entanglement distribution protocols like swapping or teleportation correspond to fiber bundle operations. Consequently, quantum communication protocols might be optimized using topological methods rather than conventional circuit models. Moreover, the theorem suggests that quantum steering admits a geometric interpretation as bundle automorphisms, offering a potentially more robust framework for describing correlated operations. This perspective may eventually enable the design of steering protocols based on topological constructions that are inherently stable—paralleling approaches in topological quantum computation that exploit braid group representations and topological invariants. The bundle formalism also shares mathematical similarities with geometric descriptions in theoretical physics, where fields are naturally described using fiber bundles over spacetime. This common mathematical language suggests deeper connections between quantum information geometry and fundamental physics frameworks.

2. Conclusions

Building on Theorem 1, supported by Propositions 1 and 2, we have introduced a novel topological perspective on quantum information and entanglement using differential geometry. In particular, the concept of a discrete fiber bundle provides a minimal yet rigorous representation of quantum steering, where each fiber encodes the binary measurement outcomes of entangled qubits. As a natural extension, we propose considering the complex three-dimensional ball B C 3 , since quantum states, such as photon wavefunctions, are inherently complex-valued. The complex structure captures essential phase information necessary for interference and polarization phenomena, and allows access to mathematical tools from complex analysis and linear algebra. Moreover, physical observables in quantum mechanics arise from complex inner products, making B C 3 a natural setting for measurements. This approach also aligns with advanced quantum field theories, where photons and other quantum fields are modeled in infinite-dimensional complex Hilbert spaces.
Overall, the discrete fiber bundle formalism offers a new topological framework for understanding quantum correlations, with potential applications in quantum computation, entanglement classification, and quantum state manipulation.

Funding

This research received no external funding.

Institutional Review Board Statement

Not applicable.

Informed Consent Statement

Not applicable.

Data Availability Statement

The original contributions presented in this study are included in the article. Further inquiries can be directed to the corresponding author.

Acknowledgments

The author would like to thank Andreas Lind at Mid-Sweden University for useful comments.

Conflicts of Interest

The authors declare no conflicts of interest.

References

  1. Nielsen, M.A.; Chuang, I.L. Quantum Computation and Quantum Information, 10th Anniversary ed.; Cambridge University Press: Cambridge, UK, 2010. [Google Scholar]
  2. Shor, P.W. Scheme for Reducing Decoherence in Quantum Computer Memory. Phys. Rev. A 1995, 52, R2493–R2496. [Google Scholar] [CrossRef] [PubMed]
  3. Gottesman, D. Stabilizer codes and quantum error correction. Ph.D. Thesis, California Institute of Technology, Pasadena, CA, USA, 1997. [Google Scholar]
  4. Kimble, H.J. The quantum internet. Nature 2008, 453, 1023–1030. [Google Scholar] [CrossRef] [PubMed]
  5. Horodecki, R.; Horodecki, P.; Horodecki, M.; Horodecki, K. Quantum entanglement. Rev. Mod. Phys. 2009, 81, 865–942. [Google Scholar] [CrossRef]
  6. Einstein, A.; Podolsky, B.; Rosen, N. Can Quantum-Mechanical Description of Physical Reality Be Considered Complete? Phys. Rev. 1935, 47, 777–780. [Google Scholar] [CrossRef]
  7. Bennett, C.H.; Brassard, G. Quantum cryptography: Public key distribution and coin tossing. Theor. Comput. Sci. 2014, 560, 7–11. [Google Scholar] [CrossRef]
  8. Jozsa, R.; Linden, N. On the role of entanglement in quantum-computational speed-up. Proc. R. Soc. Lond. A 2003, 459, 2011–2032. [Google Scholar] [CrossRef]
  9. Watrous, J. The Theory of Quantum Information; Cambridge University Press: Cambridge, UK, 2018. [Google Scholar]
  10. Wilde, M.M. Quantum Information Theory, 2nd ed.; Cambridge University Press: Cambridge, UK, 2017. [Google Scholar]
  11. Vedral, V. The role of relative entropy in quantum information theory. Rev. Mod. Phys. 2002, 74, 197–234. [Google Scholar] [CrossRef]
  12. Brody, D.C.; Hughston, L.P. Geometric quantum mechanics. J. Geom. Phys. 2001, 38, 19–53. [Google Scholar] [CrossRef]
  13. Bengtsson, I.; Życzkowski, K. Geometry of Quantum States: An Introduction to Quantum Entanglement, 2nd ed.; Cambridge University Press: Cambridge, UK, 2017. [Google Scholar]
  14. Hughston, L.P. Geometric aspects of quantum mechanics. In Twistor Theory; Routledge: Abingdon, UK, 2017; pp. 59–80. [Google Scholar]
  15. Bloch, F. Nuclear Induction. Phys. Rev. 1946, 70, 460–474. [Google Scholar] [CrossRef]
Figure 1. Topological representation of entangled measurement correlations: (1) Individual particles at x and y map to measurement outcomes via f; (2) The projection π represents the activation of entanglement, which identifies both positions to the same equivalence class [ x ] in the quotient space B 3 / , thus “squeezing” the individual positions of particle a and b to a position-free manifold where only the dual outcome exists; (3) The induced map f ˜ then extracts the dual outcome structure from this entangled manifold, with the relation R enforcing correlation between f ( x ) and f ( y ) .
Figure 1. Topological representation of entangled measurement correlations: (1) Individual particles at x and y map to measurement outcomes via f; (2) The projection π represents the activation of entanglement, which identifies both positions to the same equivalence class [ x ] in the quotient space B 3 / , thus “squeezing” the individual positions of particle a and b to a position-free manifold where only the dual outcome exists; (3) The induced map f ˜ then extracts the dual outcome structure from this entangled manifold, with the relation R enforcing correlation between f ( x ) and f ( y ) .
Information 16 00997 g001
Disclaimer/Publisher’s Note: The statements, opinions and data contained in all publications are solely those of the individual author(s) and contributor(s) and not of MDPI and/or the editor(s). MDPI and/or the editor(s) disclaim responsibility for any injury to people or property resulting from any ideas, methods, instructions or products referred to in the content.

Share and Cite

MDPI and ACS Style

Manzetti, S. Topological Formalism for Quantum Entanglement via B3 and S0 Mappings. Information 2025, 16, 997. https://doi.org/10.3390/info16110997

AMA Style

Manzetti S. Topological Formalism for Quantum Entanglement via B3 and S0 Mappings. Information. 2025; 16(11):997. https://doi.org/10.3390/info16110997

Chicago/Turabian Style

Manzetti, Sergio. 2025. "Topological Formalism for Quantum Entanglement via B3 and S0 Mappings" Information 16, no. 11: 997. https://doi.org/10.3390/info16110997

APA Style

Manzetti, S. (2025). Topological Formalism for Quantum Entanglement via B3 and S0 Mappings. Information, 16(11), 997. https://doi.org/10.3390/info16110997

Note that from the first issue of 2016, this journal uses article numbers instead of page numbers. See further details here.

Article Metrics

Back to TopTop