GCHS: A Custodian-Aware Graph-Based Deep Learning Model for Intangible Cultural Heritage Recommendation
Abstract
1. Introduction
2. Literature Review
2.1. Digital ICH and Custodians
2.2. Domain-Specific Dissemination Dynamics
2.3. Recommendation Approaches Relevant to ICH
2.4. Gaps and Motivation for GCHS
3. Methodology
3.1. Basic Theory
3.1.1. Collaborative Filtering
3.1.2. Social Network-Based Recommendation
3.1.3. Attention Mechanism
3.1.4. GraphSAGE Model
3.1.5. GGNN Model
3.2. Attention-Enhanced Static Social Relation Recommendation
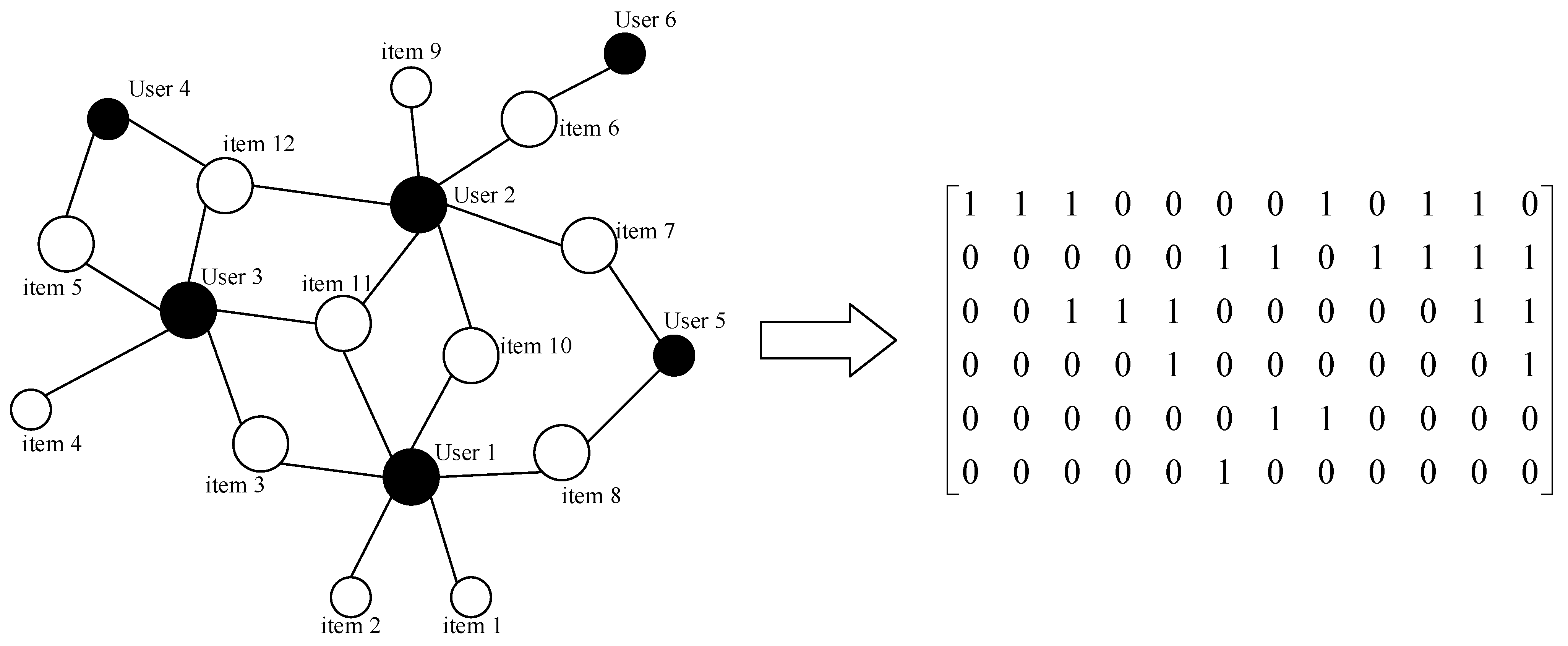
3.2.1. User–Content–Custodian Feature Extraction
3.2.2. Recommendation Model Based on Attention Mechanism and Static Social Relationships of ICH Inheritors
4. Data
4.1. Data Description
4.2. Evaluation Metrics
4.3. Parameter Settings and Experimental Environment
5. Results and Discussion
5.1. Ablation Study
5.2. Comparative Experiments
5.3. Experiment on TikTok Dataset
5.4. Qualitative Insights
6. Discussion
7. Conclusions
Supplementary Materials
Author Contributions
Funding
Institutional Review Board Statement
Informed Consent Statement
Data Availability Statement
Conflicts of Interest
Abbreviations
| ANN | Approximate Nearest Neighbors |
| ASR | Attentive Social Recommendation |
| BPR | Bayesian Personalized Ranking |
| BST | Behavior Sequence Transformer |
| CNN | Convolutional Neural Network |
| DCG | Discounted Cumulative Gain |
| GAT | Graph Attention Network |
| GCHS | Graph-based Collaborative model incorporating Heritage content and Social relationships |
| GCN | Graph Convolutional Network |
| GGNN | Gated Graph Neural Network |
| GNN | Graph Neural Network |
| GraphSAGE | Graph Sample and Aggregate |
| GRU | Gated Recurrent Unit |
| ICH | Intangible Cultural Heritage |
| LSTM | Long Short-Term Memory |
| LightGCN | Lightweight Graph Convolutional Network |
| NGCF | Neural Graph Collaborative Filtering |
| NDCG | Normalized Discounted Cumulative Gain |
| PMF | Probabilistic Matrix Factorization |
| RNN | Recurrent Neural Network |
| SASRec | Self-Attentive Sequential Recommendation |
| SOR | Stimulus–Organism–Response |
| Top-N | Top-N Recommendation |
References
- Sun, L.; Li, J.N.; Wang, Z.Y.; Liu, W.S.; Zhang, S.; Wu, J.T. Research on the Redesign of China’s Intangible Cultural Heritage Based on Sustainable Livelihood-The Case of Luanzhou Shadow Play Empowering Its Rural Development. Sustainability 2024, 16, 4555. [Google Scholar] [CrossRef]
- Trcek, D. Cultural heritage preservation by using blockchain technologies. Herit. Sci. 2022, 10, 6. [Google Scholar] [CrossRef]
- Zhuang, S. Research on Digital Protection of Intangible Cultural Heritage Based on Modern Information Technology. In Proceedings of the 2021 4th International Conference on Information Systems and Computer Aided Education, Dalian, China, 24–26 September 2021; Association for Computing Machinery: Dalian, China, 2021; pp. 2546–2549. [Google Scholar]
- Ye, X.J.; Ruan, Y.W.; Xia, S.B.; Gu, L.W. Adoption of digital intangible cultural heritage: A configurational study integrating UTAUT2 and immersion theory. Humanit. Soc. Sci. Commun. 2025, 12, 23. [Google Scholar] [CrossRef]
- Zhang, C.; Tian, Y.; Zhang, Y. Analysis of the Digital Dissemination Path of Intangible Cultural Heritage from the Perspective of Grounded Theory. Adv. Soc. Behav. Res. 2025, 15, 12–15. [Google Scholar] [CrossRef]
- Tricarico, L.; Lorenzetti, E.; Morettini, L. Crowdsourcing Intangible Heritage for Territorial Development: A Conceptual Framework Considering Italian Inner Areas. Land 2023, 12, 1843. [Google Scholar] [CrossRef]
- Zhang, Y. The Impact of Short Videos on the Creation and Dissemination of Intangible Cultural Heritage. Commun. Humanit. Res. 2024, 32, 140–146. [Google Scholar] [CrossRef]
- Ma, Z.C.; Guo, Y.Y. Leveraging Intangible Cultural Heritage Resources for Advancing China’s Knowledge-Based Economy. J. Knowl. Econ. 2023, 15, 12946–12978. [Google Scholar] [CrossRef]
- Wang, H. A refined pushing method for financial product marketing data based on user interest mining. Int. J. Bus. Intell. Data Min. 2025, 26, 461–472. [Google Scholar] [CrossRef]
- Dou, J.H.; Qin, J.Y.; Jin, Z.X.; Li, Z. Knowledge graph based on domain ontology and natural language processing technology for Chinese intangible cultural heritage. J. Vis. Lang. Comput. 2018, 48, 19–28. [Google Scholar] [CrossRef]
- Kulkarni, S.; Rodd, S.F. Context Aware Recommendation Systems: A review of the state of the art techniques? Comput. Sci. Rev. 2020, 37, 100255. [Google Scholar] [CrossRef]
- Aljunid, M.F.; Huchaiah, M.D. IntegrateCF: Integrating explicit and implicit feedback based on deep learning collaborative filtering algorithm. Expert Syst. Appl. 2022, 207, 117933. [Google Scholar] [CrossRef]
- Mu, R.; Zeng, X.; Zhang, J. Heterogeneous information fusion based graph collaborative filtering recommendation. Intell. Data Anal. 2023, 27, 1595–1613. [Google Scholar] [CrossRef]
- Torkashvand, A.; Jameii, S.M.; Reza, A. Deep learning-based collaborative filtering recommender systems: A comprehensive and systematic review. Neural Comput. Appl. 2023, 35, 24783–24827. [Google Scholar] [CrossRef]
- Ramathulasi, T.; Babu, M. Assessing User Interest in Web API Recommendation using Deep Learning Probabilistic Matrix Factorization. Int. J. Adv. Comput. Sci. Appl. 2023, 14, 744–752. [Google Scholar] [CrossRef]
- Li, G.; Ou, W. Pairwise probabilistic matrix factorization for implicit feedback collaborative filtering. Neurocomputing 2016, 204, 17–25. [Google Scholar] [CrossRef]
- Strahl, J.; Peltonen, J.; Mamitsuka, H.; Kaski, S. Scalable Probabilistic Matrix Factorization with Graph-Based Priors. Proc. AAAI Conf. Artif. Intell. 2020, 34, 5851–5858. [Google Scholar] [CrossRef]
- Wang, J.; Guo, Y.; Yang, L.; Wang, Y. Binary Graph Convolutional Network with Capacity Exploration. IEEE Trans. Pattern Anal. Mach. Intell. 2024, 46, 3031–3046. [Google Scholar] [CrossRef]
- Afoudi, Y.; Lazaar, M.; Al Achhab, M. Hybrid recommendation system combined content-based filtering and collaborative prediction using artificial neural network. Simul. Model. Pract. Theory 2021, 113, 102375. [Google Scholar] [CrossRef]
- Chicaiza, J.; Valdiviezo-Diaz, P. A Comprehensive Survey of Knowledge Graph-Based Recommender Systems: Technologies, Development, and Contributions. Information 2021, 12, 232. [Google Scholar] [CrossRef]
- Xiao, Y.; Zhu, Y.; He, W.; Huang, M. Influence prediction model for marketing campaigns on e-commerce platforms. Expert Syst. Appl. 2023, 211, 118575. [Google Scholar] [CrossRef]
- Zhang, J.; Peng, Q.; Sun, S.; Liu, C. Collaborative filtering recommendation algorithm based on user preference derived from item domain features. Phys. A Stat. Mech. Its Appl. 2014, 396, 66–76. [Google Scholar] [CrossRef]
- Wu, S.; Sun, F.; Zhang, W.; Xie, X.; Cui, B. Graph Neural Networks in Recommender Systems: A Survey. ACM Comput. Surv. 2022, 55, 97. [Google Scholar] [CrossRef]
- Ahmadian, S.; Ahmadian, M.; Jalili, M. A deep learning based trust- and tag-aware recommender system. Neurocomputing 2022, 488, 557–571. [Google Scholar] [CrossRef]
- Yacobson, E.; Toda, A.M.; Cristea, A.I.; Alexandron, G. Recommender systems for teachers: The relation between social ties and the effectiveness of socially-based features. Comput. Educ. 2024, 210, 104960. [Google Scholar] [CrossRef]
- Cheng, Z.; Dong, J.; Liu, F.; Zhu, L.; Yang, X.; Wang, M. Disentangled Cascaded Graph Convolution Networks for Multi-Behavior Recommendation. ACM Trans. Recomm. Syst. 2024, 2, 31. [Google Scholar] [CrossRef]
- Kumar, A.; Jain, D.K.; Mallik, A.; Kumar, S. Modified node2vec and attention based fusion framework for next POI recommendation. Inf. Fusion 2024, 101, 101998. [Google Scholar] [CrossRef]
- Anwar, T.; Uma, V.; Hussain, M.I.; Pantula, M. Collaborative filtering and kNN based recommendation to overcome cold start and sparsity issues: A comparative analysis. Multimed. Tools Appl. 2022, 81, 35693–35711. [Google Scholar] [CrossRef]
- Fan, W.; Derr, T.; Ma, Y.; Wang, J.; Tang, J.; Li, Q. Deep adversarial social recommendation. In Proceedings of the 28th International Joint Conference on Artificial Intelligence, Macao, China, 10–16 August 2019; AAAI Press: Washington, DC, USA, 2019; pp. 1351–1357. [Google Scholar]
- Sharma, K.; Lee, Y.-C.; Nambi, S.; Salian, A.; Shah, S.; Kim, S.-W.; Kumar, S. A Survey of Graph Neural Networks for Social Recommender Systems. ACM Comput. Surv. 2024, 56, 265. [Google Scholar] [CrossRef]
- Li, X.; Sun, L.; Ling, M.; Peng, Y. A survey of graph neural network based recommendation in social networks. Neurocomputing 2023, 549, 126441. [Google Scholar] [CrossRef]
- Wu, Z.; Pan, S.; Chen, F.; Long, G.; Zhang, C.; Yu, P.S. A Comprehensive Survey on Graph Neural Networks. IEEE Trans. Neural Netw. Learn. Syst. 2021, 32, 4–24. [Google Scholar] [CrossRef]
- Salamat, A.; Luo, X.; Jafari, A. HeteroGraphRec: A heterogeneous graph-based neural networks for social recommendations. Knowl.-Based Syst. 2021, 217, 106817. [Google Scholar] [CrossRef]
- Wang, H.; Yao, K.; Luo, J.; Lin, Y. An Implicit Preference-Aware Sequential Recommendation Method Based on Knowledge Graph. Wirel. Commun. Mob. Comput. 2021, 2021, 5206228. [Google Scholar] [CrossRef]
- Jiang, Y.; Ma, H.; Liu, Y.; Li, Z.; Chang, L. Enhancing social recommendation via two-level graph attentional networks. Neurocomputing 2021, 449, 71–84. [Google Scholar] [CrossRef]
- Wu, Q.; Zhang, H.; Gao, X.; He, P.; Weng, P.; Gao, H.; Chen, G. Dual Graph Attention Networks for Deep Latent Representation of Multifaceted Social Effects in Recommender Systems. In The World Wide Web Conference; Association for Computing Machinery: San Francisco, CA, USA, 2019; pp. 2091–2102. [Google Scholar]
- Sang, L.; Xu, M.; Qian, S.; Wu, X. Knowledge Graph enhanced Neural Collaborative Filtering with Residual Recurrent Network. Neurocomputing 2021, 454, 417–429. [Google Scholar] [CrossRef]
- Wu, S.; Tang, Y.; Zhu, Y.; Wang, L.; Xie, X.; Tan, T. Session-based recommendation with graph neural networks. In Proceedings of the Thirty-Third AAAI Conference on Artificial Intelligence and Thirty-First Innovative Applications of Artificial Intelligence Conference and Ninth AAAI Symposium on Educational Advances in Artificial Intelligence, Honolulu, HI, USA, 27 January–1 February 2019; AAAI Press: Honolulu, HI, USA, 2019; Volume 33, p. 43. [Google Scholar]
- Alrashidi, M.; Selamat, A.; Ibrahim, R.; Krejcar, O. Social Recommendation for Social Networks Using Deep Learning Approach: A Systematic Review, Taxonomy, Issues, and Future Directions. IEEE Access 2023, 11, 63874–63894. [Google Scholar] [CrossRef]
- Bach, N.X.; Long, D.H.; Phuong, T.M. Recurrent convolutional networks for session-based recommendations. Neurocomputing 2020, 411, 247–258. [Google Scholar] [CrossRef]
- Zhao, Z.; Zhu, M.; Sheng, Y.; Wang, J. A Top-N-Balanced Sequential Recommendation Based on Recurrent Network. IEICE Trans. Inf. Syst. 2019, E102.D, 737–744. [Google Scholar] [CrossRef]
- Zhang, X.; Guo, F.; Chen, T.; Pan, L.; Beliakov, G.; Wu, J. A Brief Survey of Machine Learning and Deep Learning Techniques for E-Commerce Research. J. Theor. Appl. Electron. Commer. Res. 2023, 18, 2188–2216. [Google Scholar] [CrossRef]
- Islam, M.A.; Mohammad, M.M.; Sarathi Das, S.S.; Ali, M.E. A survey on deep learning based Point-of-Interest (POI) recommendations. Neurocomputing 2022, 472, 306–325. [Google Scholar] [CrossRef]
- Wang, J.; Yang, B.; Liu, H.; Li, D. Global spatio-temporal aware graph neural network for next point-of-interest recommendation. Appl. Intell. 2023, 53, 16762–16775. [Google Scholar] [CrossRef]
- Ding, Y.; Zhao, X.; Zhang, Z.; Cai, W.; Yang, N. Multiscale Graph Sample and Aggregate Network with Context-Aware Learning for Hyperspectral Image Classification. IEEE J. Sel. Top. Appl. Earth Obs. Remote Sens. 2021, 14, 4561–4572. [Google Scholar] [CrossRef]
- Buonanno, A.; Di Gennaro, G.; Ospedale, A.; Palmieri, F.A.N. Gated Graph Neural Networks for Classification Task. In Advanced Neural Artificial Intelligence: Theories and Applications; Esposito, A., Faundez-Zanuy, M., Morabito, F.C., Pasero, E., Cordasco, G., Eds.; Springer Nature Singapore: Singapore, 2025; pp. 171–181. [Google Scholar]
- Wu, L.; Li, J.; Sun, P.; Hong, R.; Ge, Y.; Wang, M. DiffNet++: A Neural Influence and Interest Diffusion Network for Social Recommendation. IEEE Trans. Knowl. Data Eng. 2022, 34, 4753–4766. [Google Scholar] [CrossRef]
- Rendle, S.; Freudenthaler, C.; Gantner, Z.; Schmidt-Thieme, L. BPR: Bayesian personalized ranking from implicit feedback. In Proceedings of the Twenty-Fifth Conference on Uncertainty in Artificial Intelligence, Montreal, QC, Canada, 18–21 June 2009; AUAI Press: Montreal, QC, Canada, 2009; pp. 452–461. [Google Scholar]
- Jamali, M.; Ester, M. A matrix factorization technique with trust propagation for recommendation in social networks. In Proceedings of the RecSys’10: Fourth ACM Conference on Recommender Systems, Barcelona, Spain, 26–30 September 2010; pp. 135–142. [Google Scholar]
- Wang, L.; Zhou, W.; Liu, L.; Yang, Z.; Wen, J. Deep adaptive collaborative graph neural network for social recommendation. Expert Syst. Appl. 2023, 229, 120410. [Google Scholar] [CrossRef]
- Wang, X.; He, X.; Wang, M.; Feng, F.; Chua, T.-S. Neural graph collaborative filtering. In Proceedings of the 42nd International Acm Sigir Conference on Research and Development in Information Retrieval, Paris, France, 21–25 July 2019; pp. 165–174. [Google Scholar]
- He, X.; Deng, K.; Wang, X.; Li, Y.; Zhang, Y.; Wang, M. LightGCN: Simplifying and Powering Graph Convolution Network for Recommendation. In Proceedings of the 43rd International ACM SIGIR Conference on Research and Development in Information Retrieval, Virtual Event, China, 25–30 July 2020; Association for Computing Machinery: New York, NY, USA, 2020; pp. 639–648. [Google Scholar]
- Kang, W.-C.; McAuley, J. Self-attentive sequential recommendation. In Proceedings of the 2018 IEEE International Conference on Data Mining (ICDM), Singapore, 17–20 November 2018; pp. 197–206. [Google Scholar]
- Sun, F.; Liu, J.; Wu, J.; Pei, C.; Lin, X.; Ou, W.; Jiang, P. BERT4Rec: Sequential recommendation with bidirectional encoder representations from transformer. In Proceedings of the 28th ACM International Conference on Information and Knowledge Management, Beijing, China, 3–7 November 2019; pp. 1441–1450. [Google Scholar]
- He, X.; Liao, L.; Zhang, H.; Nie, L.; Hu, X.; Chua, T.-S. Neural collaborative filtering. In Proceedings of the 26th International World Wide Web Conference, Perth, Australia, 3–7 April 2017; pp. 173–182. [Google Scholar]
- Liu, Z.; Zhou, J. Graph attention networks. In Introduction to Graph Neural Networks; Springer: Berlin/Heidelberg, Germany, 2020; pp. 39–41. [Google Scholar]
- Taherkhani, F.; Kazemi, H.; Nasrabadi, N.M. Matrix completion for graph-based deep semi-supervised learning. In Proceedings of the AAAI Conference on Artificial Intelligence, Honolulu, HI, USA, 27 January 2019; pp. 5058–5065. [Google Scholar]
- Ying, R.; He, R.; Chen, K.; Eksombatchai, P.; Hamilton, W.L.; Leskovec, J. Graph convolutional neural networks for web-scale recommender systems. In Proceedings of the 24th ACM SIGKDD International Conference on Knowledge Discovery and Data Mining, London, UK, 19–23 August 2018; pp. 974–983. [Google Scholar]











| Metric | Value |
|---|---|
| Number of Users | 37,152 |
| Number of ICH Content Items | 6520 |
| Number of Custodians | 100 |
| Number of Interaction Records | 28,512 |
| Data Sparsity | 0.9852 |
| Component | Specification |
|---|---|
| Processor | Intel® Core™ i9-14900HX |
| GPU | NVIDIA RTX 4060 |
| Programming Language | Python 3.9 |
| Deep Learning Framework | PyTorch 1.13.1 |
| Development Environment | PyCharm 2019.1.3, Anaconda 3 |
| Model | Description | Key Characteristics | Training Complexity (Per Epoch) | Inference Cost (Per User) |
|---|---|---|---|---|
| GCHS | Proposed model integrating attention, inheritor features, and multi-hop graph aggregation. | Multi-layer GraphSAGE + attention + custodian aggregation | O(L·|V|·(Sd + d2) + |V|·Q·d) | O(|I|d) |
| DiffNet [47] | Models social diffusion via the GraphSAGE framework to learn user representations. | GraphSAGE-style social diffusion (no attention, no custodian) | O(L·|V|·Sd+ L·|V|·d2) | O(|I|d) |
| BPR [48] | Bayesian Personalized Ranking using only implicit user–item interactions. | Pairwise MF | O(|E|·d) | O(|I|d) |
| SocialMF [49] | Matrix factorization augmented with explicit user–user friendship relations. | MF + social regularization | O((|E| + |Es|)·d) | O(|I|d) |
| GraphRec [50] | Learns user embeddings from combined interaction and social graphs using one-hop aggregation. | Joint interaction & social graphs | O(L·|E|·d+ L·|V|·d2) | O(|I|d) |
| NGCF [51] | Propagates and transforms messages over multi-layer user–item graphs to produce embeddings. | GCN + transformation layers | O(L·|E|·d+ L·|V|·d2) | O(|I|d) |
| LightGCN [52] | Simplified GCN that aggregates neighbor embeddings without feature transformation layers. | Lightweight GCN | O(L·|E|·d) | O(|I|d) |
| SASRec [53] | A self-attention sequential recommender that models user interaction sequences with uni-directional self-attention to capture both short-term and long-term dependencies in users’ behavior. | Transformer (self-attention over sequence length m) | O(|U|·m2) | O(m2d)+ O(|I|d) |
| BERT4Rec [54] | A bidirectional Transformer-based sequential recommender trained with a Cloze objective to learn deep bidirectional contextual representations of user behavior sequences. | Transformer (masked LM over sequences) | O(|U|·m2) | O(m2d) + O(|I|d) |
| Model | Training Per Epoch (s) | Avg Per-User Inference Latency (ms) | Peak GPU Memory (MB) |
|---|---|---|---|
| GCHS | 420.3 | 12.4 | 10,843 |
| DiffNet | 318.7 | 10.1 | 7530 |
| LightGCN | 120.2 | 8.6 | 4020 |
| NGCF | 510.0 | 13.2 | 9520 |
| GraphRec | 290.0 | 9.5 | 6200 |
| SocialMF | 22.1 | 4.1 | 768 |
| BPR | 8.9 | 3.2 | 512 |
| SASRec | 980.5, | 45.2 | 12,100 |
| BERT4Rec | 1250.1 | 60.3 | 15,000 |
| User ID | Top-1 | Top-2 | Top-3 | Top-4 | Top-5 | Top-6 | Top-7 |
|---|---|---|---|---|---|---|---|
| 50 | 1524 | 477 | 438 | 1559 | 2533 | 947 | 902 |
| 51 | 3391 | 3007 | 132 | 72 | 249 | 79 | 1029 |
| 52 | 672 | 249 | 42 | 189 | 2161 | 317 | 74 |
| 53 | 17 | 1412 | 75 | 915 | 1645 | 246 | 98 |
| 54 | 381 | 295 | 1067 | 191 | 61 | 2385 | 16 |
| 55 | 74 | 2350 | 217 | 365 | 1122 | 738 | 1249 |
| 56 | 965 | 398 | 1542 | 980 | 3072 | 2154 | 2240 |
| 57 | 682 | 2456 | 325 | 659 | 1117 | 1214 | 1665 |
| 58 | 830 | 1071 | 1878 | 1067 | 258 | 1949 | 980 |
| 59 | 1305 | 697 | 139 | 532 | 1412 | 164 | 802 |
| 60 | 321 | 2740 | 1995 | 149 | 454 | 1145 | 97 |
| 61 | 424 | 433 | 2959 | 85 | 221 | 474 | 437 |
| 62 | 1712 | 1660 | 1665 | 1631 | 1102 | 1364 | 433 |
| 63 | 148 | 153 | 159 | 206 | 295 | 291 | 248 |
| 64 | 326 | 655 | 93 | 148 | 189 | 1209 | 78 |
| Metric | Value |
|---|---|
| Number of Users | 37,152 |
| Number of ICH Content Items | 6520 |
| Number of Custodians | 100 |
| Number of Interaction Records | 28,512 |
| Data Sparsity | 0.9852 |
| Rank | Custodian ID | Posts | Attention Mass (%) | Avg. Attention per Post (%) |
|---|---|---|---|---|
| 1 | 7 | 48 | 9.2 | 0.192 |
| 2 | 12 | 33 | 7.8 | 0.236 |
| 3 | 3 | 56 | 6.7 | 0.120 |
| 4 | 41 | 21 | 5.3 | 0.252 |
| 5 | 28 | 18 | 4.9 | 0.272 |
| 6 | 55 | 27 | 3.9 | 0.144 |
| 7 | 9 | 12 | 3.6 | 0.300 |
| 8 | 34 | 15 | 3.4 | 0.227 |
| 9 | 60 | 22 | 3.1 | 0.141 |
| 10 | 21 | 10 | 2.9 | 0.290 |
| Top-10 total attention mass | 46.8% | |||
| Rank | Custodian ID | ΔDCG at 30 (Per Percentage) | ΔPrecision at 5 (Per Percentage) | Avg. Impact Score |
|---|---|---|---|---|
| 1 | 101 | −5.8 | −3.9 | 4.85 |
| 2 | 102 | −4.6 | −3.1 | 3.85 |
| 3 | 103 | −3.9 | −2.7 | 3.30 |
| 4 | 104 | −3.4 | −2.1 | 2.75 |
| 5 | 105 | −2.9 | −1.8 | 2.35 |
| 6 | 106 | −2.1 | −1.2 | 1.65 |
| 7 | 107 | −1.8 | −1.1 | 1.45 |
| 8 | 108 | −1.6 | −0.9 | 1.25 |
| 9 | 109 | −1.2 | −0.7 | 0.95 |
| 10 | 110 | −0.9 | −0.5 | 0.70 |
| Component | Mean Contribution (%) | Std. Dev. (%) |
|---|---|---|
| User–content affinity | 48.5 | 12.4 |
| Custodian embedding | 30.2 | 10.1 |
| Content-audience embedding | 21.3 | 8.7 |
Disclaimer/Publisher’s Note: The statements, opinions and data contained in all publications are solely those of the individual author(s) and contributor(s) and not of MDPI and/or the editor(s). MDPI and/or the editor(s) disclaim responsibility for any injury to people or property resulting from any ideas, methods, instructions or products referred to in the content. |
© 2025 by the authors. Licensee MDPI, Basel, Switzerland. This article is an open access article distributed under the terms and conditions of the Creative Commons Attribution (CC BY) license (https://creativecommons.org/licenses/by/4.0/).
Share and Cite
Xiao, W.; Yu, B.; Zhang, H. GCHS: A Custodian-Aware Graph-Based Deep Learning Model for Intangible Cultural Heritage Recommendation. Information 2025, 16, 902. https://doi.org/10.3390/info16100902
Xiao W, Yu B, Zhang H. GCHS: A Custodian-Aware Graph-Based Deep Learning Model for Intangible Cultural Heritage Recommendation. Information. 2025; 16(10):902. https://doi.org/10.3390/info16100902
Chicago/Turabian StyleXiao, Wei, Bowen Yu, and Hanyue Zhang. 2025. "GCHS: A Custodian-Aware Graph-Based Deep Learning Model for Intangible Cultural Heritage Recommendation" Information 16, no. 10: 902. https://doi.org/10.3390/info16100902
APA StyleXiao, W., Yu, B., & Zhang, H. (2025). GCHS: A Custodian-Aware Graph-Based Deep Learning Model for Intangible Cultural Heritage Recommendation. Information, 16(10), 902. https://doi.org/10.3390/info16100902

