Discrete Fourier Transform in Unmasking Deepfake Images: A Comparative Study of StyleGAN Creations
Abstract
1. Introduction
2. Related Works
- StarGAN [2], proposed by Choi et al., is capable of performing image-to-image translation on different domains (hair color, gender of the person, etc.) using a single model. It is trained on two different types of face datasets: CelebA [3] and RaFD [4]. Given as an input a random label (hair color, facial expression, etc.), it can perform an image-to-image translation with impressive visual results.
- AttGAN [5], proposed by He et al., applies attributes that act as classification constraints to generate images that can only guarantee the correct modification of the desired attributes.
- GDWCT [6], proposed by Cho et al., improves styling capabilities by improving the computational efficiency and quality of the images produced by working on color and brightness.
- StyleGAN [7], developed by Nvidia researchers, is one of the strongest methods in the entire GAN landscape. Trained on the FFHQ dataset [8], Style GAN can generate high-quality images of realistic human faces, and only small details can detect falsity. To correct these imperfections, Karras et al. [9] improved the generator by proposing StyleGAN2, obtaining extremely realistic faces.
2.1. Spatial Domain-Based Detection
2.2. Frequency Domain-Based Detection
3. Up-Sampling Artefact
3.1. Up-Sampling Techniques in GAN
3.1.1. Transposed Convolution (Deconvolution)
3.1.2. Nearest Neighbor Interpolation
3.1.3. Comparison Pipeline
- Transposed Convolution: The kernel is a learned one and its values change with training; hence, the network can learn when trying to improve the up-sampling in relation to the training data.
- Nearest Neighbor Interpolation: The kernel used is a fixed one and mostly a low pass type that does not change as training is performed.
3.2. Artifacts Introduced by Up-Sampling
3.2.1. Checkerboard Effects Occurred by Transposed Convolution
3.2.2. Block Artifacts Due to Nearest Neighbor Interpolation
3.3. Frequency Domain Analysis of Up-Sampling Artifacts
3.3.1. Frequency Spectrum Repeating
3.3.2. High-Frequency Artifacts
3.3.3. Nearest Neighbor Interpolation and Low-Pass Filtering
3.4. Implications for Deepfake Detection
3.4.1. Finding out the Presence of Checkerboard Forms
3.4.2. Using High Frequency Differences
4. Method
4.1. Azimuthal Average
4.2. Classifier
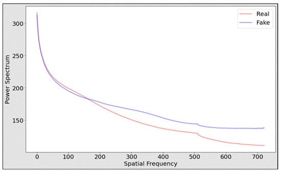
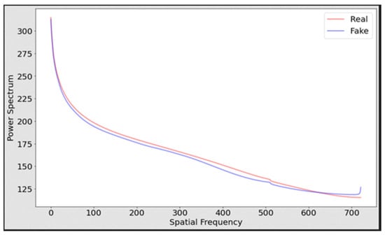
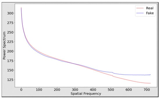
- High-Frequency Components: These captured the minute anomalies and inconsistencies induced in GAN-synthesized images, least visible in the spatial domain. Real facial images are normally distributed in high-frequency content due to intrinsic complexity in human features.
- Spectral Peaks and Troughs: We conducted a quantitative analysis regarding the peaks and troughs present in the frequency spectrum. In the case of artificial images, we observed strong spectral peaks at certain frequencies contributed by the generative model’s artifacts, while in the case of real images, the nature of spectral shows smoothness.
- Azimuthal Average: We computed the 1D representation from the 2D DFT of images by taking an azimuthal average. It reduced the dimensionality and emphasized the radial frequency components, which were crucial for making decisions about synthesized artifacts. This averaged spectrum formed a major feature vector input to the classifier.
5. Experimentation
- Ref. [8] is a high-quality collection of human face images designed to support research on machine learning, particularly in computer vision and Generative Adversarial Networks (GANs). The dataset contains high-resolution images at 1024 × 1024 pixels, enabling detailed facial analysis and the generation of high-quality synthetic images. One of the key features of FFHQ is its diverse demographic representation, encompassing a wide range of ages, ethnicities, and genders. This diversity is crucial for training models that are robust and unbiased across different population groups. Additionally, the dataset captures a variety of facial attributes, including different hairstyles, accessories such as eyeglasses and hats, facial hair, makeup, and expressions, thus helping with training models to recognize and generate a wide array of facial features. Unlike some datasets that focus solely on facial regions, FFHQ images include diverse backgrounds, providing contextual information useful for comprehensive image processing tasks. Within the FFHQ dataset, there is significant variation in age, with faces ranging from infants to elderly adults. This age diversity supports the study of age progression and regression in faces, as well as the identification of age-specific facial features. The dataset also includes a broad spectrum of ethnic backgrounds, aiding research into cross-cultural facial recognition and the reduction in bias in facial analysis systems. The FFHQ images feature significant variations in facial accessories, such as sunglasses and hats, and expressions, such as smiling and frowning. This variability enriches the dataset, facilitating the training of more generalized models.
- CelebFaces Attributes Dataset (CelebA) [3]: CelebFaces is a large-scale dataset widely used in the field of computer vision and machine learning, particularly for tasks involving facial recognition, attribute prediction, and generative modeling. This dataset contains over 200,000 celebrity images, each annotated with 40 different attribute labels indicating the presence or absence of specific attributes, five landmark locations (the centers of the eyes, the tip of the nose, and the corners of the mouth), and a bounding box indicating the region containing the face. These detailed annotations make the dataset particularly valuable for tasks that require fine-grained facial analysis. The dataset is split into three parts: the training, validation, and testing sets. This split allows for robust model evaluation, ensuring that performance metrics reflect the model’s ability to generalize to unseen data.
- StyleGAN 1 100 k generated images [7]: This dataset of 100,000 images is generated using the StyleGAN set to achieve best face quality at a 1024 × 1024 resolution. Unlike traditional GANs, StyleGAN separates the high-level attributes of an image, such as pose and identity, from low-level attributes like color and texture. This separation allows for more nuanced control over the generated images. For example, one can modify the overall style or “coarse” features of an image without affecting the “fine” details, and vice versa. The 100 k images generated by StyleGAN 1 exhibit remarkable diversity and realism. These images cover a wide range of faces with various ages, genders, and ethnicities.
- StyleGAN 2 100 k generated images [20]: This dataset of 100,000 images is generated using the StyleGAN 2 set for best face quality at a 1024 × 1024 resolution. The 100 k images generated by StyleGAN2 exhibit even greater diversity and realism than those from StyleGAN1. These images span a wide range of human faces, including various ages, genders, ethnicities, and facial expressions. StyleGAN2’s improved architecture allows for finer control over the attributes of these images, making it possible to adjust specific features without affecting the overall coherence of the image.
5.1. Spectrum Analysis
- Accuracy: This is defined as the fraction of the test dataset on which the model provides a correct prediction. It is by definition a number between 0 and 1. It is sometimes expressed as a percentage. ACC = # of correct predictions/# of samples in the test set.
- The confusion matrix allows for a greater level of detail than accuracy alone, quantifying false positives and false negatives separately
5.2. 1 vs. 1
5.3. 2 vs. 1
5.4. FFHQ, CelebA vs. StyleGAN 1, StyleGAN 2
5.5. Cross-Dataset Testing
- Does a model trained on StyleGAN1 and FFHQ recognize the fake faces of StyleGAN2 and real faces of CelebA?
- Does a model trained on StyleGAN2 and CelebA recognize the fake faces of StyleGAN1 and real faces of FFHQ?
- Does a model trained on StyleGAN1 and CelebA recognize the fake faces of StyleGAN2 and real faces of FFHQ?
- Does a model trained on StyleGAN2 and FFHQ recognize the fake faces of StyleGAN1 and real faces of CelebA?
5.5.1. Does a Model Trained on StyleGAN1 and FFHQ Recognize the Fake Faces of StyleGAN2 and Real Faces of CelebA?
5.5.2. Does a Model Trained on StyleGAN2 and CelebA Recognize the Fake Faces of StyleGAN1 and Real Faces of FFHQ?
5.5.3. Does a Model Trained on StyleGAN1 and CelebA Recognize the Fake Faces of StyleGAN2 and Real Faces of FFHQ?
5.5.4. A Model Trained on StyleGAN2 and FFHQ Recognizes the Fake Faces of StyleGAN1 and Real Faces of CelebA?
6. Revised Results and Discussion
7. Conclusions
Author Contributions
Funding
Informed Consent Statement
Data Availability Statement
Conflicts of Interest
References
- Goodfellow, I.; Pouget-Abadie, J.; Mirza, M.; Xu, B.; Warde-Farley, D.; Ozair, S.; Courville, A.; Bengio, Y. Generative Adversarial Nets. In Proceedings of the 27th International Conference on Neural Information Processing Systems, Montreal, Canada, 8–13 December 2014; MIT Press: Cambridge, MA, USA, 2014; pp. 2672–2680. [Google Scholar]
- Choi, Y.; Choi, M.; Kim, M.; Ha, J.W.; Kim, S.; Choo, J. StarGAN: Unified generative adversarial networks for multi-domain image-to-image translation. In Proceedings of the IEEE/CVF Conference on Computer Vision and Pattern Recognition, Salt Lake City, UT, USA, 18–23 June 2018; pp. 8789–8797. [Google Scholar]
- Liu, Z.; Luo, P.; Wang, X.; Tang, X. Deep learning face attributes in the wild. In Proceedings of the IEEE/CVF International Conference on Computer Vision, Santiago, Chile, 7–13 December 2015; pp. 3730–3738. [Google Scholar]
- Langner, O.; Dotsch, R.; Bijlstra, G.; Wigboldus, D.H.; Hawk, S.T.; van Knippenberg, A. Presentation and validation of the Radboud Faces Database. Cogn. Emot. 2010, 24, 1377–1388. [Google Scholar] [CrossRef]
- He, Z.; Zuo, W.; Kan, M.; Shan, S.; Chen, X. AttGAN: Facial attribute editing by only changing what you want. IEEE Trans. Image Process. 2019, 28, 5464–5478. [Google Scholar] [CrossRef]
- Cho, W.; Choi, S.; Park, D.K.; Shin, I.; Choo, J. Image-to-image translation via group-wise deep whitening-and-coloring transformation. In Proceedings of the IEEE/CVF Conference on Computer Vision and Pattern Recognition, Long Beach, CA, USA, 15–20 June 2019; pp. 10639–10647. [Google Scholar]
- Karras, T.; Laine, S.; Aila, T. A style-based generator architecture for generative adversarial networks. In Proceedings of the IEEE/CVF Conference on Computer Vision and Pattern Recognition, Long Beach, CA, USA, 15–20 June 2019; pp. 4401–4410. [Google Scholar]
- GitHub—NVlabs/Ffhq-Dataset: Flickr-Faces-HQ Dataset (FFHQ). Available online: https://github.com/NVlabs/ffhq-dataset (accessed on 12 October 2022).
- Karras, T.; Laine, S.; Aittala, M.; Hellsten, J.; Lehtinen, J.; Aila, T. Analyzing and improving the image quality of StyleGAN. In Proceedings of the IEEE/CVF Conference on Computer Vision and Pattern Recognition, Seattle, WA, USA, 13–19 June 2020; pp. 8110–8119. [Google Scholar]
- Ajder, H.; Patrini, G.; Cavalli, F.; Cullen, L. The state of deepfakes: Landscape, threats, and impact. Amst. Deep. 2019, 27. [Google Scholar]
- Li, Y.; Chang, M.C.; Lyu, S. In ictu oculi: Exposing AI-created fake videos by detecting eye blinking. In Proceedings of the 2018 IEEE International Workshop on Information Forensics and Security (WIFS), Hong Kong, China, 11–13 December 2018; pp. 1–7. [Google Scholar]
- Afchar, D.; Nozick, V.; Yamagishi, J.; Echizen, I. MesoNet: A compact facial video forgery detection network. In Proceedings of the 2018 IEEE International Workshop on Information Forensics and Security (WIFS), Hong Kong, China, 11–13 December; pp. 1–7.
- Yu, N.; Davis, L.S.; Fritz, M. Attributing fake images to GANs: Learning and analyzing GAN fingerprints. In Proceedings of the IEEE/CVF International Conference on Computer Vision, Seoul, Republic of Korea, 27 October–2 November 2019; pp. 7556–7566. [Google Scholar]
- Szegedy, C.; Ioffe, S.; Vanhoucke, V.; Alemi, A. Inception-v4, inception-resnet and the impact of residual connections on learning. Proc. AAAI Conf. Artif. Intell. 2017, 31. [Google Scholar] [CrossRef]
- Bentley, P.M.; McDonnell, J.T.E. Wavelet transforms: An introduction. Electron. Commun. Eng. J. 1994, 6, 175–186. [Google Scholar] [CrossRef]
- Durall, R.; Keuper, M.; Pfreundt, F.J.; Keuper, J. Unmasking deepfakes with simple features. arXiv 2019, arXiv:1911.00686. [Google Scholar]
- Durall, R.; Keuper, M.; Keuper, J. Watch your up-convolution: CNN-based generative deep neural networks are failing to reproduce spectral distributions. In Proceedings of the IEEE/CVF Conference on Computer Vision and Pattern Recognition, Seattle, WA, USA, 13–19 June 2020; pp. 7890–7899. [Google Scholar]
- Stuchi, J.A.; Angeloni, M.A.; Pereira, R.F.; Boccato, L.; Folego, G.; Prado, P.V.; Attux, R.R. Improving image classification with frequency domain layers for feature extraction. In Proceedings of the 2017 IEEE 27th International Workshop on Machine Learning for Signal Processing (MLSP), Tokyo, Japan, 25–28 September 2017; pp. 1–6. [Google Scholar]
- Frank; Eisenhofer, T.; Schönherr, L.; Fischer, A.; Kolossa, D.; Holz, T. Leveraging frequency analysis for deep fake image recognition. In Proceedings of the 37th International Conference on Machine Learning, PMLR. Virtual, 13–18 July 2020; pp. 3247–3258. [Google Scholar]
- Du, C.X.T.; Trung, H.T.; Tam, P.M.; Hung, N.Q.V.; Jo, J. Efficient-Frequency: A hybrid visual forensic framework for facial forgery detection. In Proceedings of the 2020 IEEE Symposium Series on Computational Intelligence (SSCI), Canberra, ACT, Australia, 1–4 December 2020; pp. 707–712. [Google Scholar]
- Tan, M.; Le, Q. EfficientNet: Rethinking Model Scaling for Convolutional Neural Networks. In Proceedings of the 36th International Conference on Machine Learning, Long Beach, CA, USA, 9–15 June 2019; pp. 6105–6114. [Google Scholar]
- Giudice, O.; Guarnera, L.; Battiato, S. Fighting deepfakes by detecting GAN DCT anomalies. arXiv 2021, arXiv:2101.09781. [Google Scholar] [CrossRef] [PubMed]
- Zhang, X.; Karaman, S.; Chang, S.F. Detecting and simulating artifacts in GAN fake images. In Proceedings of the 2019 IEEE International Workshop on Information Forensics and Security (WIFS), Delft, The Netherlands, 9–12 December 2019; pp. 1–6. [Google Scholar]
- He, K.; Zhang, X.; Ren, S.; Sun, J. Deep residual learning for image recognition. In Proceedings of the IEEE Conference on Computer Vision and Pattern Recognition, Las Vegas, NV, USA, 27–30 June 2016; pp. 770–778. [Google Scholar]
- Qian, Y.; Yin, G.; Sheng, L.; Chen, Z.; Shao, J. Thinking in frequency: Face forgery detection by mining frequency-aware clues. In European Conference on Computer Vision; Springer: Cham, Germany, 2020; pp. 86–103. [Google Scholar]
- Boser, B.E.; Guyon, I.M.; Vapnik, V.N. A training algorithm for optimal margin classifiers. In Proceedings of the Fifth Annual Workshop on Computational Learning Theory, Pittsburgh, PA, USA, 27–29 July 1992; pp. 144–152. [Google Scholar]
- Breiman, L. Random forests. Mach. Learn. 2001, 45, 5–32. [Google Scholar] [CrossRef]
- Wang, R.; Ma, L.; Juefei-Xu, F.; Xie, X.; Wang, J.; Liu, Y. Fakespotter: A simple baseline for spotting ai-synthesized fake faces. arXiv 2019, arXiv:1909.06122, 2. [Google Scholar]
- Guarnera, L.; Giudice, O.; Battiato, S. Fighting Deepfake by Exposing the Convolutional Traces on Images. IEEE Access 2020, 8, 165085–165098. [Google Scholar] [CrossRef]


















| Aforementioned Values | ES | |
|---|---|---|
| VALUES | TP | FN |
| REAL | FP | TN |
| Method | Overall Accuracy | Balanced Accuracy | Precision | Recall | F1 Score |
|---|---|---|---|---|---|
| 2D-DFT, SVM | 99.93% | 99.93% | 99.87% | 99.99% | 99.94% |
| 2D-DFT, Random Forest | 97.13% | 93.13% | 94.56% | 99.99% | 97.21% |
| Method | Overall Accuracy | Balanced Accuracy | Precision | Recall | F1 Score |
|---|---|---|---|---|---|
| 2D-DFT, SVM * | 99.93% | 99.93% | 99.87% | 99.99% | 99.94% |
| 2D-DFT, Random Forest * | 95.50% | 95.50% | 96.77% | 94.13% | 95.44% |
| Method | Overall Accuracy | Balanced Accuracy | Precision | Recall | F1 Score |
|---|---|---|---|---|---|
| 2D-DFT, SVM * | 99.84% | 99.84% | 99.69% | 99.99% | 99.84% |
| 2D-DFT, Random Forest * | 95.03% | 95.03% | 95.86% | 94.13% | 94.99% |
| Method | Accuracy | Precision | Recall | F1 Score |
|---|---|---|---|---|
| SVM | 50.90% | 75.23% | 50.90% | 60.71% |
| Random Forest | 48.88% | 30.32% | 48.88% | 37.42% |
| PREDICTED LABEL | |||
|---|---|---|---|
| TRUE LABEL | REAL | FAKE | |
| REAL | 4000 | 0 | |
| FAKE | 3928 | 72 | |
| PREDICTED LABEL | |||
|---|---|---|---|
| TRUE LABEL | REAL | FAKE | |
| REAL | 3897 | 103 | |
| FAKE | 3987 | 13 | |
| Method | Accuracy | Precision | Recall | F1 Score |
|---|---|---|---|---|
| SVM | 99.98% | 99.98% | 99.98% | 99.98% |
| Random Forest | 97.15% | 97.30% | 97.15% | 97.22% |
| PREDICTED LABEL | |||
|---|---|---|---|
| TRUE LABEL | REAL | FAKE | |
| REAL | 3998 | 2 | |
| FAKE | 0 | 4000 | |
| PREDICTED LABEL | |||
|---|---|---|---|
| TRUE LABEL | REAL | FAKE | |
| REAL | 3777 | 223 | |
| FAKE | 5 | 3995 | |
| Method | Accuracy | Precision | Recall | F1 Score |
|---|---|---|---|---|
| SVM | 85.90% | 85.96% | 85.90% | 85.93% |
| Random Forest | 46.63% | 27.76% | 46.63% | 34.80% |
| PREDICTED LABEL | |||
|---|---|---|---|
| TRUE LABEL | REAL | FAKE | |
| REAL | 3520 | 480 | |
| FAKE | 648 | 3352 | |
| PREDICTED LABEL | |||
|---|---|---|---|
| TRUE LABEL | REAL | FAKE | |
| REAL | 3707 | 293 | |
| FAKE | 3977 | 23 | |
| Method | Accuracy | Precision | Recall | F1 Score |
|---|---|---|---|---|
| SVM | 95.16% | 95.52% | 95.16% | 95.34% |
| Random Forest | 49.98% | 49.66% | 49.98% | 49.82% |
| PREDICTED LABEL | |||
|---|---|---|---|
| TRUE LABEL | REAL | FAKE | |
| REAL | 3603 | 370 | |
| FAKE | 17 | 3983 | |
| PREDICTED LABEL | |||
|---|---|---|---|
| TRUE LABEL | REAL | FAKE | |
| REAL | 3923 | 77 | |
| FAKE | 3925 | 75 | |
| Method | Overall Accuracy | Balanced Accuracy | Precision | Recall | F1 Score |
|---|---|---|---|---|---|
| 2D-DFT, SVM * | 99.93% | 99.93% | 99.87% | 99.99% | 99.94% |
| 2D-DFT, Random Forest * | 98.50% | 98.50% | 97.09% | 99.99% | 98.52% |
| Method | Overall Accuracy | Balanced Accuracy | Precision | Recall | F1 Score |
|---|---|---|---|---|---|
| 2D-DFT, SVM * | 99.99% | 99.99% | 99.99% | 99.99% | 99.99% |
| 2D-DFT, Random Forest * | 96.63% | 96.63% | 98.32% | 94.86% | 96.56% |
| Technique | Overall Accuracy | Balanced Accuracy | Precision | Recall | F1 Score |
|---|---|---|---|---|---|
| 2D-DFT, SVM * | 99.93% | 99.93% | 99.87% | 99.99% | 99.94% |
| Xception | 97.75% | 97.75% | 97.79% | 97.75% | 97.78% |
| MobileNet v2 | 96.63% | 96.63% | 96.69% | 96.63% | 96.65% |
| ResNet 101 v2 | 96.57% | 96.57% | 96.57% | 96.57% | 96.57% |
| Inception v3 | 96.25% | 96.25% | 96.39% | 96.25% | 96.32% |
| 2D-DFT, Random Forest * | 95.50% | 95.50% | 96.77% | 94.13% | 95.44% |
| Method | Overall Accuracy | Balanced Accuracy | Precision | Recall | F1 Score |
|---|---|---|---|---|---|
| 2D-DFT, SVM * | 99.88% | 99.88% | 99.75% | 99.99% | 99.88% |
| 2D-DFT, Random Forest * | 97.93% | 97.93% | 96.04% | 99.99% | 97.98% |
| Method | Overall Accuracy | Balanced Accuracy | Precision | Recall | F1 Score |
|---|---|---|---|---|---|
| 2D-DFT, SVM * | 99.87% | 99.87% | 99.75% | 99.99% | 99.87% |
| 2D-DFT, Random Forest * | 94.19% | 94.19% | 96.70% | 91.50% | 94.03% |
| StyleGAN 1 | StyleGAN 2 | |
|---|---|---|
| Giudice et al. (2021) [22] | 99.9% | 99.9% |
| Zhang et al. (2019) [23] | 79.5% | 72.5% |
| Wang et al. (2019) [28] | 99.1% | 91.9% |
| Guarnera et al. (2020) [29] | 99.48% | 99.64% |
| 2D-DFT, SVM | 99.88% | 99.87% |
| 2D-DFT, Random Forest | 97.93% | 94.19% |
Disclaimer/Publisher’s Note: The statements, opinions and data contained in all publications are solely those of the individual author(s) and contributor(s) and not of MDPI and/or the editor(s). MDPI and/or the editor(s) disclaim responsibility for any injury to people or property resulting from any ideas, methods, instructions or products referred to in the content. |
© 2024 by the authors. Licensee MDPI, Basel, Switzerland. This article is an open access article distributed under the terms and conditions of the Creative Commons Attribution (CC BY) license (https://creativecommons.org/licenses/by/4.0/).
Share and Cite
Convertini, V.N.; Impedovo, D.; Lopez, U.; Pirlo, G.; Sterlicchio, G. Discrete Fourier Transform in Unmasking Deepfake Images: A Comparative Study of StyleGAN Creations. Information 2024, 15, 711. https://doi.org/10.3390/info15110711
Convertini VN, Impedovo D, Lopez U, Pirlo G, Sterlicchio G. Discrete Fourier Transform in Unmasking Deepfake Images: A Comparative Study of StyleGAN Creations. Information. 2024; 15(11):711. https://doi.org/10.3390/info15110711
Chicago/Turabian StyleConvertini, Vito Nicola, Donato Impedovo, Ugo Lopez, Giuseppe Pirlo, and Gioacchino Sterlicchio. 2024. "Discrete Fourier Transform in Unmasking Deepfake Images: A Comparative Study of StyleGAN Creations" Information 15, no. 11: 711. https://doi.org/10.3390/info15110711
APA StyleConvertini, V. N., Impedovo, D., Lopez, U., Pirlo, G., & Sterlicchio, G. (2024). Discrete Fourier Transform in Unmasking Deepfake Images: A Comparative Study of StyleGAN Creations. Information, 15(11), 711. https://doi.org/10.3390/info15110711

