Performance Assessment of ESP8266 Wireless Mesh Networks
Abstract
:1. Introduction
2. Wireless Mesh Networks
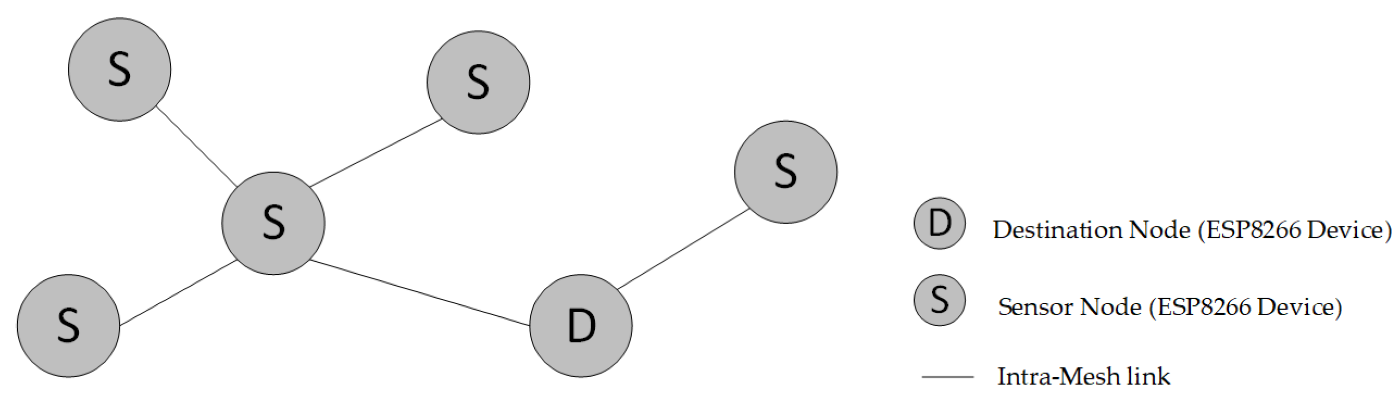
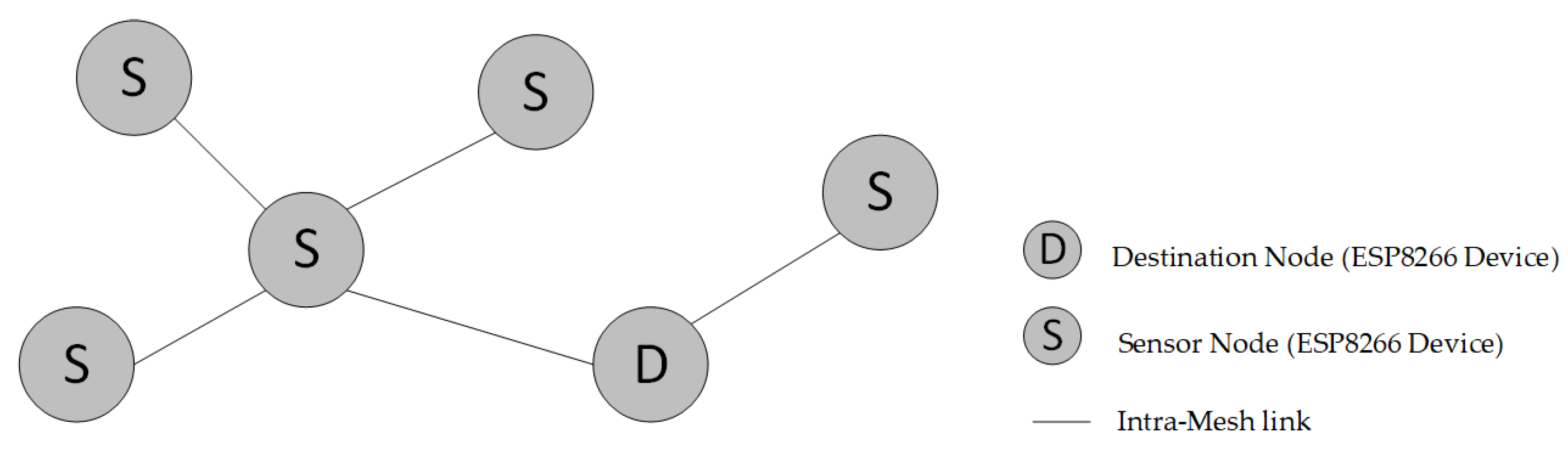
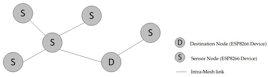
3. Testbed
3.1. Message Exchange
3.2. One-Way Delivery Delay
4. Performance Assessment
4.1. Setup
4.2. Performance Metrics
4.3. Results and Discussion
4.3.1. MSS Size Variation (IwIP Variant Option)
4.3.2. Number of Nodes Variation
4.3.3. One-Way Delivery Delay
5. Conclusions
Author Contributions
Funding
Conflicts of Interest
References
- Barros, F.S.; Sousa, L.M.; Dias, J.P.; Ferreira, H.S. A Preliminary Study on Mesh Networks and IoT. In Livro de Resumos do 11.° Encontro de Jovens Investigadores da U.PORTO; Universidade do Porto: Porto, Portugal, 2018; p. 22. [Google Scholar]
- Varandas, L.; Faria, J.; Gaspar, P.D.; Aguiar, M.L. Low-Cost IoT Remote Sensor Mesh for Large-Scale Orchard Monitorization. J. Sens. Actuator Netw. 2020, 9, 44. [Google Scholar] [CrossRef]
- Muhendra, R.; Rinaldi, A.; Budiman, M. Development of WiFi Mesh Infrastructure for Internet of Things Applications. Procedia Eng. 2017, 170, 332–337. [Google Scholar] [CrossRef]
- Cilfone, A.; Davoli, L.; Belli, L.; Ferrari, G. Wireless Mesh Networking: An IoT-Oriented Perspective Survey on Relevant Technologies. Future Internet 2019, 11, 99. [Google Scholar] [CrossRef] [Green Version]
- Mezher, A.M.; Rivera, P.E.; Cárdenas-Barrera, J.; Meng, J.; Guerra, E.C. Efficient strategy to optimize key devices positions in large-scale RF mesh networks. Ad Hoc Netw. 2020, 106, 102192. [Google Scholar] [CrossRef]
- Simões, M.P.A.F.; Veloso, A.; Gaspar, P.D.; Espírito Santo, C.; Silva, P.D.; Andrade, L.P. PrunusPÓS—Otimização de Processos de Armazenamento, Conservação em Frio, Embalamento Ativo e/ou Inteligente, e Rastreabilidade da Qualidade Alimentar no Pós-Colheita de Produtos Frutícolas; COTHN—Centro Operativo e Tecnológico Hortofrutícola Nacional, 2021; pp. 404–471. Available online: https://repositorio.ipcb.pt/bitstream/10400.11/7791/1/PrunusPOS-livro%20GO%20de%20Fruticultura%202021.pdf (accessed on 23 February 2022).
- PrunusPós. GO Prunus Pós. Available online: https://prunospos.webnode.pt/ (accessed on 23 February 2022).
- Grokhotkov, I. ESP8266 Arduino Core Documentation—Release 3.0.2-30-gbf2882d8. 13 November 2021. Available online: https://readthedocs.org/projects/arduino-esp8266/downloads/pdf/latest/ (accessed on 1 March 2022).
- GitLab. PainlessMesh Technical Documentation. 24 July 2019. (GitLab). Available online: https://gitlab.com/painlessMesh/painlessMesh/-/wikis/home (accessed on 27 October 2021).
- Arduino. What Is Arduino? Available online: https://www.arduino.cc/ (accessed on 1 March 2022).
- Yoppy Arjadi, R.H.; Setyaningsih, E.; Wibowo, P.; Sudrajat, M.I. Performance Evaluation of ESP8266 Mesh Networks. J. Phys. Conf. Ser. 2019, 1230, 012023. [Google Scholar] [CrossRef] [Green Version]
- Krenz, R. IEEE 802.16 wireless mesh networks capacity estimation using collision domains. In Proceedings of the 2009 Second International Conference on Advances in Mesh Networks, Athens, Greece, 18–23 June 2009; pp. 115–119. [Google Scholar] [CrossRef]
- Liu, Y.; Tong, K.-F.; Qiu, X.; Liu, Y.; Ding, X. Wireless Mesh Networks in IoT Networks. In Proceedings of the 2017 International Workshop on Electromagnetics: Applications and Student Innovation Competition, London, UK, 30 May–1 June 2017; pp. 183–185. [Google Scholar] [CrossRef]
- Köbel, C.; Garcia, W.B.; Habermann, J. A survey on Wireless Mesh Network applications in rural areas and emerging countries. In Proceedings of the IEEE Global Humanitarian Technology Conference, San Jose, CA, USA, 20–23 October 2013; pp. 389–394. [Google Scholar] [CrossRef]
- Akyildiz, I.F.; Wang, X.; Wang, W. Wireless mesh networks: A survey. Comput. Netw. 2005, 47, 445–487. [Google Scholar] [CrossRef]
- Akyildiz, I.F.; Wang, X. A survey on wireless mesh networks. IEEE Commun. Mag. 2005, 43, S23–S30. [Google Scholar] [CrossRef]
- Shahdad, S.Y.; Sabahath, A.; Parveez, R. Architecture, issues and challenges of wireless mesh network. In Proceedings of the 2016 International Conference on Communication and Signal Processing (ICCSP), Melmaruvathur, India, 6–8 April 2016; pp. 557–560. [Google Scholar] [CrossRef]
- Akintade, O.O.; Yesufu, T.K.; Kehinde, L.O. Development of Power Consumption Models for ESP8266-Enabled Low-Cost IoT Monitoring Nodes. Adv. Internet Things 2019, 9, 90552. [Google Scholar] [CrossRef] [Green Version]
- Cotrim, R.S.; Caldeira JM, L.P.; Soares VN, G.J.; Azzoug, Y. Power saving MAC protocols in wireless sensor networks: A survey. TELKOMNIKA Telecommun. Comput. Electron. Control 2021, 19, 1778–1786. [Google Scholar] [CrossRef]
- Portmann, M.; Pirzada, A.A. Wireless Mesh Networks for Public Safety and Crisis Management Applications. IEEE Internet Comput. 2008, 12, 18–25. [Google Scholar] [CrossRef]
- GitHub. Intro to PainlessMesh. 24 July 2019. (GitHub). Available online: https://github.com/gmag11/painlessMesh (accessed on 1 March 2022).
- Arduino. Arduino IDE 2 Tutorials. Available online: https://docs.arduino.cc/software/ide-v2 (accessed on 23 February 2022).
- WEMOS. D1 Mini Pro. Available online: https://www.wemos.cc/en/latest/d1/d1_mini_pro.html (accessed on 23 February 2022).
- Kumar, K.N.; Pillai, A.V.; Narayanan, M.B. Smart agriculture using IoT. Mater. Today Proc. 2021; in press. [Google Scholar] [CrossRef]
- Kumar, L.A.; Indragandhi, V.; Selvamathi, R.; Vijayakumar, V.; Ravi, L.; Subramaniyaswamy, V. Design, power quality analysis, and implementation of smart energy meter using internet of things. Comput. Electr. Eng. 2021, 93, 107203. [Google Scholar] [CrossRef]
- Mahgoub, A.; Tarrad, N.; Elsherif, R.; Al-Ali, A.; Ismail, L. IoT-Based Fire Alarm System. In Proceedings of the Third World Conference on Smart Trends in Systems, Security and Sustainability (WorldS4), London, UK, 30–31 July 2019. [Google Scholar] [CrossRef]
- Savari, G.F.; Krishnasamy, V.; Sathik, J.; Ali, Z.M.; Abdel Aleem, S.H. Internet of Things based real-time electric vehicle load forecasting and charging station recommendation. ISA Trans. 2020, 97, 431–447. [Google Scholar] [CrossRef] [PubMed]
- Pereira, R.I.S.; Jucá, S.C.S.; Carvalho, P. IoT embedded systems network and sensors signal conditioning applied to decentralized photovoltaic plants. Measurement 2019, 142, 195–212. [Google Scholar] [CrossRef]
- Balashanmugam, T.; Elayaraja, P.; Srinivasan, P.; Kumarganesh, S. IoT based air quality measurement and alert system for steel, material and copper processing industries. Mater. Today Proc. 2021; in press. [Google Scholar] [CrossRef]
- Chawla, M.S.; Prakash, D.; Jindal, S. Design of system for measuring air properties for help during COVID-19 scenario. Mater. Today Proc. 2021, 45, 4472–4476. [Google Scholar] [CrossRef]
- George, D. MicroPython. 2018. Available online: https://micropython.org/ (accessed on 23 February 2022).
- NodeMcu. NodeMcu—Connect Things EASY. 2018. Available online: https://www.nodemcu.com/index_en.html (accessed on 1 October 2021).
- Borman, D. TCP Options and Maximum Segment Size (MSS), RFC 6691. 2012. Available online: https://datatracker.ietf.org/doc/html/rfc6691 (accessed on 23 February 2022).
- GitLab. PainlessMesh API. 24 July 2019. (GitLab). Available online: https://gitlab.com/painlessMesh/painlessMesh/-/wikis/api (accessed on 23 February 2022).
- Putty. Download PuTTY—A Free SSH and Telnet Client for Windows. Available online: https://www.putty.org/ (accessed on 23 February 2022).
- Fabian, P.; Rachedi, A.; Guéguen, C. Programmable objective function for data transportation in the Internet of Vehicles. Trans. Emerg. Telecommun. Technol. 2020, 31, e3882. [Google Scholar] [CrossRef]
- Rachedi, A.; Badis, H. BadZak: An Hybrid Architecture Based on Virtual Backbone and Software Defined Network for Internet of Vehicles. In Proceedings of the 2018 IEEE International Conference on Communications (ICC), Kansas City, MO, USA, 20–24 May 2018. [Google Scholar]

















Publisher’s Note: MDPI stays neutral with regard to jurisdictional claims in published maps and institutional affiliations. |
© 2022 by the authors. Licensee MDPI, Basel, Switzerland. This article is an open access article distributed under the terms and conditions of the Creative Commons Attribution (CC BY) license (https://creativecommons.org/licenses/by/4.0/).
Share and Cite
Santos, L.; Costa, T.; Caldeira, J.M.L.P.; Soares, V.N.G.J. Performance Assessment of ESP8266 Wireless Mesh Networks. Information 2022, 13, 210. https://doi.org/10.3390/info13050210
Santos L, Costa T, Caldeira JMLP, Soares VNGJ. Performance Assessment of ESP8266 Wireless Mesh Networks. Information. 2022; 13(5):210. https://doi.org/10.3390/info13050210
Chicago/Turabian StyleSantos, Luís, Tiago Costa, João M. L. P. Caldeira, and Vasco N. G. J. Soares. 2022. "Performance Assessment of ESP8266 Wireless Mesh Networks" Information 13, no. 5: 210. https://doi.org/10.3390/info13050210
APA StyleSantos, L., Costa, T., Caldeira, J. M. L. P., & Soares, V. N. G. J. (2022). Performance Assessment of ESP8266 Wireless Mesh Networks. Information, 13(5), 210. https://doi.org/10.3390/info13050210

