Passive Fault-Tolerant Control of a 2-DOF Robotic Helicopter
Abstract
1. Introduction
1.1. Fault Tolerance Control
1.2. Main Contribution
2. Dynamic Model of the 2-Dof Helicopter
3. Fault-Tolerant Control Scheme
4. Control Design and Implementation
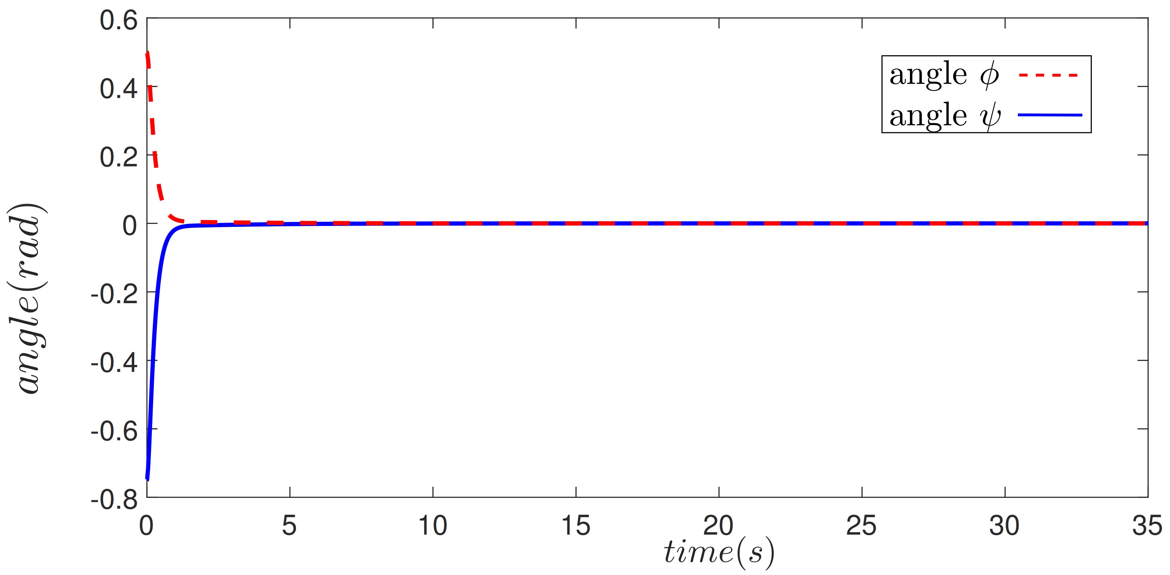
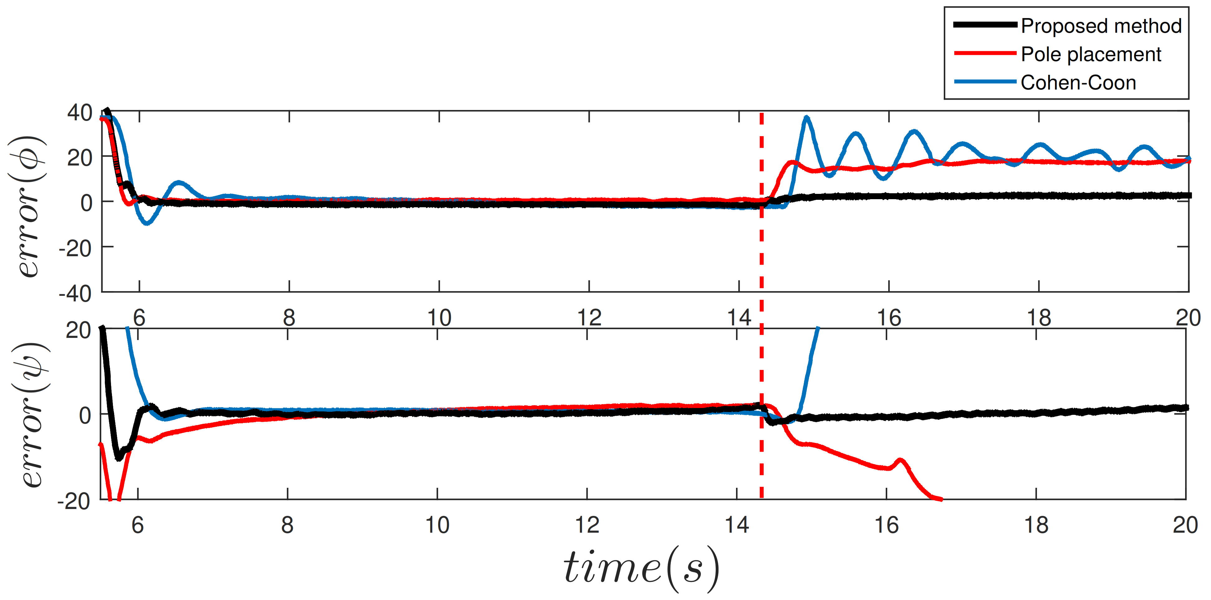
5. Numerical Results
5.1. Simulation Test
5.2. Physical Test
6. Discussions
6.1. Results
6.2. Limitations
7. Conclusions
Author Contributions
Funding
Institutional Review Board Statement
Informed Consent Statement
Data Availability Statement
Acknowledgments
Conflicts of Interest
Appendix A
| Nom | Description | Value |
|---|---|---|
| Front Mass | 0.414 kg | |
| Rear Mass | 0.232 kg | |
| Center to front distance | 0.203 m | |
| Center to rear distance | 0.203 m | |
| g | Gravity | 9.8 m/s |
| Angle Pitch | rad | |
| Angle Yaw | rad | |
| Angular velocity Pitch | r/s | |
| Angular velocity Yaw | r/s | |
| Angular acceleration Pitch | r/s | |
| Angular acceleration Yaw | r/s | |
| G | Vector of gravitational torques | |
| D | Inertia matrix | |
| C | Coriolis vector | |
| Vector nominal of gravitational torques | ||
| Inertia nominal matrix | ||
| Coriolis nominal vector | ||
| Lift motor fault causing pitch () movement | ||
| Tail motor fault causing yaw () movement | ||
| Constant matrix of appropriate dimensions | ||
| Feedback control law | ||
| Uncertainties and other disturbances | ||
| Proportional gain | ||
| Derivative gain | ||
| Nonlinear controller | ||
| Control signal in lift motor (actuator one) | ||
| Control signal in tail motor (actuator two ) | ||
| Nonlinear controller gain | ||
| Maximum eigenvalues of the matrix P | ||
| Minimum eigenvalues of the matrix Q |
References
- Zhang, Y.; Jiang, J. Bibliographical review on reconfigurable fault-tolerant control systems. Annu. Rev. Control 2008, 32, 229–252. [Google Scholar] [CrossRef]
- Blanke, M.; Kinnaert, M.; Lunze, J.; Staroswiecki, M.; Schröder, J. Diagnosis and Fault-Tolerant Control; Springer: Berlin/Heidelberg, Germany, 2006; Volume 2. [Google Scholar]
- Chen, J.; Patton, R. Robust Model-Based Fault Diagnosis for Dynamic Systems; Springer Science & Business Media: London, UK, 1999. [Google Scholar]
- Ding, S. Model-Based Fault Diagnosis Techniques: Design Schemes, Algorithms, and Tools; Springer Science & Business Media: Berlin/Heidelberg, Germany, 2008. [Google Scholar]
- Isermann. Fault-Diagnosis Applications: Model-Based Condition Monitoring: Actuators, Drives, Machinery, Plants, Sensors, and Fault-Tolerant Systems; Springer Science & Business Media: Berlin/Heidelberg, Germany, 2011. [Google Scholar]
- Alcorta-García, E.; Frank, P.M. Deterministic nonlinear observer-based approaches to fault diagnosis: A survey. Control Eng. Pract. 1997, 5, 663–670. [Google Scholar] [CrossRef]
- Isermann, R. Fault-Diagnosis Systems: An Introduction from Fault Detection to Fault Tolerance; Springer Science & Business Media: Berlin/Heidelberg, Germany, 2006. [Google Scholar]
- Clark, R.N.; Frank, P.M.; Patton, R.J. (Eds.) Fault Diagnosis in Dynamical systems: Theory and Applications; Prentice Hall: Hoboken, NJ, USA, 1989. [Google Scholar]
- Rodriguez, L. Control Activo Tolerante a Fallas Para Sistemas Hamiltonianos Convergentes. Ph.D. Thesis, Autonomous University of Nuevo Leon, San Nicolás de los Garza, Mexico, 2013. [Google Scholar]
- Liang, Y.W.; Liaw, D.C.; Lee, T.C. Reliable control of nonlinear systems. IEEE Trans. Autom. Control 2000, 45, 706–710. [Google Scholar] [CrossRef]
- Zhao, Q.; Jiang, J. Reliable state feedback control system design against actuator failures. Automatica 1998, 34, 1267–1272. [Google Scholar] [CrossRef]
- Jiang, J.; Yu, X. Fault-tolerant control systems: A comparative study between active and passive approaches. Annu. Rev. Control 2012, 36, 60–72. [Google Scholar] [CrossRef]
- Li, Z.; Dahhou, B.; Li, Q.; Zhang, M. Design of passive fault tolerant control of a process system. In Proceedings of the IEEE Chinese Control and Decision Conference, Qingdao, China, 23–25 May 2015; pp. 2776–2781. [Google Scholar]
- Patton, R.J. Fault-tolerant control: The 1997 situation. IFAC Proc. Vol. 1997, 30, 1029–1051. [Google Scholar] [CrossRef]
- Benosman, M.; Lum, K.Y. Passive actuators’ fault-tolerant control for affine nonlinear systems. IEEE Trans. Control Syst. Technol. 2009, 18, 152–163. [Google Scholar] [CrossRef]
- Yang, P.; Gao, Z.; Zhao, J.; Cheng, Z.Z.P. Fault tolerant pi control design for satellite attitude systems with actuator fault. In Proceedings of the IEEE Chinese Automation Congress, Jinan, China, 20–22 October 2017; pp. 2026–2030. [Google Scholar]
- Díaz-Rodríguez, I.; Bhattacharyya, S.H.S. Analytical Design of PID Controllers; Springer International Publishing: Berlin/Heidelberg, Germany, 2019. [Google Scholar]
- Boyd, S.; Ghaoui, L.E.; Feron, E.; Balakrishnan, V. Linear Matrix Inequalities in System and Control Theory; Siam: Philadelphia, PA, USA, 1994; Volume 15. [Google Scholar]
- Staroswiecki, M.; Gehin, A.L. From control to supervision. IFAC Proc. Vol. 2000, 33, 317–328. [Google Scholar] [CrossRef]
- Quanser 2-DOF Helicopter: User Manual; Quanser Inc.: Ontario, CA, USA, 2011.
- Laboratory Guide: 2-DOF Helicopter Experiment for MATLAB® /Simulink® Users; Quanser Inc.: Ontario, CA, USA, 2012.
- Romero, G.; Alcorta-García, E.; Lara, D.; Pérez, I.; Betancourt, B.; Ocampo, H. New Method for Tuning Robust Controllers Applied to Robot Manipulators. Int. J. Adv. Robot. Syst. 2012, 9, 1–8. [Google Scholar] [CrossRef]
- Muñoz-Vázquez, A.J.M.; Parra-Vega, V.; Sánchez-Orta, A.; Martínez-Reyes, F. Robust Mittag-Leffler stabilisation of fractional-order systems. Asian J. Control 2020, 22, 2273–2281. [Google Scholar] [CrossRef]
- Khalil, H. Nonlinear System; Pearson Educacion: Upper Saddle River, MI, USA, 2002; pp. 111–133. [Google Scholar]
- Alfaro, V. Métodos de sintonización de controladores PID que operan como reguladores. Ingeniería 2002, 12, 21–36. [Google Scholar] [CrossRef][Green Version]















| Case | Description |
|---|---|
| 1 | Nominal behaviour, without faults |
| 2 | fault in actuator 1 |
| 3 | fault in actuator 1 |
| 4 | fault in actuator 2 |
| 5 | fault in actuator 2 |
| Method | ||||
|---|---|---|---|---|
| Proposed method | ||||
| 12.2668 | 6.71320 | - | 0.54 | |
| 12.2668 | 6.7132 | - | 0.54 | |
| Pole placement | ||||
| 6.28 | 3.0483 | - | - | |
| 4.1229 | 3.0235 | - | - | |
| Cohen-Coon | ||||
| 0.0375 | 0.827 | 1.072 | - | |
| 0.0040 | 0.668 | 0.8 | - |
Publisher’s Note: MDPI stays neutral with regard to jurisdictional claims in published maps and institutional affiliations. |
© 2021 by the authors. Licensee MDPI, Basel, Switzerland. This article is an open access article distributed under the terms and conditions of the Creative Commons Attribution (CC BY) license (https://creativecommons.org/licenses/by/4.0/).
Share and Cite
Zuñiga, M.A.; Ramírez, L.A.; Romero, G.; Alcorta-García, E.; Arceo, A. Passive Fault-Tolerant Control of a 2-DOF Robotic Helicopter. Information 2021, 12, 445. https://doi.org/10.3390/info12110445
Zuñiga MA, Ramírez LA, Romero G, Alcorta-García E, Arceo A. Passive Fault-Tolerant Control of a 2-DOF Robotic Helicopter. Information. 2021; 12(11):445. https://doi.org/10.3390/info12110445
Chicago/Turabian StyleZuñiga, Manuel A., Luis A. Ramírez, Gerardo Romero, Efraín Alcorta-García, and Alejandro Arceo. 2021. "Passive Fault-Tolerant Control of a 2-DOF Robotic Helicopter" Information 12, no. 11: 445. https://doi.org/10.3390/info12110445
APA StyleZuñiga, M. A., Ramírez, L. A., Romero, G., Alcorta-García, E., & Arceo, A. (2021). Passive Fault-Tolerant Control of a 2-DOF Robotic Helicopter. Information, 12(11), 445. https://doi.org/10.3390/info12110445

