Evaluation of Content Dissemination Strategies in Urban Vehicular Networks
Abstract
1. Introduction
- the design of dissemination strategies to choose forwarding information over urban and parking lot scenarios that (i) replicates the content that has travelled the least number of hops; (ii) replicates the rarest content in the vehicle’s vicinity; and (iii) combines the concept of network coding and content distribution, replicating the rarest code generation in the vehicle’s vicinity;
- the evaluation, using real traces of mobility and network connectivity of a 24-h periods obtained from a vehicular network with more than 600 vehicles, in Porto city (public buses, garbage trucks, and municipality vehicles), of three dissemination strategies;
- the evaluation and analysis of the three dissemination strategies following two distinct mobile scenarios with different mobility and connectivity patterns.
2. Related Work
3. Content Dissemination Strategies
- Least Number of Hops First (LNHF);
- Local Rarest Bundle First (LRBF);
- Local Rarest Generation First (LRGF).
3.1. Least Number of Hops First (LNHF)
3.2. Local Rarest Bundle First (LRBF)
3.3. Local Rarest Generation First (LRGF)
4. Evaluation and Results
4.1. Evaluated Scenarios
4.1.1. City Center
4.1.2. Parking Lot
4.2. Software Description
4.3. Evaluated Metrics
- Active time: the amount of time that an OBU remains operational, and it is evaluated assuming that each log received (in the collected dataset) represents an increase of seconds (sampling period of the data collection) to this metric;
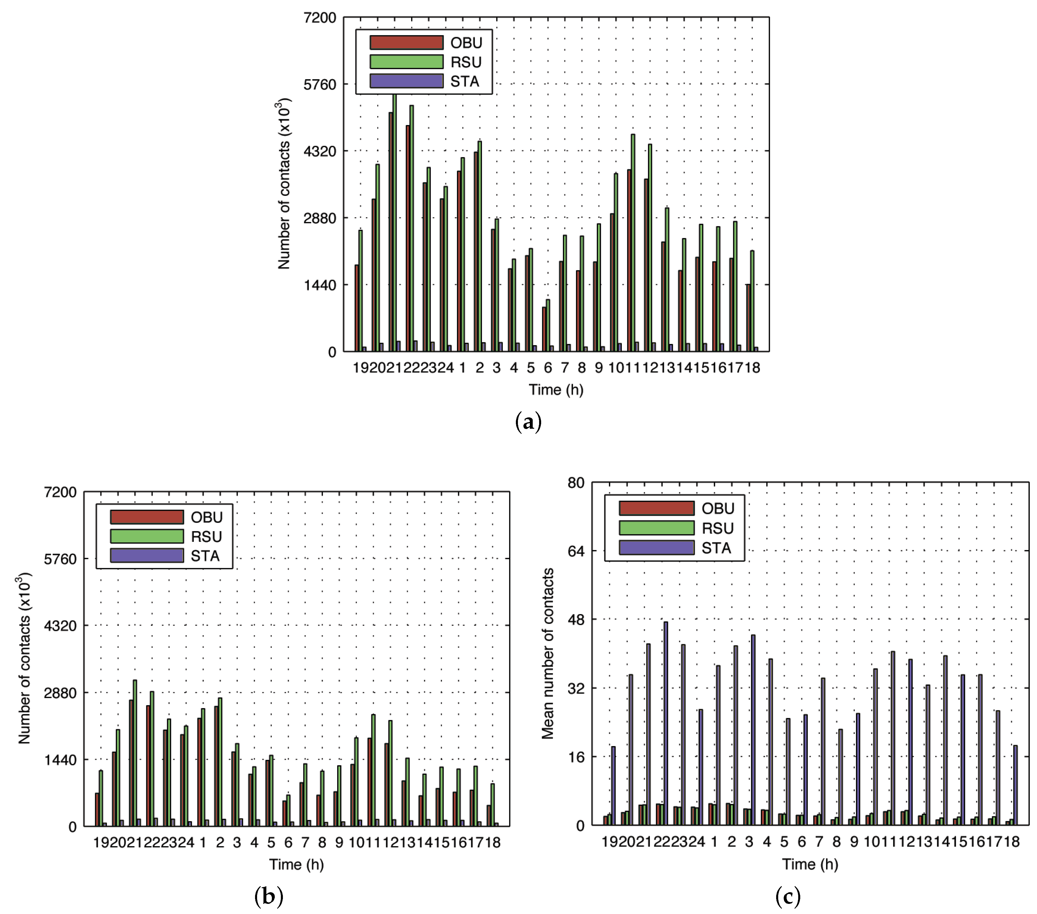
- Number of (valid) contacts: the number of times that a certain node can establish a contact with a neighbor. Thus, as an example, when a node A at a specific time instant has a vicinity comprising 5 nodes, the total number of contacts registered at this time is 5. However, if among these five, 2 of them have a link connection below 15 dBm and another is an RSU, the number of valid contacts is reduced to 2, since only connections equal or above 15 dBm can establish downstream (from an RSU to an OBU, or among OBUs). This metric can also be represented normalized according to the number of different nodes (OBU or RSU) which collected the information about the number of contacts;
- The OBU’s mobility: measured using the number of collected contacts between an OBU and other nodes divided according to their type (OBU, RSU, and STA). Thus, if an OBU has a higher number of contacts with an RSU than with a STA, it indicates that it has been travelling more in the city center than parked in the parking lot.
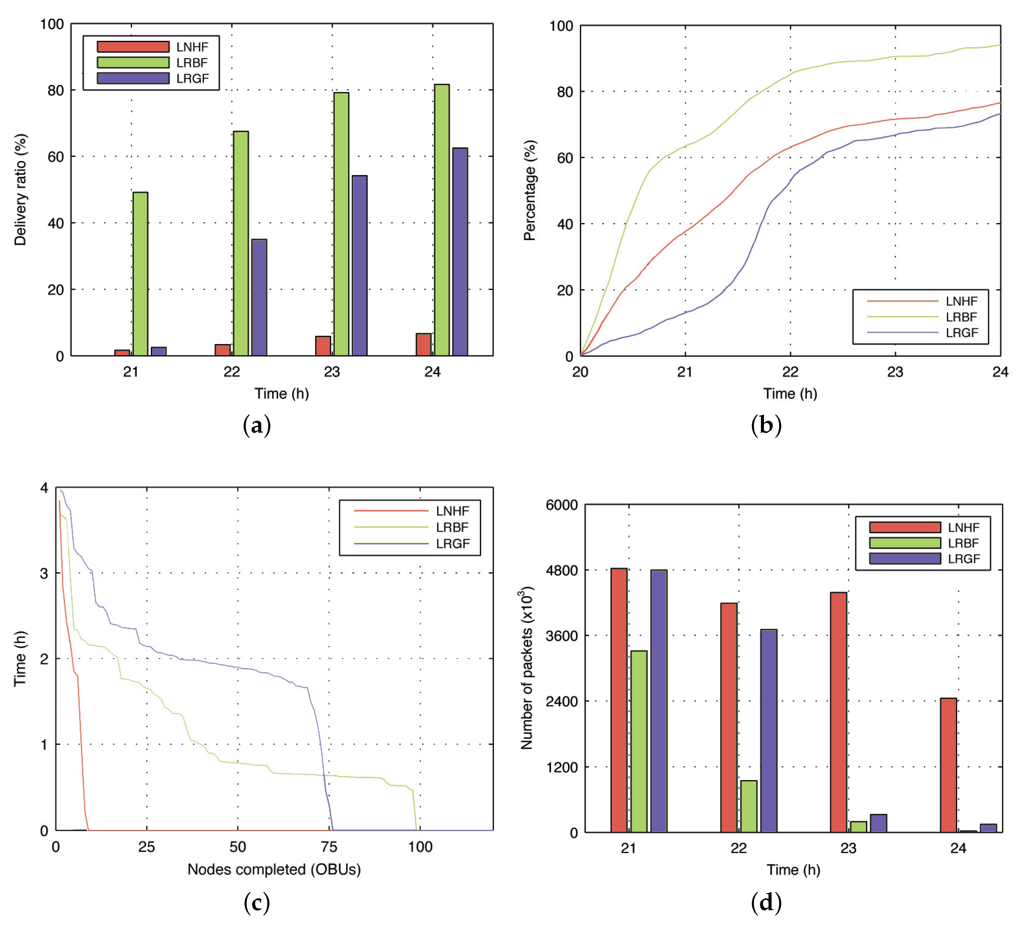
- Delivery rate: the percentage of OBUs that successfully downloaded the content under dissemination. This metric is evaluated on an hour-by-hour basis;
- Cumulative percentage of file distributed in the network (all the OBUs) throughout the experiment;
- End-to-end (E2E) delay: the elapsed time to receive the complete file in an OBU since the beginning of the dissemination process. In the plot only the nodes that received all the packets are considered;
- Number of listened packets by the network per hour: evaluated through the cumulative sum of all the packets listened by OBUs, and it can be interpreted as a channel congestion metric.
4.4. Network Characterization
4.4.1. Active Time of OBUs
4.4.2. Number of Contacts
4.4.3. Mobility of OBUs
4.5. Performance Evaluation of Dissemination Strategies
4.5.1. Rush Hour in City Center
4.5.2. Parking Period in Parking Lot
5. Conclusions
Author Contributions
Funding
Conflicts of Interest
References
- Santos, P.M.; Rodrigues, J.G.P.; Cruz, S.B.; Lourenço, T.; d’Orey, P.M.; Luis, Y.; Rocha, C.; Sousa, S.; Crisóstomo, S.; Queirós, C.; et al. PortoLivingLab: An IoT-Based Sensing Platform for Smart Cities. IEEE Internet Things J. 2018, 5, 523–532. [Google Scholar] [CrossRef]
- Ameixieira, C.; Cardote, A.; Neves, F.; Meireles, R.; Sargento, S.; Coelho, L.; Afonso, J.; Areias, B.; Mota, E.; Costa, R.; et al. Harbornet: A real-world testbed for vehicular networks. IEEE Commun. Mag. 2014, 52, 108–114. [Google Scholar] [CrossRef]
- Monteiro, R.; Guedes, L.; Condeixa, T.; Neves, F.; Sargento, S.; Guardalben, L.; Steenkiste, P. Lessons learned from a real vehicular network deployment of delay-tolerant networking. In Proceedings of the 2015 IEEE International Conference on Communication Workshop (ICCW), London, UK, 8–12 June 2015; pp. 2489–2494. [Google Scholar] [CrossRef]
- Pessoa, G.; Dias, R.; Condeixa, T.; Azevedo, J.; Guardalben, L.; Sargento, S. Content distribution emulation for vehicular networks. In Proceedings of the WD 2017: Wireless Days 2017, Porto, Portugal, 29–31 March 2017; pp. 208–211. [Google Scholar] [CrossRef]
- Silva, F.A.; Boukerche, A.; Silva, T.R.M.B.; Ruiz, L.B.; Cerqueira, E.; Loureiro, A.A.F. Vehicular Networks: A New Challenge for Content-Delivery-Based Applications. ACM Comput. Surv. 2016, 49, 1–29. [Google Scholar] [CrossRef]
- Dinh, N.T.; Kim, Y. Information-centric dissemination protocol for safety information in vehicular ad-hoc networks. Wirel. Netw. 2017, 23, 1359–1371. [Google Scholar] [CrossRef]
- Chaqfeh, M.; Lakas, A.; Jawhar, I. A survey on data dissemination in vehicular ad hoc networks. Veh. Commun. 2014, 1, 214–225. [Google Scholar] [CrossRef]
- Gerla, M.; Wu, C.; Pau, G.; Zhu, X. Content distribution in VANETs. Veh. Commun. 2014, 1, 3–12. [Google Scholar] [CrossRef]
- Yu, B.; Bai, F. PYRAMID: Informed content reconciliation for vehicular peer-to-peer systems. In Proceedings of the 2015 IEEE Vehicular Networking Conference (VNC), Kyoto, Japan, 16–18 December 2015; pp. 212–219. [Google Scholar] [CrossRef]
- Da Costa, J.B.D.; de Souza, A.M.; Rosário, D.; Cerqueira, E.; Villas, L.A. Efficient data dissemination protocol based on complex networks’ metrics for urban vehicular networks. J. Internet Serv. Appl. 2019, 10, 15. [Google Scholar] [CrossRef]
- Li, Z.; Song, Y.; Bi, J. CADD: Connectivity-aware data dissemination using node forwarding capability estimation in partially connected VANETs. Wirel. Netw. 2019, 25, 379–398. [Google Scholar] [CrossRef]
- Sospeter, J.; Wu, D.; Hussain, S.; Tesfa, T. An Effective and Efficient Adaptive Probability Data Dissemination Protocol in VANET. Data 2018, 4, 1. [Google Scholar] [CrossRef]
- Zhang, R.; Yu, B.; Krishnan, H. Simulation Study on Collaborative Content Distribution in Delay Tolerant Vehicular Networks. In Proceedings of the 2018 IEEE 88th Vehicular Technology Conference (VTC-Fall), Chicago, IL, USA, 27–30 August 2018; pp. 1–5. [Google Scholar] [CrossRef]
- Bitaghsir, S.A.; Khonsari, A. Cooperative caching for content dissemination in vehicular networks. Int. J. Commun. Syst. 2018. [Google Scholar] [CrossRef]
- Recharte, D.; Aguiar, A.; Cabral, H. Cooperative Content Dissemination on Vehicular Networks. In Proceedings of the 2018 IEEE Vehicular Networking Conference (VNC), Taipei, Taiwan, 5–7 December 2018; pp. 1–8. [Google Scholar] [CrossRef]
- Basheer, H.S.; Bassil, C. A review of broadcasting safety data in V2V: Weaknesses and requirements. Ad Hoc Netw. 2017, 65, 13–25. [Google Scholar] [CrossRef]
- Jamil, F.; Javaid, A.; Umer, T.; Rehmani, M.H. A comprehensive survey of network coding in vehicular ad-hoc networks. Wirel. Netw. 2016. [Google Scholar] [CrossRef]
- SAFESPOT. The Case for Cellular V2X for Safety and Cooperative Driving. 2017. Available online: https://5gaa.org/wp-content/uploads/2017/10/5GAA-whitepaper-23-Nov-2016.pdf (accessed on 17 March 2020).
- Araniti, G.; Campolo, C.; Condoluci, M.; Iera, A.; Molinaro, A. LTE for vehicular networking: A survey. IEEE Commun. Mag. 2013, 51, 148–157. [Google Scholar] [CrossRef]
- Silva, F.A.; Celes, C.; Boukerche, A.; Ruiz, L.B.; Loureiro, A.A. Filling the Gaps of Vehicular Mobility Traces. In Proceedings of the 18th ACM International Conference on Modeling, Analysis and Simulation of Wireless and Mobile Systems, Cancun, Mexico, 2–6 Noverbem 2015; pp. 47–54. [Google Scholar] [CrossRef]
- Uppoor, S.; Trullols-Cruces, O.; Fiore, M.; Barcelo-Ordinas, J.M. Generation and Analysis of a Large-Scale Urban Vehicular Mobility Dataset. IEEE Trans. Mob. Comput. 2014, 13, 1061–1075. [Google Scholar] [CrossRef]
- Gramaglia, M.; Trullols-Cruces, O.; Naboulsi, D.; Fiore, M.; Calderon, M. Mobility and connectivity in highway vehicular networks: A case study in Madrid. Comput. Commun. 2016, 78, 28–44. [Google Scholar] [CrossRef]













| Period | Region | OBUs | RSUs | |
|---|---|---|---|---|
| Rush Hour | 06 a.m.–10 a.m. | City center | 161 | 18 |
| Parking | 08 p.m.–12 p.m. | Parking lot | 120 | 1 |
© 2020 by the authors. Licensee MDPI, Basel, Switzerland. This article is an open access article distributed under the terms and conditions of the Creative Commons Attribution (CC BY) license (http://creativecommons.org/licenses/by/4.0/).
Share and Cite
Pessoa, G.; Guardalben, L.; Luís, M.; Senna, C.; Sargento, S. Evaluation of Content Dissemination Strategies in Urban Vehicular Networks. Information 2020, 11, 163. https://doi.org/10.3390/info11030163
Pessoa G, Guardalben L, Luís M, Senna C, Sargento S. Evaluation of Content Dissemination Strategies in Urban Vehicular Networks. Information. 2020; 11(3):163. https://doi.org/10.3390/info11030163
Chicago/Turabian StylePessoa, Gonçalo, Lucas Guardalben, Miguel Luís, Carlos Senna, and Susana Sargento. 2020. "Evaluation of Content Dissemination Strategies in Urban Vehicular Networks" Information 11, no. 3: 163. https://doi.org/10.3390/info11030163
APA StylePessoa, G., Guardalben, L., Luís, M., Senna, C., & Sargento, S. (2020). Evaluation of Content Dissemination Strategies in Urban Vehicular Networks. Information, 11(3), 163. https://doi.org/10.3390/info11030163

