A Novel Method for Router-to-AS Mapping Based on Graph Community Discovery
Abstract
1. Introduction
- We construct a weighted router level graph by using the initial AS information of IP interfaces and router-pairs similarities simultaneously;
- We propose a fast hierarchy clustering with time and space complexity which are both linear, which is capable of finding AS communities;
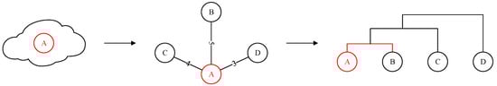
- We demonstrate our method using community discovery upon a weighted router-level graph, which can lead to a drastic increase of the accuracy rate.
2. Framework of Weighted Router Graph Construction and Router-to-AS Mapping
2.1. Obtaining Weights
2.2. Weight Fusion
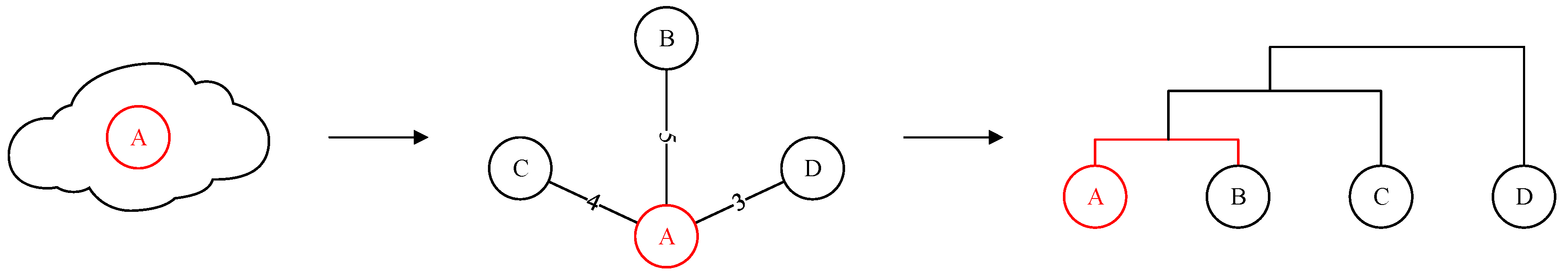
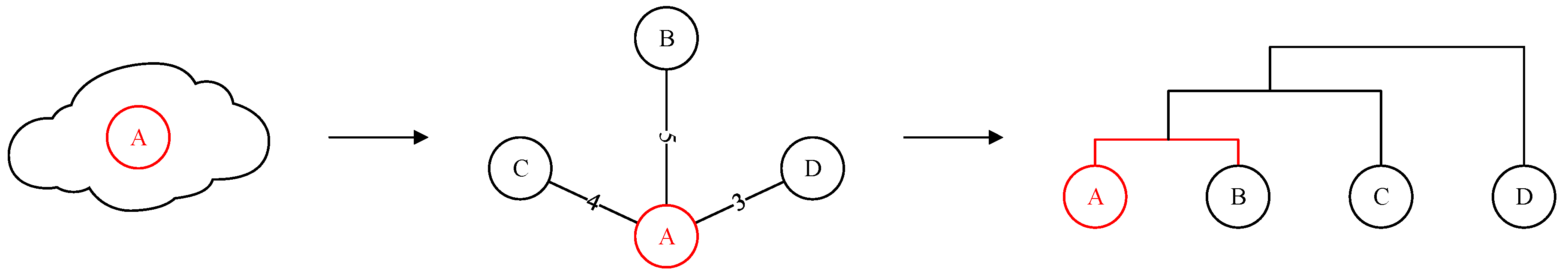
2.3. Weighted Community Discovery
3. Key Issues of Our Method
- Operator “Plus”: this operator means that the Info Transferring Weights and Router-Pairs Similarity Weights take the same importance when we generate the weighted topology.
- Operator “Times”: because Times means performing an independent observation on the target system, here we use this operator to represent the independence.
- Operator “Max & Min”: this operator is to eliminate average or relative error during the “Plus” or “Times” two process.
4. Experiment Study
4.1. Data Set Introduction
4.1.1. CAIDA Router-Level Data for Generating Global Router Topology
4.1.2. PeeringDB IP-to-AS Ground Truth Data for Validation
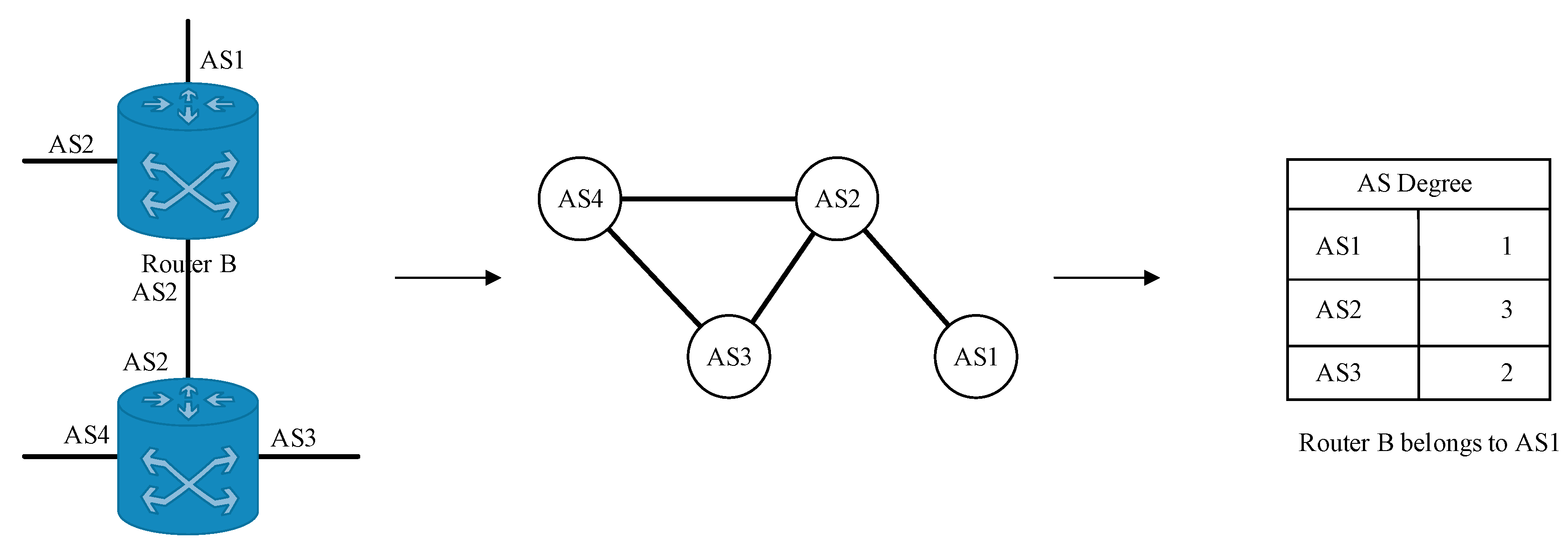
- Step 1: We found routers in ITDK with port and IP addresses, containing an IP host in ground truth. After this process, there are only 617 routers that satisfy the condition;
- Step 2: We looked up the router-level topology generated before to examine whether these routers were isolated nodes or not, and we find that there are 3 of them which are solo nodes, and then we take them out;
- Step 3: We took out the current router’s port and IP address, which have unknown AS information; for example, if router-A has 3 IP hosts where AS refers to AS1, AS2, and AS3 according to the IP alias analysis, but router-A’s AS of ground truth is AS4 according to step 1, thus we cannot use AS1~AS3 to infer AS4, so that we have to take router-A out since lacking of other information.
4.2. Baseline Methods
4.2.1. CAIDA Method: Election Tech + Degree Tech
4.2.2. Hierarchy Clustering Based on Topologyonly & Hierarchy Clustering Based on Portonly
5. Experiment Results and Discussions
5.1. Comparison of Accuracy Rates Evaluation and Efficiency of Our Router-to-AS Mapping Method
- Method 1: use the port information to generate the weight between two nodes;
- Method 2: use the traditional definition of node similarity to generate the weight;
- Method 3: use the modified node similarity metric to generate the weight;
- Method 4: combine the traditional definition of node similarity and router’s port information;
- Method 5: combine the modified node similarity metric and router’s port information.
5.2. Result Explanation for Different Similarity Metrics
5.3. Comparison of Accuracy Rate under Four Different Operators
6. Conclusions
Author Contributions
Funding
Acknowledgments
Conflicts of Interest
Abbreviations
| CAIDA | Center for Applied Internet Data Analysis |
| ITDK | Internet Topology Data Kit |
| BGP | Border Gateway Protocol |
| AS | Autonomous System |
References
- He, Y.; Siganos, G.; Faloutsos, M.; Krishnamurthy, S. Lord of the Links: A Framework for Discovering Missing Links in the Internet Topology. IEEE/ACM Trans. Netw. 2009, 17, 391–404. [Google Scholar] [CrossRef]
- Oliveira, R.; Pei, D.; Willinger, W.; Zhang, B.; Zhang, L. The (In)Completeness of the Observed Internet AS-level Structure. IEEE/ACM Trans. Netw. 2010, 18, 109–122. [Google Scholar] [CrossRef]
- Keys, K.; Hyun, Y.; Luckie, M.; Claffy, K. Internet-scale IPv4 alias resolution with MIDAR. IEEE/ACM Trans. Netw. 2013, 21, 383–399. [Google Scholar] [CrossRef]
- Gunes, M.H.; Sarac, K. Resolving Anonymous Routers in Internet Topology Measurement Studies. In Proceedings of the 27th Conference on Computer Communications (INFOCOM 2008), Phoenix, AZ, USA, 13–18 April 2008; pp. 1076–1084. [Google Scholar]
- Rekhter, Y.; Katz, D.; Mathis, M.; Yu, J.Y.; Honig, J.C. Application of the Border Gateway Protocol in the Internet. 1990. Available online: https://buildbot.tools.ietf.org/html/rfc1164 (accessed on 22 February 2019).
- Mao, Z.M.; Rexford, J.; Wang, J.; Katz, R.H. Towards an Accurate AS-Level Traceroute Tool. In Proceedings of the 2003 Conference on Applications, Technologies, Architectures, and Protocols for Computer Communications, Karlsruhe, Germany, 25–29 August 2003; pp. 365–378. [Google Scholar]
- Tangmunarunkit, H.; Doyle, J.; Govindan, R.; Willinger, W.; Jamin, S.; Shenker, S. Does AS Size Determine Degree in AS Topology? ACM SIGCOMM Comput. Commun. Rev. 2001, 31, 7–10. [Google Scholar] [CrossRef]
- Tangmunarunkit, H.; Govindan, R.; Shenker, S.; Estrin, D. The Impact of Routing Policy on Internet Paths. In Proceedings of the IEEE INFOCOM 2001, Conference on Computer Communications, Twentieth Annual Joint Conference of the IEEE Computer and Communications Society, Anchorage, AK, USA, 22–26 April 2001. [Google Scholar]
- Pansiot, J.J.; Mérindol, P.; Donnet, B.; Bonaventure, O. Extracting Intra-domain Topology from mrinfo Probing. In Proceedings of the 11th International Conference on Passive and Active Measurement, Zurich, Switzerland, 7–9 April 2010; pp. 81–90. [Google Scholar]
- Claffy, K.; Fomenkov, M. Supporting Research and Development of Security Technologies through Network and Security Data Collection; University of California San Diego: La Jolla, CA, USA, 2018. [Google Scholar]
- Archipelago Measurement Infrastructure (Ark). Available online: http://www.caida.org/projects/ark/ (accessed on 22 February 2019).
- Marder, A.; Smith, J.M. MAP-IT: Multipass accurate passive inferences from traceroute. In Proceedings of the 2016 Internet Measurement Conference, Santa Monica, CA, USA, 14–16 November 2016; pp. 397–411. [Google Scholar]
- Gregori, E.; Improta, A.; Lenzini, L.; Rossi, L.; Sani, L. A novel methodology to address the internet as-level data incompleteness. IEEE/ACM Trans. Netw. 2015, 23, 1314–1327. [Google Scholar] [CrossRef]
- Huffaker, B.; Dhamdhere, A.; Fomenkov, M. Toward Topology Dualism: Improving the Accuracy of AS Annotations for Routers. In Passive and Active Measurement (PAM); Springer: Berlin/Heidelberg, Germany, 2010; pp. 101–110. [Google Scholar]
- Albert, R.; Barabási, A.L. Statistical mechanics of complex networks. Rev. Mod. Phys. 2002, 74, 47. [Google Scholar] [CrossRef]
- Loe, C.W.; Jensen, H.J. Comparison of communities detection algorithms for multiplex. Phys. A Stat. Mech. Its Appl. 2015, 431, 29–45. [Google Scholar] [CrossRef]
- Newman, M.E.J. The structure and function of complex networks. SIAM Rev. 2003, 45, 167–256. [Google Scholar] [CrossRef]
- Palla, G.; Derényi, I.; Farkas, I.; Vicsek, T. Uncovering the overlapping community structure of complex networks in nature and society. Nature 2005, 435, 814–818. [Google Scholar] [CrossRef] [PubMed]
- Fabian, B.; Ghazaryan, Z.; Ermakova, T. Internet Connectivity of Financial Services—A Graph-Based Analysis. 2018. Available online: https://papers.ssrn.com/sol3/papers.cfm?abstract_id=3213204 (accessed on 22 February 2019).
- Zhou, T.; Lü, L.; Zhang, Y.C. Predicting missing links via local information. Eur. Phys. J. B Condens. Matter Complex Syst. 2009, 71, 623–630. [Google Scholar] [CrossRef]
- Center for Applied Internet Data Analysis. Available online: http://www.caida.org/home/ (accessed on 22 February 2019).
- PeeringDB Database. Available online: https://www.peeringdb.com/ (accessed on 22 February 2019).
- ITDK Data. Available online: http://data.caida.org/datasets/topology/ark/ipv4/itdk/2012-07/ (accessed on 22 February 2019).
- PeeringDB Resources. Available online: https://docs.peeringdb.com/faq/ (accessed on 22 February 2019).










| Metrics | Similarity Metric Definition |
|---|---|
| CN+ | |
| Salton+ | |
| Jaccard+ | |
| Sorenson+ | |
| HPI+ | |
| HDI+ | |
| LHN-I+ | |
| PA | |
| AA+ | |
| RA+ |
| Metrics | Average Accuracy Rate | Standard Error |
|---|---|---|
| CN+ | 38.79% | 0.0053 |
| Salton+ | 67.95% | 0.0010 |
| Jaccard+ | 66.69% | 0.0006 |
| Sorenson+ | 66.83% | 0.0012 |
| HPI+ | 73.05% | 0.0008 |
| HDI+ | 66.73% | 0.0009 |
| LHN-I+ | 69.33% | 0.0000 |
| PA | 39.53% | 0.0103 |
| AA+ | 55.83% | 0.0000 |
| RA+ | 82.62% | 0.0000 |
© 2019 by the authors. Licensee MDPI, Basel, Switzerland. This article is an open access article distributed under the terms and conditions of the Creative Commons Attribution (CC BY) license (http://creativecommons.org/licenses/by/4.0/).
Share and Cite
Hu, H.; Liu, W.; Fei, G.; Yang, S.; Hu, G. A Novel Method for Router-to-AS Mapping Based on Graph Community Discovery. Information 2019, 10, 87. https://doi.org/10.3390/info10030087
Hu H, Liu W, Fei G, Yang S, Hu G. A Novel Method for Router-to-AS Mapping Based on Graph Community Discovery. Information. 2019; 10(3):87. https://doi.org/10.3390/info10030087
Chicago/Turabian StyleHu, Hangyu, Weiyi Liu, Gaolei Fei, Song Yang, and Guangmin Hu. 2019. "A Novel Method for Router-to-AS Mapping Based on Graph Community Discovery" Information 10, no. 3: 87. https://doi.org/10.3390/info10030087
APA StyleHu, H., Liu, W., Fei, G., Yang, S., & Hu, G. (2019). A Novel Method for Router-to-AS Mapping Based on Graph Community Discovery. Information, 10(3), 87. https://doi.org/10.3390/info10030087

