Energy Sources Generation and Energy Cascades along the Kuroshio East of Taiwan Island and the East China Sea
Abstract
1. Introduction
2. Methods and Data
2.1. Methods
2.1.1. Spectral KE Transfer
2.1.2. Spectral APE Transfer
2.2. Data
2.2.1. OFES Model Data
2.2.2. AVISO Altimetry Data
2.2.3. ERA5 Reanalysis Data
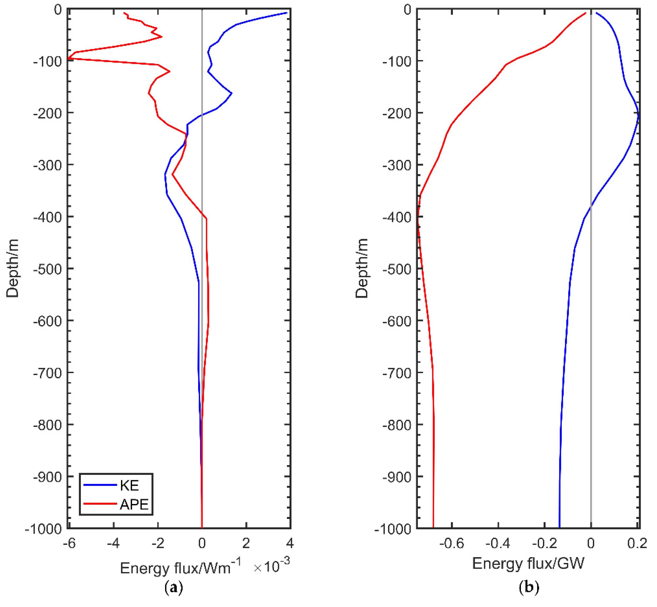
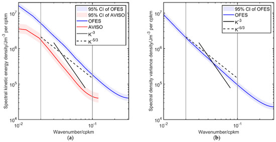
3. Results
3.1. One-Dimensional Spectral Energy Density
3.2. Distribution of Energy Sources at the Sea Surface
3.3. Generation of Energy Sources
3.4. Marine Phenomena Associated with the Conversions of Energy
4. Discussion
5. Conclusions
Author Contributions
Funding
Institutional Review Board Statement
Informed Consent Statement
Data Availability Statement
Acknowledgments
Conflicts of Interest
Appendix A. Evolution Equation for Spectral Energy
Appendix B. Lorentz Energy Cycle
Appendix C. The Frontal Eddy

References
- Hwang, C.; Wu, C.-R.; Kao, R. TOPEX/Poseidon observations of mesoscale eddies over the Subtropical Countercurrent: Kinematic characteristics of an anticyclonic eddy and a cyclonic eddy. J. Geophys. Res. Oceans 2004, 109, C08013. [Google Scholar] [CrossRef]
- Hsin, Y.C.; Wu, C.R.; Shaw, P.T. Spatial and temporal variations of the Kuroshio east of Taiwan, 1982–2005: A numerical study. J. Geophys. Res. Oceans 2008, 113, C04002. [Google Scholar] [CrossRef]
- Hsin, Y.C.; Qu, T.D.; Wu, C.R. Intra-seasonal variation of the Kuroshio southeast of Taiwan and its possible forcing mechanism. Ocean Dyn. 2010, 60, 1293–1306. [Google Scholar] [CrossRef]
- Hsin, Y.C.; Qiu, B.; Chiang, T.L.; Wu, C.R. Seasonal to interannual variations in the intensity and central position of the surface Kuroshio east of Taiwan. J. Geophys. Res. Oceans 2013, 118, 4305–4316. [Google Scholar] [CrossRef]
- Yin, Y.; Lin, X.; He, R.; Hou, Y. Impact of mesoscale eddies on Kuroshio intrusion variability northeast of Taiwan. J. Geophys. Res. Oceans 2017, 122, 3021–3040. [Google Scholar] [CrossRef]
- Ebuchi, N.; Hanawa, K. Trajectory of mesoscale eddies in the Kuroshio recirculation region. J. Oceanogr. 2001, 57, 471–480. [Google Scholar] [CrossRef]
- Kuo, Y.C.; Chern, C.S. Numerical study on the interactions between a mesoscale eddy and a western boundary current. J. Oceanogr. 2011, 67, 263–272. [Google Scholar] [CrossRef]
- Kamidaira, Y.; Uchiyama, Y.; Mitarai, S. Eddy-induced transport of the Kuroshio warm water around the Ryukyu Islands in the East China Sea. Cont. Shelf Res. 2017, 143, 206–218. [Google Scholar] [CrossRef]
- Liu, Y.; Dong, C.; Liu, X.; Dong, J. Antisymmetry of oceanic eddies across the Kuroshio over a shelfbreak. Sci. Rep. 2017, 7, 6761. [Google Scholar] [CrossRef] [PubMed]
- Yang, Y.; Liang, X.S. The intrinsic nonlinear multiscale interactions among the mean flow, low frequency variability and mesoscale eddies in the Kuroshio region. Sci. China Earth Sci. 2019, 62, 595–608. [Google Scholar] [CrossRef]
- Yan, X.; Kang, D.; Curchitser, E.N.; Pang, C. Energetics of Eddy–Mean Flow Interactions along the Western Boundary Currents in the North Pacific. J. Phys. Oceanogr. 2019, 49, 789–810. [Google Scholar] [CrossRef]
- Kraichnan, R.H. Inertial range in two-dimensional turbulence. Phys. Fluids 1967, 10, 1417–1423. [Google Scholar] [CrossRef]
- Scott, R.B.; Wang, F. Direct evidence of an oceanic inverse kinetic energy cascade from satellite altimetry. J. Phys. Oceanogr. 2005, 35, 1650–1666. [Google Scholar] [CrossRef]
- Qiu, B.; Scott, R.B.; Chen, S. Length Scales of Eddy Generation and Nonlinear Evolution of the Seasonally Modulated South Pacific Subtropical Countercurrent. J. Phys. Oceanogr. 2008, 38, 1515–1528. [Google Scholar] [CrossRef]
- Gill, A.E. Atmosphere-Ocean Dynamics; Academic Press: New York, NY, USA, 1982; p. 662. [Google Scholar]
- Ferrari, R.; Wunsch, C. Ocean Circulation Kinetic Energy: Reservoirs, Sources, and Sinks. Annu. Rev. Fluid Mech. 2009, 41, 253–282. [Google Scholar] [CrossRef]
- Wang, S.; Liu, Z.; Pang, C. Geographical distribution and anisotropy of the inverse kinetic energy cascade, and its role in the eddy equilibrium processes. J. Geophys. Res. Oceans 2015, 120, 4891–4906. [Google Scholar] [CrossRef]
- Kang, D.J.; Curchitser, E.N. Energetics of Eddy-Mean Flow Interactions in the Gulf Stream Region. J. Phys. Oceanogr. 2015, 45, 1103–1120. [Google Scholar] [CrossRef]
- Arbic, B.K.; Polzin, K.L.; Scott, R.B.; Richman, J.G.; Shriver, J.F. On Eddy Viscosity, Energy Cascades, and the Horizontal Resolution of Gridded Satellite Altimeter Products. J. Phys. Oceanogr. 2013, 43, 283–300. [Google Scholar] [CrossRef]
- Schlosser, F.; Eden, C. Diagnosing the energy cascade in a model of the North Atlantic. Geophys. Res. Lett. 2007, 34, L02604. [Google Scholar] [CrossRef]
- Scott, R.B.; Arbic, B.K. Spectral Energy Fluxes in Geostrophic Turbulence: Implications for Ocean Energetics. J. Phys. Oceanogr. 2007, 37, 673–688. [Google Scholar] [CrossRef]
- Capet, X.; Klein, P.; Hua, B.L.; Lapeyre, G.; Mcwilliams, J.C. Surface kinetic energy transfer in surface quasi-geostrophic flows. J. Fluid Mech. 2008, 604, 165–174. [Google Scholar] [CrossRef]
- Renault, L.; Marchesiello, P.; Masson, S.; McWilliams, J.C. Remarkable Control of Western Boundary Currents by Eddy Killing, a Mechanical Air-Sea Coupling Process. Geophys. Res. Lett. 2019, 46, 2743–2751. [Google Scholar] [CrossRef]
- Masumoto, Y.; Sasaki, H.; Kagimoto, T.; Komori, N.; Ishida, A.; Sasai, Y.; Miyama, T.; Motoi, T.; Mitsudera, H.; Takahashi, K. A fifty-year eddy-resolving simulation of the world ocean: Preliminary outcomes of OFES (OGCM for the Earth Simulator). J. Earth Simulator 2004, 1, 35–56. [Google Scholar]
- Sasaki, H.; Nonaka, M.; Masumoto, Y.; Sasai, Y.; Uehara, H.; Sakuma, H. An eddy-resolving hindcast simulation of the quasiglobal ocean from 1950 to 2003 on the Earth Simulator. In High Resolution Numerical Modelling of the Atmosphere and Ocean; Kevin, H., Wataru, O., Eds.; Springer: Berlin/Heidelberg, Germany, 2008; pp. 157–185. [Google Scholar] [CrossRef]
- Hersbach, H.; Bell, B.; Berrisford, P.; Hirahara, S.; Horányi, A.; Muñoz-Sabater, J.; Nicolas, J.; Peubey, C.; Radu, R.; Schepers, D.; et al. The ERA5 global reanalysis. Q. J. R. Meteorol. Soc. 2020, 146, 1999–2049. [Google Scholar] [CrossRef]
- Adrian, S.; Cornel, S.; Julien, N.; Bill, B.; Berrisford, P.; Rossana, D.; Johannes, F.; Leopold, H.; Sean, H.; Hans, H.; et al. Global Stratospheric Temperature Bias and Other Stratospheric Aspects of ERA5 and ERA5.1; European Centre for Medium Range Weather Forecasts: Reading, UK, 2020. [Google Scholar] [CrossRef]
- Large, W.G.; Pond, S. Open Ocean Momentum Flux Measurements in Moderate To Strong Winds. J. Phys. Oceanogr. 1981, 11, 324–336. [Google Scholar] [CrossRef]
- Trenberth, K.E.; Large, W.G.; Olson, J.G. The Mean Annual Cycle in Global Ocean Wind Stress. J. Phys. Oceanogr. 1990, 20, 1742–1760. [Google Scholar] [CrossRef]
- Qin, D.D.; Wang, J.H.; Liu, Y.; Dong, C.M. Eddy analysis in the Eastern China Sea using altimetry data. Front. Earth Sci. 2015, 9, 709–721. [Google Scholar] [CrossRef]
- Rhines, P.B. Waves and Turbulence on a Beta-Plane. J. Fluid Mech. 1975, 69, 417–443. [Google Scholar] [CrossRef]
- Sukoriansky, S.; Dikovskaya, N.; Galperin, B. On the Arrest of Inverse Energy Cascade and the Rhines Scale. J. Atmos. Sci. 2007, 64, 3312–3327. [Google Scholar] [CrossRef]
- Sérazin, G.; Penduff, T.; Barnier, B.; Molines, J.-M.; Arbic, B.K.; Müller, M.; Terray, L. Inverse Cascades of Kinetic Energy as a Source of Intrinsic Variability: A Global OGCM Study. J. Phys. Oceanogr. 2018, 48, 1385–1408. [Google Scholar] [CrossRef]
- An, Y.Z.; Zhang, R.; Wang, H.Z.; Chen, J.; Chen, Y.D. Study on calculation and spatio-temporal variations of global ocean mixed layer depth. Chin. J. Geophys. 2012, 55, 2249–2258. [Google Scholar]
- Von Storch, J.S.; Sasaki, H.; Marotzke, J. Wind-generated power input to the deep ocean: An estimate using a 1/10 degrees general circulation model. J. Phys. Oceanogr. 2007, 37, 657–672. [Google Scholar] [CrossRef]
- Cessi, P.; Young, W.R.; Polton, J.A. Control of large-scale heat transport by small-scale mixing. J. Phys. Oceanogr. 2006, 36, 1877–1894. [Google Scholar] [CrossRef][Green Version]
- Wunsch, C. The work done by the wind on the oceanic general circulation. J. Phys. Oceanogr. 1998, 28, 2332–2340. [Google Scholar] [CrossRef]
- Yanagi, T.; Shimizu, T.; Lie, H.J. Detailed structure of the Kuroshio frontal eddy along the shelf edge of the East China Sea. Cont. Shelf. Res. 1998, 18, 1039–1056. [Google Scholar] [CrossRef]
- Gula, J.; Molemaker, M.J.; McWilliams, J.C. Submesoscale Dynamics of a Gulf Stream Frontal Eddy in the South Atlantic Bight. J. Phys. Oceanogr. 2016, 46, 305–325. [Google Scholar] [CrossRef]
- Capet, X.; Mcwilliams, J.C.; Molemaker, M.J.; Shchepetkin, A.F. Mesoscale to submesoscale transition in the California current system. Part II: Frontal processes. J. Phys. Oceanogr. 2008, 38, 44–64. [Google Scholar] [CrossRef]
- Okubo, A. Horizontal dispersion of floatable particles in the vicinity of velocity singularities such as convergences. Deep Sea Res. Oceanogr. Abstr. 1970, 17, 445–454. [Google Scholar] [CrossRef]
- Weiss, J. The dynamics of enstrophy transfer in two-dimensional hydrodynamics. Physica. D 1991, 48, 273–294. [Google Scholar] [CrossRef]
- Penven, P.; Echevin, V.; Pasapera, J.; Colas, F.; Tam, J. Average circulation, seasonal cycle, and mesoscale dynamics of the Peru Current System: A modeling approach. J. Geophys. Res. Oceans 2005, 110, C10021. [Google Scholar] [CrossRef]
- Pawlowicz, R. M_Map: A Mapping Package for MATLAB. 2018. Available online: www.eoas.ubc.ca/rich/map.html (accessed on 23 June 2021).
- McDougall, T.J.; Barker, P.M. Getting Started with TEOS-10 and the Gibbs Seawater (GSW) Oceanographic Toolbox. SCOR/IAPSO WG 2011, 127, 1–28. [Google Scholar]
- Von Storch, J.S.; Eden, C.; Fast, I.; Haak, H.; Hernandez-Deckers, D.; Maier-Reimer, E.; Marotzke, J.; Stammer, D. An Estimate of the Lorenz Energy Cycle for the World Ocean Based on the 1/10 degrees STORM/NCEP Simulation. J. Phys. Oceanogr. 2012, 42, 2185–2205. [Google Scholar] [CrossRef]
- Cronin, M.; Watts, D.R. Eddy–Mean Flow Interaction in the Gulf Stream at 68° W. Part I: Eddy Energetics. J. Phys. Oceanogr. 1996, 26, 2107–2131. [Google Scholar] [CrossRef]
- Chen, R.; Flierl, G.R.; Wunsch, C. A Description of Local and Nonlocal Eddy-Mean Flow Interaction in a Global Eddy-Permitting State Estimate. J. Phys. Oceanogr. 2014, 44, 2336–2352. [Google Scholar] [CrossRef]
- Belkin, I.M.; O’Reilly, J.E. An algorithm for oceanic front detection in chlorophyll and SST satellite imagery. J. Mar. Syst. 2009, 78, 319–326. [Google Scholar] [CrossRef]









| KE Source | KE Sink | APE Source | APE Sink | |
| Latitude ranges | 23.2°–25.6° N 28°–29° N | 22°–23.2° N 25.6°–28° N 29°–30° N | 22°–28° N 28.6°–30° N | 28°–28.6° N |
| Energy flux (integrated to 100 m depth)/GW | −4.57 | 4.70 | −0.34 | −0.02 |
| Energy flux (integrated to 600 m depth)/GW | −8.56 | 8.46 | −0.66 | −0.04 |
Publisher’s Note: MDPI stays neutral with regard to jurisdictional claims in published maps and institutional affiliations. |
© 2021 by the authors. Licensee MDPI, Basel, Switzerland. This article is an open access article distributed under the terms and conditions of the Creative Commons Attribution (CC BY) license (https://creativecommons.org/licenses/by/4.0/).
Share and Cite
Wang, R.; Hou, Y.; Liu, Z. Energy Sources Generation and Energy Cascades along the Kuroshio East of Taiwan Island and the East China Sea. J. Mar. Sci. Eng. 2021, 9, 692. https://doi.org/10.3390/jmse9070692
Wang R, Hou Y, Liu Z. Energy Sources Generation and Energy Cascades along the Kuroshio East of Taiwan Island and the East China Sea. Journal of Marine Science and Engineering. 2021; 9(7):692. https://doi.org/10.3390/jmse9070692
Chicago/Turabian StyleWang, Ru, Yijun Hou, and Ze Liu. 2021. "Energy Sources Generation and Energy Cascades along the Kuroshio East of Taiwan Island and the East China Sea" Journal of Marine Science and Engineering 9, no. 7: 692. https://doi.org/10.3390/jmse9070692
APA StyleWang, R., Hou, Y., & Liu, Z. (2021). Energy Sources Generation and Energy Cascades along the Kuroshio East of Taiwan Island and the East China Sea. Journal of Marine Science and Engineering, 9(7), 692. https://doi.org/10.3390/jmse9070692

