The Impact of Offshore Wind Farms on Sea State Demonstrated by Airborne LiDAR Measurements
Abstract
1. Introduction
2. Basic Wave Dynamics
3. Techniques to Retrieve Spectral Data
3.1. Subsampling and Aliasing
3.2. Measuring the Sea Surface from a Moving Platform
3.3. Discussion of the Subsequent Limitations
4. Exemplaric Situation and Its Boundary Conditions
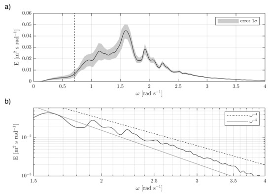
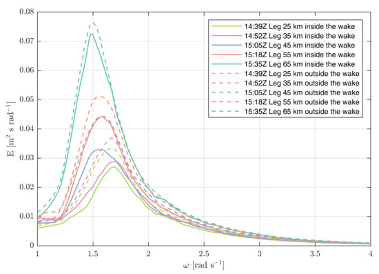
5. Measured Spectra
6. Importance and Discussion of the Observations
Author Contributions
Funding
Data Availability Statement
Acknowledgments
Conflicts of Interest
References
- Piria, R.; Magosch, M.; Eckardt, J. Offshore Wind Deployment in Germany; Adelphi Consult GMBH: Berlin, Germany, 2020. [Google Scholar]
- Christiansen, M.B.; Hasager, C.B. Wake Effects of Large Offshore Wind Farms Identified from Satellite SAR. Remote Sens. Environ. 2005, 98, 251–268. [Google Scholar] [CrossRef]
- Djath, B.; Schulz-Stellenfleth, J.; Cañadillas, B. Impact of Atmospheric Stability on X-Band and C-Band Synthetic Aperture Radar Imagery of Offshore Windpark Wakes. J. Renew. Sustain. Energy 2018, 10, 043301. [Google Scholar] [CrossRef]
- Djath, B.; Schulz-Stellenfleth, J. Wind Speed Deficits Downstream Offshore Wind Parks—A New Automised Estimation Technique Based on Satellite Synthetic Aperture Radar Data. Meteorol. Z. 2019, 499–515. [Google Scholar] [CrossRef]
- Platis, A.; Bange, J.; Bärfuss, K.; Cañadillas, B.; Hundhausen, M.; Djath, B.; Lampert, A.; Schulz-Stellenfleth, J.; Siedersleben, S.; Neumann, T.; Emeis, S. Long-Range Modifications of the Wind Field by Offshore Wind Parks—Results of the Project WIPAFF. Meteorol. Z. 2020. [Google Scholar] [CrossRef]
- Bärfuss, K.; Hankers, R.; Bitter, M.; Feuerle, T.; Schulz, H.; Rausch, T.; Platis, A.; Bange, J.; Lampert, A. In-Situ Airborne Measurements of Atmospheric and Sea Surface Parameters Related to Offshore Wind Parks in the German Bight; PANGAEA: Published Online, 2019. [Google Scholar] [CrossRef]
- Lampert, A.; Bärfuss, K.; Platis, A.; Siedersleben, S.; Djath, B.; Cañadillas, B.; Hunger, R.; Hankers, R.; Bitter, M.; Feuerle, T.; et al. In Situ Airborne Measurements of Atmospheric and Sea Surface Parameters Related to Offshore Wind Parks in the German Bight. Earth Syst. Sci. Data 2020, 12, 935–946. [Google Scholar] [CrossRef]
- Cañadillas, B.; Foreman, R.; Barth, V.; Siedersleben, S.; Lampert, A.; Platis, A.; Djath, B.; Schulz-Stellenfleth, J.; Bange, J.; Emeis, S.; Neumann, T. Offshore Wind Farm Wake Recovery: Airborne Measurements and Its Representation in Engineering Models. Wind Energy 2020, 23, 1249–1265. [Google Scholar] [CrossRef]
- Siedersleben, S.K.; Platis, A.; Lundquist, J.K.; Lampert, A.; Bärfuss, K.; Cañadillas, B.; Djath, B.; Schulz-Stellenfleth, J.; Bange, J.; Neumann, T.; Emeis, S. Evaluation of a Wind Farm Parametrization for Mesoscale Atmospheric Flow Models with Aircraft Measurements. Meteorol. Z. 2018, 401–415. [Google Scholar] [CrossRef]
- Siedersleben, S.K.; Lundquist, J.K.; Platis, A.; Bange, J.; Bärfuss, K.; Lampert, A.; Cañadillas, B.; Neumann, T.; Emeis, S. Micrometeorological Impacts of Offshore Wind Farms as Seen in Observations and Simulations. Environ. Res. Lett. 2018, 13, 124012. [Google Scholar] [CrossRef]
- Siedersleben, S.K.; Platis, A.; Lundquist, J.K.; Djath, B.; Lampert, A.; Bärfuss, K.; Cañadillas, B.; Schulz-Stellenfleth, J.; Bange, J.; Neumann, T.; Emeis, S. Turbulent Kinetic Energy over Large Offshore Wind Farms Observed and Simulated by the Mesoscale Model WRF (3.8.1). Geosci. Model Dev. 2020, 13, 249–268. [Google Scholar] [CrossRef]
- Platis, A.; Siedersleben, S.K.; Bange, J.; Lampert, A.; Bärfuss, K.; Hankers, R.; Cañadillas, B.; Foreman, R.; Schulz-Stellenfleth, J.; Djath, B.; Neumann, T.; Emeis, S. First in Situ Evidence of Wakes in the Far Field behind Offshore Wind Farms. Sci. Rep. 2018, 8, 2163. [Google Scholar] [CrossRef]
- Bärfuss, K.; Djath, B.; Lampert, A.; Schulz-Stellenfleth, J. Airborne LiDAR Measurements of Sea Surface Properties in the German Bight. IEEE Trans. Geosci. Remote Sens. 2020, 59, 1–10. [Google Scholar] [CrossRef]
- Karyotakis, A. On the Optimisation of Operation and Maintenance Strategies for Offshore Wind Farms. Ph.D. Thesis, University College London, London, UK, 2011. [Google Scholar]
- Staneva, J.; Alari, V.; Breivik, Ø.; Bidlot, J.R.; Mogensen, K. Effects of Wave-Induced Forcing on a Circulation Model of the North Sea. Ocean Dyn. 2017, 67, 81–101. [Google Scholar] [CrossRef]
- Fischereit, J.; Larsén, X.G. Relevance of Sea Waves and Farm-Farm Wakes for Offshore Wind Resource Assessment. In Proceedings of the EERA DeepWind Conference, Trondheim, Norway, 15–17 January 2020. [Google Scholar]
- Broström, G. On the Influence of Large Wind Farms on the Upper Ocean Circulation. J. Mar. Syst. 2008, 74, 585–591. [Google Scholar] [CrossRef]
- Paskyabi, M.B. Offshore Wind Farm Wake Effect on Stratification and Coastal Upwelling. Energy Procedia 2015, 80, 131–140. [Google Scholar] [CrossRef][Green Version]
- van Berkel, J.; Burchard, H.; Christensen, A.; Mortensen, L.; Petersen, O.; Thomsen, F. The Effects of Offshore Wind Farms on Hydrodynamics and Implications for Fishes. Oceanography 2020, 33, 108–117. [Google Scholar] [CrossRef]
- Ponce de León, S.; Bettencourt, J.H.; Kjerstad, N. Simulation of Irregular Waves in an Offshore Wind Farm with a Spectral Wave Model. Cont. Shelf Res. 2011, 31, 1541–1557. [Google Scholar] [CrossRef]
- Christensen, E.D.; Johnson, M.; Sørensen, O.R.; Hasager, C.B.; Badger, M.; Larsen, S.E. Transmission of Wave Energy through an Offshore Wind Turbine Farm. Coast. Eng. 2013, 82, 25–46. [Google Scholar] [CrossRef]
- Komen, G.J.; Cavaleri, L.; Donelan, M.; Hasselmann, K.; Hasselmann, S.; Janssen, P.A.E.M. Dynamics and Modelling of Ocean Waves; Cambridge University Press: Cambridge, UK, 1996. [Google Scholar]
- Corsmeier, U.; Hankers, R.; Wieser, A. Airborne Turbulence Measurements in the Lower Troposphere Onboard the Research Aircraft Dornier 128–6, D-IBUF. Meteorol. Z. 2001, 10, 315–329. [Google Scholar] [CrossRef]
- Reineman, B.D.; Lenain, L.; Castel, D.; Melville, W.K. A Portable Airborne Scanning Lidar System for Ocean and Coastal Applications. J. Atmos. Ocean. Technol. 2009, 26, 2626–2641. [Google Scholar] [CrossRef]
- Walsh, E.J.; Iii, D.W.H.; Hines, D.E.; Swift, R.N.; Scott, J.F. Wave-Measurement Capabilities of the Surface Contour Radar and the Airborne Oceanographic Lidar. John Hopkins APL Tech. Dig. 1987, 13, 74–81. [Google Scholar]
- Melville, W.; Lenain, L.; Romero, L.; Statom, N. Airborne Lidar in Support of Ocean Topography Missions and Science. In Proceedings of the 20 Years of Progress in Radar Altimetry, Venice, Italy, 24–29 September 2012. [Google Scholar]
- Romero, L.; Melville, W.K. Airborne Observations of Fetch-Limited Waves in the Gulf of Tehuantepec. J. Phys. Oceanogr. 2010, 40, 441–465. [Google Scholar] [CrossRef]
- Schwithal, A.; Tonhäuser, C.; Wolkow, S.; Angermann, M.; Hecker, P.; Mumm, N.; Holzapfel, F. Integrity Monitoring in GNSS/INS Systems by Optical Augmentation. In Proceedings of the 2017 DGON Inertial Sensors and Systems (ISS), Karlsruhe, Germany, 19–20 September 2017; pp. 1–22. [Google Scholar] [CrossRef]
- Herbers, T.H.C.; Jessen, P.F.; Janssen, T.T.; Colbert, D.B.; MacMahan, J.H. Observing Ocean Surface Waves with GPS-Tracked Buoys. J. Atmos. Ocean. Technol. 2012, 29, 944–959. [Google Scholar] [CrossRef]
- Holthuijsen, L.H. Waves in Oceanic and Coastal Waters; Cambridge University Press: Cambridge, UK, 2007. [Google Scholar] [CrossRef]
- Otremba, Z.; Piskozub, J. Modelling the Bidirectional Reflectance Distribution Function (BRDF) of Seawater Polluted by an Oil Film. Opt. Express 2004, 12, 1671–1676. [Google Scholar] [CrossRef] [PubMed]
- Sayer, A.M.; Thomas, G.E.; Grainger, R.G. A Sea Surface Reflectance Model for (A)ATSR, and Application to Aerosol Retrievals. Atmos. Meas. Tech. 2010, 3, 813–838. [Google Scholar] [CrossRef]
- Nyquist, H. Certain Topics in Telegraph Transmission Theory. Proc. IEEE 2002, 90, 280–305. [Google Scholar] [CrossRef]
- Wehr, A.; Lohr, U. Airborne Laser Scanning-an Introduction and Overview. ISPRS J. Photogramm. Remote Sens. 1999, 54, 68–82. [Google Scholar] [CrossRef]
- Walsh, E.J.; Hancock, D.W.; Hines, D.E.; Swift, R.N.; Scott, J.F. Directional Wave Spectra Measured with the Surface Contour Radar. J. Phys. Oceanogr. 1985, 15, 566–592. [Google Scholar] [CrossRef]
- Young, I.R. Wind Generated Ocean Waves, 1st ed.; Elsevier Ocean Engineering Book Series; Elsevier Science Ltd.: Kidlington, UK, 1999; Volume 2. [Google Scholar]
- Lenain, L.; Melville, W.K. Measurements of the Directional Spectrum across the Equilibrium Saturation Ranges of Wind-Generated Surface Waves. J. Phys. Oceanogr. 2017, 47, 2123–2138. [Google Scholar] [CrossRef]
- Plant, W.J.; Keller, W.C.; Hayes, K. Simultaneous Measurement of Ocean Winds and Waves with an Airborne Coherent Real Aperture Radar. J. Atmos. Ocean. Technol. 2005, 22, 832–846. [Google Scholar] [CrossRef]
- Long, R.B. On Surface Gravity Wave Spectra in a Moving Frame of Reference. In NOAA Technical Memorandum ERL AOML 38; Atlantic Oceanographic and Meteorological Laboratories: Miami, FL, USA, 1979. [Google Scholar]
- Leckler, F.; Ardhuin, F.; Peureux, C.; Benetazzo, A.; Bergamasco, F.; Dulov, V. Analysis and Interpretation of Frequency–Wavenumber Spectra of Young Wind Waves. J. Phys. Oceanogr. 2015, 45, 2484–2496. [Google Scholar] [CrossRef]
- Bjerkaas, A.; Riedel, F. Proposed Model for the Elevation Spectrum of a Wind-Roughened Sea Surface; Technical Report; Johns Hopkins University, Applied Physics Laboratory: Laurel, MD, USA, 1979. [Google Scholar]
- Donelan, M.A.; Pierson Jr, W.J. Radar scattering and equilibrium ranges in wind-generated waves with application to scatterometry. J. Geophys. Res. Ocean. 1987, 92, 4971–5029. [Google Scholar] [CrossRef]
- Elfouhaily, T.; Chapron, B.; Katsaros, K.; Vandemark, D. A unified directional spectrum for long and short wind-driven waves. J. Geophys. Res. Ocean. 1997, 102, 15781–15796. [Google Scholar] [CrossRef]
- Hasselmann, K.; Barnett, T.P.; Bouws, E.; Carlson, H.; Cartwright, D.E.; Enke, K.; Ewing, J.A.; Gienapp, H.; Hasselmann, D.E.; Kruseman, P.; et al. Measurements of Wind-Wave Growth and Swell Decay during the Joint North Sea Wave Project (JONSWAP). Ergänzungsheft Dtsch. Hydrogr. Z. Reihe A 1973, 8, 12. [Google Scholar]
- Brüning, C.; Alpers, W.; Hasselmann, K. Monte-Carlo simulation studies of the nonlinear imaging of a two dimensional surface wave field by a synthetic aperture radar. Remote Sens. 1990, 11, 1695–1727. [Google Scholar] [CrossRef]
- Janssen, P. The Interaction of Ocean Waves and Wind; Cambridge University Press: Cambridge, UK, 2004. [Google Scholar] [CrossRef]






| Distance to OWF | Observation H [m] | JONSWAP H [m] | ||
|---|---|---|---|---|
| Inside | Outside | 3 m/s | 4 m/s | |
| 25 km | 0.64 | 0.70 | 0.54 | 0.70 |
| 35 km | 0.68 | 0.72 | 0.59 | 0.77 |
| 45 km | 0.71 | 0.80 | 0.64 | 0.83 |
| 55 km | 0.77 | 0.82 | 0.69 | 0.89 |
| 65 km | 0.92 | 0.94 | 0.73 | 0.94 |
Publisher’s Note: MDPI stays neutral with regard to jurisdictional claims in published maps and institutional affiliations. |
© 2021 by the authors. Licensee MDPI, Basel, Switzerland. This article is an open access article distributed under the terms and conditions of the Creative Commons Attribution (CC BY) license (https://creativecommons.org/licenses/by/4.0/).
Share and Cite
Bärfuss, K.; Schulz-Stellenfleth, J.; Lampert, A. The Impact of Offshore Wind Farms on Sea State Demonstrated by Airborne LiDAR Measurements. J. Mar. Sci. Eng. 2021, 9, 644. https://doi.org/10.3390/jmse9060644
Bärfuss K, Schulz-Stellenfleth J, Lampert A. The Impact of Offshore Wind Farms on Sea State Demonstrated by Airborne LiDAR Measurements. Journal of Marine Science and Engineering. 2021; 9(6):644. https://doi.org/10.3390/jmse9060644
Chicago/Turabian StyleBärfuss, Konrad, Johannes Schulz-Stellenfleth, and Astrid Lampert. 2021. "The Impact of Offshore Wind Farms on Sea State Demonstrated by Airborne LiDAR Measurements" Journal of Marine Science and Engineering 9, no. 6: 644. https://doi.org/10.3390/jmse9060644
APA StyleBärfuss, K., Schulz-Stellenfleth, J., & Lampert, A. (2021). The Impact of Offshore Wind Farms on Sea State Demonstrated by Airborne LiDAR Measurements. Journal of Marine Science and Engineering, 9(6), 644. https://doi.org/10.3390/jmse9060644

