Optimisation of a Diesel-Electric Ship Propulsion and Power Generation System Using a Genetic Algorithm
Abstract
1. Introduction
2. Diesel–Electric Propulsion System Schemes
- Propulsion power demand and the electric load required for auxiliary services are comparable, the efficiency gap to mechanical propulsion might not be an issue;
- The operating flexibility might be an advantage for those ship types that have very different operating profiles, characterised by, for example, very different ship speeds;
- The layout flexibility might come in handy when considering a ship with limited spaces on-board or when the low noise level is a design criterion.
3. Plant Optimisation
- The algorithm is expected to select the number and type of diesel engines to install on-board;
- Moreover, the algorithm is expected to select the power output of each engine if the network distribution is AC, the power output and revolution speed if the distribution is DC;
- The selected solution layout should minimise the total fuel mass flow rate;
- The selected solution should ensure the ship reaches the expected speed;
- To sightly simplify the problem, engines of the same type are assumed to operate in the same conditions (power and revolution speed).
3.1. Genetic Encoding
3.2. Cost Function
3.3. Constraints
- The selected propulsion layout is such that the propeller’s revolution speed is mechanically independent of the engines’, as there is no gearbox;
- The propeller is modelled using the open-water diagrams and is assumed to have a fixed pitch.
3.4. Optimisation Problem
4. Case Study Ship
4.1. Engine Models
4.2. Electrical Components
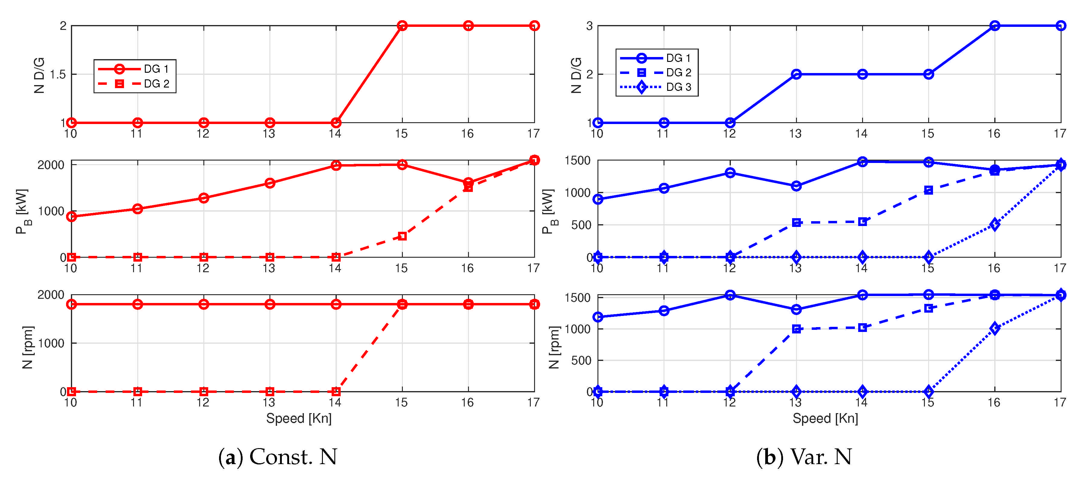
5. Results
5.1. Design Condition
5.2. Off-Design Conditions
6. Conclusions
Author Contributions
Funding
Institutional Review Board Statement
Informed Consent Statement
Data Availability Statement
Conflicts of Interest
References
- Altosole, M.; Benvenuto, G.; Campora, U.; Laviola, M.; Zaccone, R. Simulation and performance comparison between diesel and natural gas engines for marine applications. Proc. Inst. Mech. Eng. Part M J. Eng. Marit. Environ. 2017, 231, 690–704. [Google Scholar] [CrossRef]
- Martelli, M.; Vernengo, G.; Bruzzone, D.; Notti, E. Overall efficiency assessment of a trawler propulsion system based on hydrodynamic performance computations. In Proceedings of the 26th International Ocean and Polar Engineering Conference, International Society of Offshore and Polar Engineers, Rhodes, Greece, 26 June–1 July 2016. [Google Scholar]
- Campora, U.; Cravero, C.; Zaccone, R. Marine gas turbine monitoring and diagnostics by simulation and pattern recognition. Int. J. Nav. Archit. Ocean Eng. 2018, 10, 617–628. [Google Scholar] [CrossRef]
- Shi, W.; Grimmelius, H.; Stapersma, D. Analysis of ship propulsion system behaviour and the impact on fuel consumption. Int. Shipbuild. Prog. 2010, 57, 35–64. [Google Scholar]
- Clausen, N.B. Marine diesel engines: How efficient can a two-stroke engine be. In Proceedings of the STG Ship Efficiency Conference, Hamburg, Germany, 28–29 September 2009. [Google Scholar]
- Martelli, M.; Vernengo, G.; Bruzzone, D.; Notti, E. Holistic modeling of the global propulsion energy index in waves for small craft. Int. J. Offshore Polar Eng. 2017, 27, 442–447. [Google Scholar] [CrossRef]
- Dzida, M. On the possible increasing of efficiency of ship power plant with the system combined of marine diesel engine, gas turbine and steam turbine, at the main engine-steam turbine mode of cooperation. Pol. Marit. Res. 2009, 16, 47–52. [Google Scholar] [CrossRef]
- Dzida, M. Possible efficiency increasing of ship propulsion and marine power plant with the system combined of marine diesel engine, gas turbine and steam turbine. In Advances in Gas Turbine Technology; Benini, E., Ed.; InTech: Rijeka, Italy, 2011; pp. 45–68. [Google Scholar]
- Altosole, M.; Benvenuto, G.; Campora, U.; Silvestro, F.; Terlizzi, G. Efficiency Improvement of a Natural Gas Marine Engine Using a Hybrid Turbocharger. Energies 2018, 11, 1924. [Google Scholar] [CrossRef]
- Altosole, M.; Benvenuto, G.; Zaccone, R.; Campora, U. Comparison of Saturated and Superheated Steam Plants for Waste-Heat Recovery of Dual-Fuel Marine Engines. Energies 2020, 13, 985. [Google Scholar] [CrossRef]
- Bolvashenkov, I.; Herzog, H.G.; Rubinraut, A.; Romanovskiy, V. Possible ways to improve the efficiency and competitiveness of modern ships with electric propulsion systems. In Proceedings of the 2014 IEEE Vehicle Power and Propulsion Conference (VPPC), Coimbra, Portugal, 27–30 October 2014; IEEE: New York, NY, USA, 2014; pp. 1–9. [Google Scholar]
- Chai, M.; Reddy, B.D.; Sobrayen, L.; Panda, S.K.; Die, W.; Xiaoqing, C. Improvement in efficiency and reliability for diesel-electric propulsion based marine vessels using genetic algorithm. In Proceedings of the 2016 IEEE Transportation Electrification Conference and Expo, Asia-Pacific (ITEC Asia-Pacific), Busan, Korea, 1–4 June 2016; IEEE: New York, NY, USA, 2016; pp. 180–184. [Google Scholar]
- Nguyen, H.P.; Hoang, A.T.; Nizetic, S.; Nguyen, X.P.; Le, A.T.; Luong, C.N.; Chu, V.D.; Pham, V.V. The electric propulsion system as a green solution for management strategy of CO2 emission in ocean shipping: A comprehensive review. Int. Trans. Electr. Energy Syst. 2020, e12580. [Google Scholar] [CrossRef]
- Hansen, J.F.; Wendt, F. History and state of the art in commercial electric ship propulsion, integrated power systems, and future trends. Proc. IEEE 2015, 103, 2229–2242. [Google Scholar] [CrossRef]
- International Maritime Organization. Report of the Marine Environment Protection Committee (MEPC) on Its Fifty-Seventh Session; International Maritime Organization: London, UK, 2008. [Google Scholar]
- International Maritime Organization. IMO Train the Trainer (TTT) Course on Energy Efficiency Ship Operation. Module 2—Ship Energy Efficiency Regulations and Related Guidelines; International Maritime Organization: London, UK, 2016. [Google Scholar]
- Capasso, C.; Veneri, O.; Notti, E.; Sala, A.; Figari, M.; Martelli, M. Preliminary design of the hybrid propulsion architecture for the research vessel “G. Dallaporta”. In Proceedings of the 2016 International Conference on Electrical Systems for Aircraft, Railway, Ship Propulsion and Road Vehicles & International Transportation Electrification Conference (ESARS-ITEC), Toulouse, France, 2–4 November 2016; IEEE: New York, NY, USA, 2016; pp. 1–6. [Google Scholar]
- Bucci, V.; Mauro, F.; Vicenzutti, A.; Bosich, D.; Sulligoi, G. Hybrid-electric solutions for the propulsion of a luxury sailing yacht. In Proceedings of the 2020 2nd IEEE International Conference on Industrial Electronics for Sustainable Energy Systems (IESES), Cagliari, Italy, 1–3 September 2020; IEEE: New York, NY, USA, 2020; Volume 1, pp. 280–286. [Google Scholar]
- Ruggiero, V.; Ruggiero, M. New approach to design and representation of large yacht as consequence of new diesel electric propulsion systems. Int. J. Adv. Mech. Automob. Emg. 2016, 3, 123–128. [Google Scholar]
- Eyring, V.; Köhler, H.; Lauer, A.; Lemper, B. Emissions from international shipping: 2. Impact of future technologies on scenarios until 2050. J. Geophys. Res. Atmos. 2005, 110. [Google Scholar] [CrossRef]
- Martelli, M. Numerical and experimental investigation for the performance assessment of full electric marine propulsion plant. In Maritime Transportation and Harvesting of Sea Resources; Taylor & Francis Group: Boca Raton, FL, USA, 2018; Volume 1, pp. 87–93. [Google Scholar]
- Castles, G.; Reed, G.; Bendre, A.; Pitsch, R. Economic benefits of hybrid drive propulsion for naval ships. In Proceedings of the 2009 IEEE Electric Ship Technologies Symposium, Baltimore, MD, USA, 20–22 April 2009; IEEE: New York, NY, USA, 2009; pp. 515–520. [Google Scholar]
- Skjong, E.; Johansen, T.A.; Molinas, M.; Sørensen, A.J. Approaches to economic energy management in diesel–electric marine vessels. IEEE Trans. Transp. Electrif. 2017, 3, 22–35. [Google Scholar] [CrossRef]
- Kim, K.; Park, K.; Roh, G.; Chun, K. DC-grid system for ships: A study of benefits and technical considerations. J. Int. Marit. Saf. Environ. Aff. Shipp. 2018, 2, 1–12. [Google Scholar] [CrossRef]
- Symington, W.P.; Belle, A.; Nguyen, H.D.; Binns, J.R. Emerging technologies in marine electric propulsion. Proc. Inst. Mech. Eng. Part M J. Eng. Marit. Environ. 2016, 230, 187–198. [Google Scholar] [CrossRef]
- D’Agostino, F.; Kaza, D.; Martelli, M.; Schiapparelli, G.P.; Silvestro, F.; Soldano, C. Development of a Multiphysics Real-Time Simulator for Model-Based Design of a DC Shipboard Microgrid. Energies 2020, 13, 3580. [Google Scholar] [CrossRef]
- Glover, F.W.; Kochenberger, G.A. Handbook of Metaheuristics; Springer Science & Business Media: New York, NY, USA, 2006; Volume 57. [Google Scholar]
- Pardalos, P.M.; Romeijn, H.E. Handbook of Global Optimization; Springer Science & Business Media: New York, NY, USA, 2013; Volume 2. [Google Scholar]
- Tadros, M.; Ventura, M.; Guedes Soares, C. A nonlinear optimization tool to simulate a marine propulsion system for ship conceptual design. Ocean Eng. 2020, 210, 107417. [Google Scholar] [CrossRef]
- Hiroyasu, H.; Miao, H.; Hiroyasu, T.; Miki, M.; Kamiura, J.; Watanabe, S. Genetic Algorithms Optimization of Diesel Engine Emissions and Fuel Efficiency with Air Swirl, EGR, Injection Timing and Multiple Injections. In Proceedings of the 2003 JSAE/SAE International Spring Fuels and Lubricants Meeting, Yokohama, Japan, 19–22 May 2003; SAE International: Warrendale, PA, USA, 2003. [Google Scholar] [CrossRef]
- Kaviri, A.G.; Jaafar, M.N.M.; Lazim, T.M. Modeling and multi-objective exergy based optimization of a combined cycle power plant using a genetic algorithm. Energy Convers. Manag. 2012, 58, 94–103. [Google Scholar] [CrossRef]
- Vermeulen, V.; Strauss, J.M.; Vermeulen, H.J. Optimisation of solar PV plant locations for grid support using genetic algorithm and pattern search. In Proceedings of the 2016 IEEE International Conference on Power and Energy (PECon), Melaka City, Malaysia, 28–29 November 2016; pp. 72–77. [Google Scholar] [CrossRef]
- Ehyaei, M.A.; Ahmadi, A.; Rosen, M.A.; Davarpanah, A. Thermodynamic Optimization of a Geothermal Power Plant with a Genetic Algorithm in Two Stages. Processes 2020, 8, 1277. [Google Scholar] [CrossRef]
- Parsons, M.G. Applications of optimization in early stage ship design. Ship Sci. Technol. 2009, 3, 9–32. [Google Scholar]
- Sun, C.; Wang, H.; Liu, C.; Zhao, Y. Dynamic Prediction and Optimization of Energy Efficiency Operational Index (EEOI) for an Operating Ship in Varying Environments. J. Mar. Sci. Eng. 2019, 7, 402. [Google Scholar] [CrossRef]
- Baldasso, E.; Elg, M.; Haglind, F.; Baldi, F. Comparative Analysis of Linear and Non-Linear Programming Techniques for the Optimization of Ship Machinery Systems. J. Mar. Sci. Eng. 2019, 7, 403. [Google Scholar] [CrossRef]
- Klein Woud, H.J.; Stapersma, D. Design of Propulsion and Electric Power Generations Systems. In The Institute of Marine Engineering, Science and Technology; IMarEST: London, UK, 2003; ISBN 1-902536-47-9. [Google Scholar]








| Length between perpendiculars, Lpp | 55.400 m |
| Moulded breadth, B | 12.500 m |
| Moulded Depth at weather deck, D | 6.000 m |
| Mean Scantling Draft, T | 3.400 m |
| Original propulsion engines: | 2 × diesel engines 2525 kW @ 1900 RPM |
| Original gen-set | 2 × 200 ekW + 1 × 148 ekW |
| Hotel electrical load | 194 kW |
| Engine 1 | Engine 2 | Engine 3 | Engine 4 | |
|---|---|---|---|---|
| Brake power [kW] | 2240 | 1500 | 746 | 400 |
| Speed [rpm] | 1800 | 1800 | 1600 | 1800 |
| Num. of Cyl. | 16 | 12 | 8 | 8 |
| Bore/stroke [mm] | 170/210 | 170/210 | 170/210 | 130/150 |
| Displacement [l] | 76.3 | 52.7 | 38.2 | 15.9 |
| BMEP [bar] | 19.6 | 19.0 | 14.6 | 16.8 |
| Dry weight [kg] | 8590 | 7240 | 5460 | 1790 |
| Parameter | Min | Max | Const. N |
|---|---|---|---|
| 0 | 4 | - | |
| 0 | 4 | - | |
| 0 | 4 | - | |
| 0 | 4 | - | |
| 900 | 1800 | 1800 | |
| 900 | 1800 | 1800 | |
| 900 | 1600 | 1200 | |
| 550 | 1800 | 1800 | |
| 450 | 2240 | - | |
| 300 | 1500 | - | |
| 150 | 746 | - | |
| 80 | 400 | - |
| Component | Efficiency |
|---|---|
| Electric motors and alternators | 0.95–0.97 |
| DC/AC and AC/DC converters | 0.99 |
| DC/DC and AC/AC converters | 0.96–0.98 |
| Const. N | Var. N | |
|---|---|---|
| 2 | 0 | |
| 0 | 3 | |
| 0 | 0 | |
| 0 | 0 | |
| 1800 | - | |
| - | 1540 | |
| - | - | |
| - | - | |
| 2099 | - | |
| - | 1428 | |
| - | - | |
| - | - | |
| f.c. | 840 | 835 |
| Speed [Kn] | 10 | 11 | 12 | 13 | 14 | 15 | 16 | 17 |
|---|---|---|---|---|---|---|---|---|
| D/G running | ||||||||
| Const. spd. | 1 | 1 | 1 | 1 | 1 | 2 | 2 | 2 |
| Var. spd. | 1 | 1 | 1 | 2 | 2 | 2 | 3 | 3 |
| Fuel cons. [kg/h] | ||||||||
| Ref. plant | 220 | - | - | - | 484 | - | 690 | 821 |
| Const. spd. even | 206.7 | 237.0 | 277.4 | 333.8 | 400.7 | 537.8 | 652.6 | 839.6 |
| Const. spd. uneven | 206.7 | 237.0 | 277.4 | 333.8 | 400.7 | 533.9 | 652.5 | 839.6 |
| Var. spd. even | 179.9 | 212.7 | 256.4 | 325.8 | 404.7 | 495.6 | 635.6 | 831.2 |
| Var. spd. uneven | 179.9 | 212.7 | 256.4 | 325.6 | 394.6 | 492.1 | 625.7 | 831.2 |
| SFOC [g/kWh] | ||||||||
| Ref. plant | 236 | - | - | - | 217 | - | 216 | 218 |
| Const. spd. even | 236 | 227 | 217 | 208 | 202 | 219 | 209 | 200 |
| Const. spd. uneven | 236 | 227 | 217 | 208 | 202 | 217 | 209 | 200 |
| Var. spd. even | 201 | 200 | 197 | 199 | 200 | 198 | 200 | 194 |
| Var. spd. uneven | 201 | 200 | 197 | 199 | 195 | 196 | 196 | 194 |
Publisher’s Note: MDPI stays neutral with regard to jurisdictional claims in published maps and institutional affiliations. |
© 2021 by the authors. Licensee MDPI, Basel, Switzerland. This article is an open access article distributed under the terms and conditions of the Creative Commons Attribution (CC BY) license (https://creativecommons.org/licenses/by/4.0/).
Share and Cite
Zaccone, R.; Campora, U.; Martelli, M. Optimisation of a Diesel-Electric Ship Propulsion and Power Generation System Using a Genetic Algorithm. J. Mar. Sci. Eng. 2021, 9, 587. https://doi.org/10.3390/jmse9060587
Zaccone R, Campora U, Martelli M. Optimisation of a Diesel-Electric Ship Propulsion and Power Generation System Using a Genetic Algorithm. Journal of Marine Science and Engineering. 2021; 9(6):587. https://doi.org/10.3390/jmse9060587
Chicago/Turabian StyleZaccone, Raphael, Ugo Campora, and Michele Martelli. 2021. "Optimisation of a Diesel-Electric Ship Propulsion and Power Generation System Using a Genetic Algorithm" Journal of Marine Science and Engineering 9, no. 6: 587. https://doi.org/10.3390/jmse9060587
APA StyleZaccone, R., Campora, U., & Martelli, M. (2021). Optimisation of a Diesel-Electric Ship Propulsion and Power Generation System Using a Genetic Algorithm. Journal of Marine Science and Engineering, 9(6), 587. https://doi.org/10.3390/jmse9060587

